Department of Orthopaedic Surgery, University of California at Los Angeles, Los Angeles, California.
Global Spine J. 2012 Mar;2(1):33-8. doi: 10.1055/s-0032-1307253.
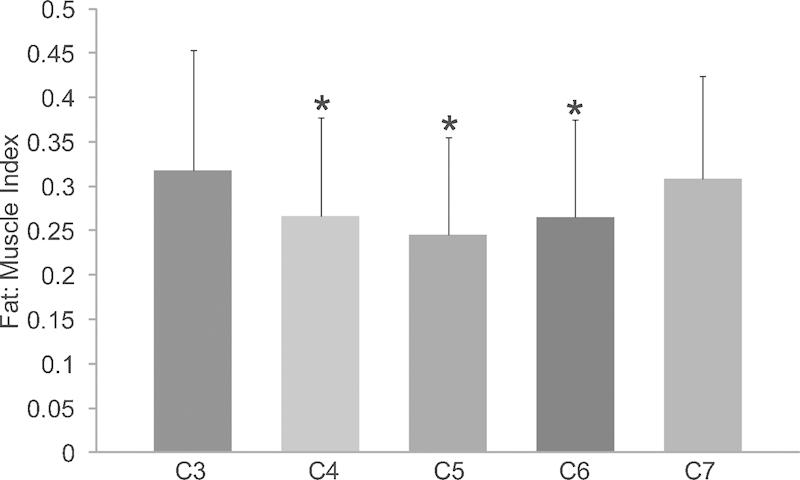
The alignment and mobility of the cervical spine is influenced by factors related to the vertebral bodies, intervertebral discs, ligaments, facet joints, and muscles. Few reports have described the role played by the paraspinal muscles in cervical spine mobility. In this study, we investigate the relationship between fatty degeneration of the paraspinal muscles and cervical motion as assessed with kinetic magnetic resonance imaging (kMRI). One hundred eighty-eight symptomatic patients underwent cervical kMRI in neutral, flexion, and extension positions. We quantified cervical paraspinal muscle fatty infiltration and measured angular variation and translational motion at each cervical level, and the global Cobb angle. Cervical paraspinal muscle fatty degeneration demonstrated a pattern in which C3 and C7 had significantly more fatty infiltration than C4, C5, and C6. Additionally, when the normal group was compared with the fatty degeneration group with respect to angular variation, translational motion, and Cobb angle, no significant differences were found except in angular variation at the C3-C4 level. In conclusion, we found a significantly larger quantity of fatty degeneration in the paraspinal muscles at C3 and C7 than the middle cervical levels. Also, we demonstrate that fatty degeneration does not significantly affect cervical lordotic alignment or mobility characteristics.
颈椎的对线和活动度受与椎体、椎间盘、韧带、关节突关节和肌肉相关的因素影响。很少有报道描述过椎旁肌肉在颈椎活动度中的作用。在这项研究中,我们通过动力磁共振成像(kMRI)研究了椎旁肌肉脂肪变性与颈椎运动之间的关系。188 例有症状的患者在中立位、前屈位和后伸位进行颈椎 kMRI 检查。我们量化了颈椎椎旁肌肉的脂肪浸润程度,并测量了每个颈椎水平的角度变化和平移运动,以及整体 Cobb 角。颈椎椎旁肌肉脂肪变性呈现出 C3 和 C7 的脂肪浸润明显多于 C4、C5 和 C6 的模式。此外,当将正常组与脂肪变性组在角度变化、平移运动和 Cobb 角方面进行比较时,除了 C3-C4 水平的角度变化外,没有发现显著差异。总之,我们发现 C3 和 C7 的椎旁肌肉脂肪变性明显多于颈中部。此外,我们证明脂肪变性不会显著影响颈椎前凸的对线或活动特征。