Suppr超能文献

真菌内生菌(Epichloë festucae)改变了紫羊茅的营养成分,且不受水分供应情况的影响。

Fungal endophyte (Epichloë festucae) alters the nutrient content of Festuca rubra regardless of water availability.

作者信息

Vázquez-de-Aldana Beatriz R, García-Ciudad Antonia, García-Criado Balbino, Vicente-Tavera Santiago, Zabalgogeazcoa Iñigo

机构信息

Department of Abiotic Stress, Instituto de Recursos Naturales y Agrobiología de Salamanca (IRNASA), Consejo Superior de Investigaciones Científicas (CSIC), Salamanca, Spain.

Department of Statistics, Universidad de Salamanca, Salamanca, Spain.

出版信息

PLoS One. 2013 Dec 18;8(12):e84539. doi: 10.1371/journal.pone.0084539. eCollection 2013.

Abstract

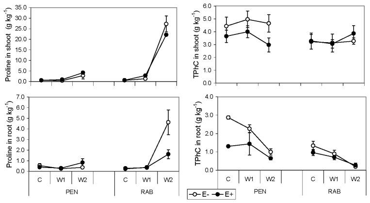
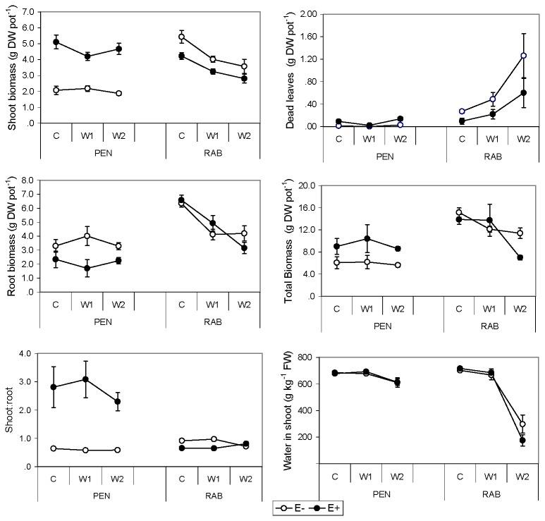
Festuca rubra plants maintain associations with the vertically transmitted fungal endophyte Epichloë festucae. A high prevalence of infected host plants in semiarid grasslands suggests that this association could be mutualistic. We investigated if the Epichloë-endophyte affects the growth and nutrient content of F. rubra plants subjected to drought. Endophyte-infected (E+) and non-infected (E-) plants of two half-sib lines (PEN and RAB) were subjected to three water availability treatments. Shoot and root biomass, nutrient content, proline, phenolic compounds and fungal alkaloids were measured after the treatments. The effect of the endophyte on shoot and root biomass and dead leaves depended on the plant line. In the PEN line, E+ plants had a greater S:R ratio than E-, but the opposite occurred in RAB. In both plant lines and all water treatments, endophyte-infected plants had greater concentrations of N, P and Zn in shoots and Ca, Mg and Zn in roots than E- plants. On average, E+ plants contained in their shoots more P (62%), Zn (58%) and N (19%) than E- plants. While the proline in shoots increased in response to water stress, the endophyte did not affect this response. A multivariate analysis showed that endophyte status and plant line impose stronger differences in the performance of the plants than the water stress treatments. Furthermore, differences between PEN and RAB lines seemed to be greater in E- than in E+ plants, suggesting that E+ plants of both lines are more similar than those of their non-infected version. This is probably due to the endophyte producing a similar effect in both plant lines, such as the increase in N, P and Zn in shoots. The remarkable effect of the endophyte in the nutrient balance of the plants could help to explain the high prevalence of infected plants in natural grasslands.

摘要

紫羊茅植株与垂直传播的真菌内生菌——禾本科内生真菌(Epichloë festucae)保持着共生关系。半干旱草原中受感染宿主植物的高比例表明这种共生关系可能是互利共生的。我们研究了禾本科内生真菌是否会影响遭受干旱的紫羊茅植株的生长和养分含量。对两个半同胞系(PEN和RAB)的内生菌感染植株(E+)和未感染植株(E-)进行了三种水分供应处理。处理后测量地上部和根部生物量、养分含量、脯氨酸、酚类化合物和真菌生物碱。内生菌对地上部和根部生物量以及枯叶的影响取决于植株系。在PEN系中,E+植株的茎根比大于E-植株,但在RAB系中情况相反。在两个植株系和所有水分处理中,内生菌感染植株地上部的氮、磷和锌浓度以及根部的钙、镁和锌浓度均高于E-植株。平均而言,E+植株地上部的磷含量(62%)、锌含量(58%)和氮含量(19%)均高于E-植株。虽然地上部脯氨酸含量因水分胁迫而增加,但内生菌并未影响这一反应。多变量分析表明,内生菌状态和植株系对植株表现的差异影响比水分胁迫处理更强。此外,PEN系和RAB系之间的差异在E-植株中似乎比在E+植株中更大,这表明两个系的E+植株比未感染版本的植株更相似。这可能是由于内生菌在两个植株系中产生了类似的影响,例如地上部氮、磷和锌含量的增加。内生菌对植株养分平衡的显著影响有助于解释天然草原中感染植株的高比例。

https://cdn.ncbi.nlm.nih.gov/pmc/blobs/0ad3/3867530/4dd993faf632/pone.0084539.g001.jpg

文献检索

告别复杂PubMed语法,用中文像聊天一样搜索,搜遍4000万医学文献。AI智能推荐,让科研检索更轻松。

立即免费搜索

文件翻译

保留排版,准确专业,支持PDF/Word/PPT等文件格式,支持 12+语言互译。

免费翻译文档

深度研究

AI帮你快速写综述,25分钟生成高质量综述,智能提取关键信息,辅助科研写作。

立即免费体验