• 文献检索
  • 文档翻译
  • 深度研究
  • 学术资讯
  • Suppr Zotero 插件Zotero 插件
  • 邀请有礼
  • 套餐&价格
  • 历史记录
应用&插件
Suppr Zotero 插件Zotero 插件浏览器插件Mac 客户端Windows 客户端微信小程序
定价
高级版会员购买积分包购买API积分包
服务
文献检索文档翻译深度研究API 文档MCP 服务
关于我们
关于 Suppr公司介绍联系我们用户协议隐私条款
关注我们

Suppr 超能文献

核心技术专利:CN118964589B侵权必究
粤ICP备2023148730 号-1Suppr @ 2026

文献检索

告别复杂PubMed语法,用中文像聊天一样搜索,搜遍4000万医学文献。AI智能推荐,让科研检索更轻松。

立即免费搜索

文件翻译

保留排版,准确专业,支持PDF/Word/PPT等文件格式,支持 12+语言互译。

免费翻译文档

深度研究

AI帮你快速写综述,25分钟生成高质量综述,智能提取关键信息,辅助科研写作。

立即免费体验

大鼠的伤害感受和条件性恐惧:品系很重要。

Nociception and conditioned fear in rats: strains matter.

机构信息

Department of Clinical Sciences of Companion Animals, Faculty of Veterinary Medicine, Utrecht University, Utrecht, The Netherlands ; Rudolf Magnus Institute of Neuroscience, Utrecht, The Netherlands.

Department of Clinical Sciences of Companion Animals, Faculty of Veterinary Medicine, Utrecht University, Utrecht, The Netherlands.

出版信息

PLoS One. 2013 Dec 23;8(12):e83339. doi: 10.1371/journal.pone.0083339. eCollection 2013.

DOI:10.1371/journal.pone.0083339
PMID:24376690
原文链接:https://pmc.ncbi.nlm.nih.gov/articles/PMC3871561/
Abstract

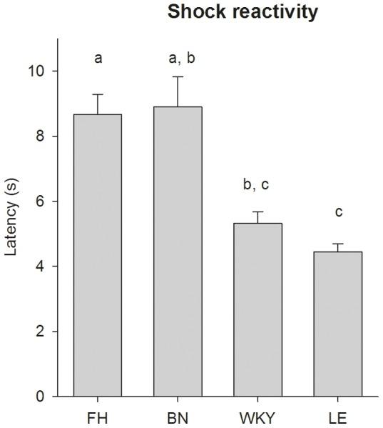
When using rats in pain research, strain-related differences in outcomes of tests for pain and nociception are acknowledged. However, very little is known about the specific characteristics of these strain differences. In this study four phylogenetically distant inbred rat strains, i.e. Wistar Kyoto (WKY), Fawn Hooded (FH), Brown Norway (BN) and Lewis (LE), were investigated in different tests related to pain and nociception. During Pavlovian fear conditioning, the LE and WKY showed a significantly longer duration of freezing behaviour than the FH and BN. Additionally, differences in c-Fos expression in subregions of the prefrontal cortex and amygdala between rat strains during retrieval and expression of conditioned fear were found. For example, the BN did not show recruitment of the basolateral amygdala, whereas the WKY, FH and LE did. During the hot plate test, the WKY and LE showed a lower thermal threshold compared to the BN and FH. In a follow-up experiment, the two most contrasting strains regarding behaviour during the hot plate test and Pavlovian fear conditioning (i.e. FH and WKY) were selected and the hot plate test, Von Frey test and somatosensory-evoked potential (SEP) were investigated. During the Von Frey test, the WKY showed a lower mechanical threshold compared to the FH. When measuring the SEP, the FH appeared to be less reactive to increasing stimulus intensities when considering both peak amplitudes and latencies. Altogether, the combined results indicate various differences between rat strains in Pavlovian fear conditioning, nociception related behaviours and nociceptive processing. These findings demonstrate the necessity of using multiple rat strains when using tests including noxious stimuli and suggest that the choice of rat strains should be considered. When selecting a strain for a particular study it should be considered how this strain behaves during the tests used in that study.

摘要

当在疼痛研究中使用大鼠时,人们承认不同品系大鼠在疼痛和伤害感受测试结果方面存在差异。然而,对于这些品系差异的具体特征,人们知之甚少。在这项研究中,我们研究了四种进化上相距甚远的近交系大鼠,即 Wistar 京都(WKY)、法恩霍德(FH)、布朗挪威(BN)和刘易斯(LE),它们在与疼痛和伤害感受相关的不同测试中表现出不同的特征。在巴甫洛夫恐惧条件反射中,LE 和 WKY 的冻结行为持续时间明显长于 FH 和 BN。此外,还发现了不同品系大鼠在恐惧条件反射的检索和表达过程中,前额叶皮层和杏仁核的不同亚区的 c-Fos 表达差异。例如,BN 没有招募基底外侧杏仁核,而 WKY、FH 和 LE 则有招募。在热板测试中,WKY 和 LE 的热阈值比 BN 和 FH 低。在后续实验中,选择了在热板测试和巴甫洛夫恐惧条件反射中行为表现最具对比性的两种品系(即 FH 和 WKY),并研究了热板测试、von Frey 测试和体感诱发电位(SEP)。在 von Frey 测试中,WKY 的机械阈值比 FH 低。在测量 SEP 时,FH 似乎对增加的刺激强度反应较低,无论是考虑峰值幅度还是潜伏期。总之,综合结果表明,在巴甫洛夫恐惧条件反射、伤害感受相关行为和伤害感受处理方面,不同大鼠品系之间存在各种差异。这些发现表明,在使用包括伤害性刺激的测试时,必须使用多个大鼠品系,并且应该考虑大鼠品系的选择。在为特定研究选择品系时,应该考虑该品系在该研究中使用的测试中的行为表现。

https://cdn.ncbi.nlm.nih.gov/pmc/blobs/bccd/3871561/ce5c1518e166/pone.0083339.g009.jpg
https://cdn.ncbi.nlm.nih.gov/pmc/blobs/bccd/3871561/9aa9ee38d1df/pone.0083339.g001.jpg
https://cdn.ncbi.nlm.nih.gov/pmc/blobs/bccd/3871561/db63bd6737a7/pone.0083339.g002.jpg
https://cdn.ncbi.nlm.nih.gov/pmc/blobs/bccd/3871561/b55a3b597eda/pone.0083339.g003.jpg
https://cdn.ncbi.nlm.nih.gov/pmc/blobs/bccd/3871561/f1ee4706710d/pone.0083339.g004.jpg
https://cdn.ncbi.nlm.nih.gov/pmc/blobs/bccd/3871561/ca8b5d9afe9d/pone.0083339.g005.jpg
https://cdn.ncbi.nlm.nih.gov/pmc/blobs/bccd/3871561/80409ae4bf7d/pone.0083339.g006.jpg
https://cdn.ncbi.nlm.nih.gov/pmc/blobs/bccd/3871561/2249d6d202fa/pone.0083339.g007.jpg
https://cdn.ncbi.nlm.nih.gov/pmc/blobs/bccd/3871561/3a3e92e4ef8f/pone.0083339.g008.jpg
https://cdn.ncbi.nlm.nih.gov/pmc/blobs/bccd/3871561/ce5c1518e166/pone.0083339.g009.jpg
https://cdn.ncbi.nlm.nih.gov/pmc/blobs/bccd/3871561/9aa9ee38d1df/pone.0083339.g001.jpg
https://cdn.ncbi.nlm.nih.gov/pmc/blobs/bccd/3871561/db63bd6737a7/pone.0083339.g002.jpg
https://cdn.ncbi.nlm.nih.gov/pmc/blobs/bccd/3871561/b55a3b597eda/pone.0083339.g003.jpg
https://cdn.ncbi.nlm.nih.gov/pmc/blobs/bccd/3871561/f1ee4706710d/pone.0083339.g004.jpg
https://cdn.ncbi.nlm.nih.gov/pmc/blobs/bccd/3871561/ca8b5d9afe9d/pone.0083339.g005.jpg
https://cdn.ncbi.nlm.nih.gov/pmc/blobs/bccd/3871561/80409ae4bf7d/pone.0083339.g006.jpg
https://cdn.ncbi.nlm.nih.gov/pmc/blobs/bccd/3871561/2249d6d202fa/pone.0083339.g007.jpg
https://cdn.ncbi.nlm.nih.gov/pmc/blobs/bccd/3871561/3a3e92e4ef8f/pone.0083339.g008.jpg
https://cdn.ncbi.nlm.nih.gov/pmc/blobs/bccd/3871561/ce5c1518e166/pone.0083339.g009.jpg

相似文献

1
Nociception and conditioned fear in rats: strains matter.大鼠的伤害感受和条件性恐惧:品系很重要。
PLoS One. 2013 Dec 23;8(12):e83339. doi: 10.1371/journal.pone.0083339. eCollection 2013.
2
The role of the dorsomedial part of the prefrontal cortex serotonergic innervation in rat responses to the aversively conditioned context: behavioral, biochemical and immunocytochemical studies.前额叶皮质5-羟色胺能神经支配的背内侧部分在大鼠对厌恶条件化环境反应中的作用:行为学、生物化学和免疫细胞化学研究
Behav Brain Res. 2008 Oct 10;192(2):203-15. doi: 10.1016/j.bbr.2008.04.003. Epub 2008 Apr 16.
3
Brain corticotropin-releasing factor immunoreactivity and receptors in five inbred rat strains: relationship to forced swimming behaviour.五种近交系大鼠脑内促肾上腺皮质激素释放因子免疫反应性及受体:与强迫游泳行为的关系
Brain Res. 1997 Mar 7;750(1-2):285-92. doi: 10.1016/s0006-8993(96)01368-6.
4
Alterations in extracellular levels of gamma-aminobutyric acid in the rat basolateral amygdala and periaqueductal gray during conditioned fear, persistent pain and fear-conditioned analgesia.在条件性恐惧、持续性疼痛和条件性镇痛期间,大鼠基底外侧杏仁核和导水管周围灰质细胞外γ-氨基丁酸水平的改变。
J Pain. 2009 Oct;10(10):1088-98. doi: 10.1016/j.jpain.2009.04.019. Epub 2009 Sep 2.
5
Measuring Pavlovian fear with conditioned freezing and conditioned suppression reveals different roles for the basolateral amygdala.用条件性冻结和条件性抑制来测量巴甫洛夫恐惧,揭示了外侧杏仁核的不同作用。
Brain Res. 2011 Feb 16;1374:82-9. doi: 10.1016/j.brainres.2010.12.050. Epub 2010 Dec 21.
6
Modulation of conditioned fear, fear-conditioned analgesia, and brain regional c-Fos expression following administration of muscimol into the rat basolateral amygdala.给予大鼠基底外侧杏仁核麦角酸后,条件性恐惧、条件性镇痛和大脑区域 c-Fos 表达的调制。
J Pain. 2011 Jun;12(6):712-21. doi: 10.1016/j.jpain.2010.12.010. Epub 2011 Apr 2.
7
Hypothalamic-pituitary-adrenal response to chronic stress in five inbred rat strains: differential responses are mainly located at the adrenocortical level.五种近交系大鼠下丘脑-垂体-肾上腺对慢性应激的反应:差异反应主要位于肾上腺皮质水平。
Neuroendocrinology. 1996 Apr;63(4):327-37. doi: 10.1159/000126973.
8
Colorectal distension-induced prefrontal cortex activation in the Wistar-Kyoto rat: implications for irritable bowel syndrome.结直肠扩张诱导的 Wistar-Kyoto 大鼠前额叶皮层激活:对肠易激综合征的影响。
Neuroscience. 2010 Feb 3;165(3):675-83. doi: 10.1016/j.neuroscience.2009.08.076. Epub 2009 Sep 16.
9
Somatosensory-evoked potentials indicate increased unpleasantness of noxious stimuli in response to increasing stimulus intensities in the rat.体感诱发电位表明,在大鼠中,随着刺激强度的增加,有害刺激的不适感增强。
Brain Res Bull. 2007 Jan 9;71(4):404-9. doi: 10.1016/j.brainresbull.2006.10.009. Epub 2006 Nov 7.
10
Latent inhibition and conditioning in rat strains which show differential prepulse inhibition.表现出不同前脉冲抑制的大鼠品系中的潜伏抑制和条件作用。
Behav Genet. 2001 May;31(3):325-33. doi: 10.1023/a:1012287527438.

引用本文的文献

1
Individual differences in conditioned fear are associated with levels of adolescent/early adult alcohol consumption and instrumental extinction.条件性恐惧的个体差异与青少年/成年早期的酒精消费量及工具性消退水平相关。
Behav Brain Res. 2018 Sep 3;349:145-157. doi: 10.1016/j.bbr.2018.04.020. Epub 2018 Apr 22.
2
Sexually Dimorphic Risk Mitigation Strategies in Rats.大鼠的性别二态性风险缓解策略。
eNeuro. 2017 Feb 6;4(1). doi: 10.1523/ENEURO.0288-16.2017. eCollection 2017 Jan-Feb.
3
Animal Models of PTSD: A Critical Review.创伤后应激障碍的动物模型:批判性综述

本文引用的文献

1
Neural substrates of fear conditioning, extinction, and spontaneous recovery in passive avoidance learning: a c-fos study in rats.恐惧条件反射、消退和被动回避学习中自发恢复的神经基质:大鼠中 c-fos 的研究。
Behav Brain Res. 2013 Jan 15;237:23-31. doi: 10.1016/j.bbr.2012.09.024. Epub 2012 Sep 24.
2
Neurophysiological assessment of the sedative and analgesic effects of a constant rate infusion of dexmedetomidine in the dog.犬持续输注右美托咪定的镇静和镇痛作用的神经生理评估。
Vet J. 2011 Dec;190(3):338-44. doi: 10.1016/j.tvjl.2010.11.025. Epub 2011 Jan 3.
3
Dissociable roles of prelimbic and infralimbic cortices, ventral hippocampus, and basolateral amygdala in the expression and extinction of conditioned fear.
Curr Top Behav Neurosci. 2018;38:47-68. doi: 10.1007/7854_2016_65.
4
Cross-centre replication of suppressed burrowing behaviour as an ethologically relevant pain outcome measure in the rat: a prospective multicentre study.大鼠中作为一种行为学相关疼痛结局指标的抑制掘土行为的跨中心复制:一项前瞻性多中心研究。
Pain. 2016 Oct;157(10):2350-65. doi: 10.1097/j.pain.0000000000000657.
5
Topography of Synchronization of Somatosensory Evoked Potentials Elicited by Stimulation of the Sciatic Nerve in Rat.大鼠坐骨神经刺激诱发体感诱发电位的同步化地形图。
Front Comput Neurosci. 2016 May 4;10:43. doi: 10.3389/fncom.2016.00043. eCollection 2016.
6
Bleeding Diathesis in Fawn Hooded Rats-Possible Implications for Invasive Procedures and Refinement Strategies.小鹿斑比毛色大鼠的出血素质——对侵入性操作和优化策略的潜在影响
Animals (Basel). 2015 Apr 24;5(2):270-5. doi: 10.3390/ani5020270.
7
Effects of acupuncture stimulation at different acupoints on formalin-induced pain in rats.不同穴位针刺刺激对大鼠福尔马林致痛的影响。
Korean J Physiol Pharmacol. 2014 Apr;18(2):121-7. doi: 10.4196/kjpp.2014.18.2.121. Epub 2014 Apr 3.
前额皮质和下边缘皮质、腹侧海马体以及外侧杏仁核在条件性恐惧的表达和消退中的可分离作用。
Neuropsychopharmacology. 2011 Jan;36(2):529-38. doi: 10.1038/npp.2010.184. Epub 2010 Oct 20.
4
The influence of non-nociceptive factors on hot-plate latency in rats.非伤害性因素对大鼠热板潜伏期的影响。
J Pain. 2011 Feb;12(2):222-7. doi: 10.1016/j.jpain.2010.06.011. Epub 2010 Aug 25.
5
Emotional reactivity and cognitive performance in aversively motivated tasks: a comparison between four rat strains.在厌恶动机任务中的情绪反应和认知表现:四种大鼠品系的比较。
Behav Brain Funct. 2009 Dec 15;5:50. doi: 10.1186/1744-9081-5-50.
6
Introgression of Brown Norway chromosome 1 onto the fawn hooded hypertensive background rescues long-term fear memory deficits.棕色挪威 1 号染色体导入小鹿色垂耳高血压背景可挽救长期的恐惧记忆缺陷。
Behav Genet. 2010 Jan;40(1):85-92. doi: 10.1007/s10519-009-9297-5. Epub 2009 Sep 16.
7
Animal models of pain: progress and challenges.疼痛的动物模型:进展与挑战。
Nat Rev Neurosci. 2009 Apr;10(4):283-94. doi: 10.1038/nrn2606. Epub 2009 Mar 4.
8
Neural mechanisms of extinction learning and retrieval.消退学习与提取的神经机制。
Neuropsychopharmacology. 2008 Jan;33(1):56-72. doi: 10.1038/sj.npp.1301555. Epub 2007 Sep 19.
9
Somatosensory-evoked potentials indicate increased unpleasantness of noxious stimuli in response to increasing stimulus intensities in the rat.体感诱发电位表明,在大鼠中,随着刺激强度的增加,有害刺激的不适感增强。
Brain Res Bull. 2007 Jan 9;71(4):404-9. doi: 10.1016/j.brainresbull.2006.10.009. Epub 2006 Nov 7.
10
Neurophysiological techniques to assess pain in animals.评估动物疼痛的神经生理学技术。
J Vet Pharmacol Ther. 2006 Oct;29(5):325-35. doi: 10.1111/j.1365-2885.2006.00758.x.