• 文献检索
  • 文档翻译
  • 深度研究
  • 学术资讯
  • Suppr Zotero 插件Zotero 插件
  • 邀请有礼
  • 套餐&价格
  • 历史记录
应用&插件
Suppr Zotero 插件Zotero 插件浏览器插件Mac 客户端Windows 客户端微信小程序
定价
高级版会员购买积分包购买API积分包
服务
文献检索文档翻译深度研究API 文档MCP 服务
关于我们
关于 Suppr公司介绍联系我们用户协议隐私条款
关注我们

Suppr 超能文献

核心技术专利:CN118964589B侵权必究
粤ICP备2023148730 号-1Suppr @ 2026

文献检索

告别复杂PubMed语法,用中文像聊天一样搜索,搜遍4000万医学文献。AI智能推荐,让科研检索更轻松。

立即免费搜索

文件翻译

保留排版,准确专业,支持PDF/Word/PPT等文件格式,支持 12+语言互译。

免费翻译文档

深度研究

AI帮你快速写综述,25分钟生成高质量综述,智能提取关键信息,辅助科研写作。

立即免费体验

土耳其开塞利婴幼儿身长/身高别体重百分位数

Weight for length/height percentiles in infants and young children in Kayseri/Turkey.

作者信息

Mazıcıoğlu M Mümtaz, Demirtaş Türev, Çcek Betül, Oztürk Ahmet, Kurtoğlu Selim, Üstünbaş Hasan Basri

机构信息

Erciyes University, Faculty of Medicine, Department of Pediatric Endocrinology, Kayseri, Turkey.

出版信息

J Clin Res Pediatr Endocrinol. 2013;5(4):224-8. doi: 10.4274/Jcrpe.1139.

DOI:10.4274/Jcrpe.1139
PMID:24379030
原文链接:https://pmc.ncbi.nlm.nih.gov/articles/PMC3890220/
Abstract

OBJECTIVE

To produce weight for length/height (WLH) percentiles to be used for the screening of growth and assessment of failure to thrive in infancy and early childhood.

METHODS

The data (2009-2010) of the Anthropometry of Turkish Children aged 0-6 years (ATCA-06) study were used. A cross-sectional study was designed to calculate the WLH references. Reference weight values for each 5-cm LH intervals were determined using the LMS Chart Maker Pro version 2.3 software program (The Institute of Child Health, London).

RESULTS

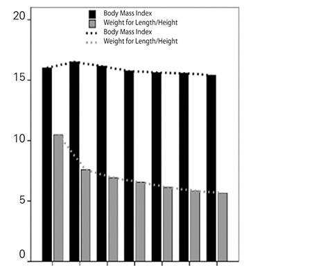
A total of 3123 children (1573 female, 1550 male) aged 0-6 years were included in the calculation of the 3rd, 5th, 10th, 25th, 50th, 75th, 85th, 90th, 95th, and 97th WLH percentiles. The difference between the 3rd and the 97th percentiles for males was 2.02 cm to 12.64 cm in the 50-54.99 cm and 125-130 cm LH ranges. In the girls, the differences between the 3rd-97th percentiles ranged from 2.02 cm to 12.64 cm in the 50-54.99 cm and 125-130 cm LH groups. The maximum difference between the 3rd and 97th percentiles was about half the variation of mean WLH throughout the first six years of life. The most rapid change in WLH was observed in the 0-2-year period. Turkish references for WLH were not different from the World Health Organization standards.

CONCLUSIONS

This is the first study in Turkey presenting WLH references in 0-6 year old children. We suggest that the use of WLH in the first two years of life may be more useful than age-adjusted references in assessment of nutritional status and diagnosis of failure to thrive.

摘要

目的

制定身长/身高别体重(WLH)百分位数,用于婴儿期和幼儿期生长发育筛查及发育迟缓评估。

方法

使用土耳其0至6岁儿童人体测量学研究(ATCA - 06)(2009 - 2010年)的数据。设计一项横断面研究以计算WLH参考值。使用LMS Chart Maker Pro 2.3版软件程序(伦敦儿童健康研究所)确定每5厘米身长/身高区间的参考体重值。

结果

共有3123名0至6岁儿童(1573名女性,1550名男性)纳入第3、5、10、25、50、75、85、90、95和97百分位WLH的计算。在身长/身高范围为50 - 54.99厘米和125 - 130厘米时,男性第3和第97百分位数之间的差异为2.02厘米至12.64厘米。在身长/身高范围为50 - 54.99厘米和125 - 130厘米的女性组中,第3至第97百分位数之间的差异为2.02厘米至12.64厘米。第3和第97百分位数之间的最大差异约为生命最初六年中WLH均值变化的一半。WLH变化最迅速的时期是0至2岁。土耳其的WLH参考值与世界卫生组织标准无差异。

结论

这是土耳其第一项给出0至6岁儿童WLH参考值的研究。我们建议,在生命的前两年使用WLH可能比年龄校正参考值在评估营养状况和诊断发育迟缓方面更有用。

https://cdn.ncbi.nlm.nih.gov/pmc/blobs/e0fd/3890220/40ad96e4b500/JCRPE-5-224-g6.jpg
https://cdn.ncbi.nlm.nih.gov/pmc/blobs/e0fd/3890220/ba55879e78eb/JCRPE-5-224-g4.jpg
https://cdn.ncbi.nlm.nih.gov/pmc/blobs/e0fd/3890220/1fdfbaf70b0e/JCRPE-5-224-g5.jpg
https://cdn.ncbi.nlm.nih.gov/pmc/blobs/e0fd/3890220/40ad96e4b500/JCRPE-5-224-g6.jpg
https://cdn.ncbi.nlm.nih.gov/pmc/blobs/e0fd/3890220/ba55879e78eb/JCRPE-5-224-g4.jpg
https://cdn.ncbi.nlm.nih.gov/pmc/blobs/e0fd/3890220/1fdfbaf70b0e/JCRPE-5-224-g5.jpg
https://cdn.ncbi.nlm.nih.gov/pmc/blobs/e0fd/3890220/40ad96e4b500/JCRPE-5-224-g6.jpg

相似文献

1
Weight for length/height percentiles in infants and young children in Kayseri/Turkey.土耳其开塞利婴幼儿身长/身高别体重百分位数
J Clin Res Pediatr Endocrinol. 2013;5(4):224-8. doi: 10.4274/Jcrpe.1139.
2
Weight and height percentiles for 0-84- month-old children in Kayseri--a central Anatolian city in Turkey.土耳其安纳托利亚中部城市开塞利0至84个月儿童的体重和身高百分位数
J Clin Res Pediatr Endocrinol. 2011;3(4):184-91. doi: 10.4274/jcrpe.452.
3
The weight and height percentiles in 6-18 year old children in Kayseri and comparison with Istanbul data.开塞利6至18岁儿童的体重和身高百分位数及其与伊斯坦布尔数据的比较。
J Clin Res Pediatr Endocrinol. 2009;1(3):129-35. doi: 10.4008/jcrpe.v1i3.47. Epub 2009 Feb 3.
4
Normal standards of eye projection in Turkish children 6 to 17 years of age.土耳其儿童 6 至 17 岁眼突度的正常标准。
Graefes Arch Clin Exp Ophthalmol. 2010 Dec;248(12):1809-15. doi: 10.1007/s00417-010-1519-2. Epub 2010 Sep 23.
5
Height, weight and body mass index percentiles of children aged 6-14 years living at moderate altitudes.生活在中等海拔地区的6至14岁儿童的身高、体重和体重指数百分位数
J Clin Res Pediatr Endocrinol. 2012 Mar;4(1):14-20. doi: 10.4274/jcrpe.559.
6
Growth reference for Saudi preschool children: LMS parameters and percentiles.沙特学龄前儿童的生长参考标准:LMS参数与百分位数
Ann Saudi Med. 2016 Jan-Feb;36(1):2-6. doi: 10.5144/0256-4947.2016.2.
7
Body weight, length and head circumference at birth in a cohort of Turkish newborns.一组土耳其新生儿出生时的体重、身长和头围。
J Clin Res Pediatr Endocrinol. 2012 Sep;4(3):132-9. doi: 10.4274/jcrpe.693. Epub 2012 May 4.
8
Growth references for weight, height, and body mass index for Ecuadorian children and adolescents aged 5-19 years.厄瓜多尔 5-19 岁儿童和青少年体重、身高和体质指数的生长参考值。
Arch Argent Pediatr. 2020 Apr;118(2):117-124. doi: 10.5546/aap.2020.eng.117.
9
[Height and weight standardized growth charts for Chinese children and adolescents aged 0 to 18 years].《中国0至18岁儿童青少年身高、体重标准化生长曲线图》
Zhonghua Er Ke Za Zhi. 2009 Jul;47(7):487-92.
10
[Growth standardized values and curves based on weight, length/height and head circumference for Chinese children under 7 years of age].[基于体重、身长/身高和头围的7岁以下中国儿童生长标准值及曲线]
Zhonghua Er Ke Za Zhi. 2009 Mar;47(3):173-8.

本文引用的文献

1
Weight and height percentiles for 0-84- month-old children in Kayseri--a central Anatolian city in Turkey.土耳其安纳托利亚中部城市开塞利0至84个月儿童的体重和身高百分位数
J Clin Res Pediatr Endocrinol. 2011;3(4):184-91. doi: 10.4274/jcrpe.452.
2
Crossing growth percentiles in infancy and risk of obesity in childhood.婴儿期生长百分位数跨越与儿童期肥胖风险
Arch Pediatr Adolesc Med. 2011 Nov;165(11):993-8. doi: 10.1001/archpediatrics.2011.167.
3
Body mass index percentiles for Turkish children aged 0-84 months.0至84个月土耳其儿童的体重指数百分位数
Ann Hum Biol. 2011 Nov;38(6):676-80. doi: 10.3109/03014460.2011.605800. Epub 2011 Sep 29.
4
Failure to thrive: an update.发育不良:最新研究进展。
Am Fam Physician. 2011 Apr 1;83(7):829-34.
5
The weight and height percentiles in 6-18 year old children in Kayseri and comparison with Istanbul data.开塞利6至18岁儿童的体重和身高百分位数及其与伊斯坦布尔数据的比较。
J Clin Res Pediatr Endocrinol. 2009;1(3):129-35. doi: 10.4008/jcrpe.v1i3.47. Epub 2009 Feb 3.
6
Updated growth curves for Turkish children aged 15 days to 60 months.15天至60个月大的土耳其儿童的更新生长曲线。
Child Care Health Dev. 2008 Jul;34(4):454-63. doi: 10.1111/j.1365-2214.2008.00813.x. Epub 2008 Apr 3.
7
Expert committee recommendations regarding the prevention, assessment, and treatment of child and adolescent overweight and obesity: summary report.专家委员会关于儿童及青少年超重与肥胖的预防、评估和治疗的建议:总结报告
Pediatrics. 2007 Dec;120 Suppl 4:S164-92. doi: 10.1542/peds.2007-2329C.
8
Failure to thrive: still a problem of definition.发育迟缓:仍是一个定义问题。
Clin Pediatr (Phila). 2006 Jan-Feb;45(1):1-6. doi: 10.1177/000992280604500101.
9
Height-related changes in body mass index: a reappraisal.体重指数与身高相关的变化:重新评估
J Am Coll Nutr. 2004 Feb;23(1):51-4. doi: 10.1080/07315724.2004.10719342.
10
Weight-for-length relationship at birth to predict neonatal diseases.出生时身长别体重关系用于预测新生儿疾病。
Sao Paulo Med J. 2003 Jul 1;121(4):149-54. doi: 10.1590/s1516-31802003000400002. Epub 2003 Oct 29.