Suppr超能文献

双能X线吸收法测量的腰椎骨密度与诊断性CT测量的亨氏单位之间的相关性

Correlation between Bone Mineral Density Measured by Dual-Energy X-Ray Absorptiometry and Hounsfield Units Measured by Diagnostic CT in Lumbar Spine.

作者信息

Lee Sungjoon, Chung Chun Kee, Oh So Hee, Park Sung Bae

机构信息

Department of Neurosurgery, Seoul National University College of Medicine, Seoul, Korea. ; Neuroscience Research Institute, Seoul National University Medical Research Center, Seoul, Korea. ; Clinical Research Institute, Seoul National University Hospital, Seoul, Korea.

Department of Medical Statistics, Seoul National University Boramae Medical Center, Seoul, Korea.

出版信息

J Korean Neurosurg Soc. 2013 Nov;54(5):384-9. doi: 10.3340/jkns.2013.54.5.384. Epub 2013 Nov 30.

Abstract

OBJECTIVE

Use of quantitative computed tomography (CT) to evaluate bone mineral density was suggested in the 1970s. Despite its reliability and accuracy, technical shortcomings restricted its usage, and dual-energy X-ray absorptiometry (DXA) became the gold standard evaluation method. Advances in CT technology have reduced its previous limitations, and CT evaluation of bone quality may now be applicable in clinical practice. The aim of this study was to determine if the Hounsfield unit (HU) values obtained from CT correlate with patient age and bone mineral density.

METHODS

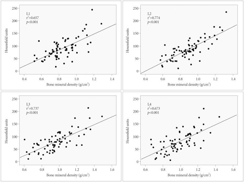
A total of 128 female patients who underwent lumbar CT for back pain were enrolled in the study. Their mean age was 66.4 years. Among them, 70 patients also underwent DXA. The patients were stratified by decade of life, forming five age groups. Lumbar vertebrae L1-4 were analyzed. The HU value of each vertebra was determined by averaging three measurements of the vertebra's trabecular portion, as shown in consecutive axial CT images. The HU values were compared between age groups, and correlations of HU value with bone mineral density and T-scores were determined.

RESULTS

The HU values consistently decreased with increasing age with significant differences between age groups (p<0.001). There were significant positive correlations (p<0.001) of HU value with bone mineral density and T-score.

CONCLUSION

The trabecular area HU value consistently decreases with age. Based on the strong positive correlation between HU value and bone mineral density, CT-based HU values might be useful in detecting bone mineral diseases, such as osteoporosis.

摘要

目的

20世纪70年代有人提出使用定量计算机断层扫描(CT)来评估骨密度。尽管其具有可靠性和准确性,但其技术缺陷限制了其应用,双能X线吸收法(DXA)成为了金标准评估方法。CT技术的进步减少了其先前的局限性,现在CT对骨质的评估可能适用于临床实践。本研究的目的是确定从CT获得的亨氏单位(HU)值是否与患者年龄和骨密度相关。

方法

本研究共纳入128例因背痛接受腰椎CT检查的女性患者。她们的平均年龄为66.4岁。其中,70例患者还接受了DXA检查。患者按年龄段分层,形成五个年龄组。对L1 - 4腰椎进行分析。每个椎体的HU值通过对椎体小梁部分的三次测量求平均值来确定,如连续轴向CT图像所示。比较各年龄组之间的HU值,并确定HU值与骨密度和T值的相关性。

结果

HU值随着年龄的增长持续下降,各年龄组之间存在显著差异(p<0.001)。HU值与骨密度和T值存在显著正相关(p<0.001)。

结论

小梁区域HU值随年龄增长持续下降。基于HU值与骨密度之间的强正相关,基于CT的HU值可能有助于检测骨质疏松等骨矿物质疾病。

https://cdn.ncbi.nlm.nih.gov/pmc/blobs/f940/3873350/8ea444d53a22/jkns-54-384-g001.jpg

文献检索

告别复杂PubMed语法,用中文像聊天一样搜索,搜遍4000万医学文献。AI智能推荐,让科研检索更轻松。

立即免费搜索

文件翻译

保留排版,准确专业,支持PDF/Word/PPT等文件格式,支持 12+语言互译。

免费翻译文档

深度研究

AI帮你快速写综述,25分钟生成高质量综述,智能提取关键信息,辅助科研写作。

立即免费体验