Suppr超能文献

黑雀鹰(Accipiter melanoleucus)不同形态之间的血寄生虫强度差异表明多态性具有适应性功能。

Differential haemoparasite intensity between black sparrowhawk (Accipiter melanoleucus) morphs suggests an adaptive function for polymorphism.

机构信息

Percy FitzPatrick Institute of African Ornithology- DST/NRF Centre of Excellence, University of Cape Town, Cape Town, South Africa ; Department of Organismic & Evolutionary Biology, Harvard University, Cambridge, Massachusetts, United States of America.

Percy FitzPatrick Institute of African Ornithology- DST/NRF Centre of Excellence, University of Cape Town, Cape Town, South Africa.

出版信息

PLoS One. 2013 Dec 31;8(12):e81607. doi: 10.1371/journal.pone.0081607. eCollection 2013.

Abstract

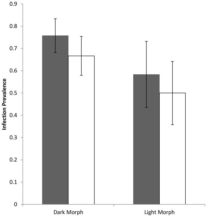
Recent research suggests that genes coding for melanin based colouration may have pleiotropic properties, in particular conveying raised immune function. Thus adaptive function of polymorphism may be associated with parasite resistance. The black sparrowhawk Accipiter melanoleucus is a polymorphic raptor with two morphs. Over most of its range the light morph is commonest, however within the recently colonised Western Cape of South Africa the dark morph predominates. The species breeds in winter throughout South Africa, however unlike in the rest of the species' South African range, the Western Cape experiences a winter rainfall regime, where arthropod vectors which transmit haematozoan parasites may be more abundant. We hypothesise that the higher frequency of dark morph birds in this region may be due to their improved parasite resistance, which enables them to cope with higher parasite pressure. If so, we predict that dark morph black sparrowhawks would have lower parasite burdens than light morph birds. Within our population the prevalence of the two most common haematozoan parasites was high, with 72% of adults infected with Haemoproteus nisi and 59% of adults infected with Leucocytozoon toddi. We found no difference in prevalence for either parasite between adult morphs, or between chicks of different parental morphs. However, within adults infected with H. nisi, infection intensity was significantly higher in light morphs than dark morphs. This suggests that dark morphs have lower parasite loads than light morphs due to resistance rather than morph-specific habitat exploitation. Greater resistance to Haemoproteus parasites may therefore be one of the mechanisms through which dark morph black sparrowhawks have a selective advantage in this region and may explain why they are most common in our study area. In other regions, the cost to benefit ratio may be in favour of the light morph, where parasites are less abundant or virulent.

摘要

最近的研究表明,编码黑色素体颜色的基因可能具有多效性,特别是能提高免疫功能。因此,多态性的适应功能可能与寄生虫抗性有关。黑雀鹰(Accipiter melanoleucus)是一种具有两种形态的多态猛禽。在其大部分分布范围内,浅色形态最为常见,但在南非最近殖民的西开普省,深色形态占主导地位。该物种在南非各地的冬季繁殖,但与南非其他地区不同的是,西开普省经历的是冬季降雨模式,其中传播血液寄生虫的节肢动物载体可能更为丰富。我们假设,该地区深色形态鸟类的更高频率可能是由于它们具有更好的寄生虫抗性,这使它们能够应对更高的寄生虫压力。如果是这样,我们预测深色形态黑雀鹰的寄生虫负担会低于浅色形态鸟类。在我们的种群中,两种最常见的血液寄生虫的流行率很高,72%的成年鸟感染了 Haemoproteus nisi,59%的成年鸟感染了 Leucocytozoon toddi。我们没有发现成年鸟之间或不同亲鸟形态雏鸟之间任何一种寄生虫的流行率存在差异。然而,在感染 Haemoproteus nisi 的成年鸟中,浅色形态的感染强度明显高于深色形态。这表明,深色形态的寄生虫负荷低于浅色形态,这是由于抗性而不是形态特异性栖息地利用。因此,对 Haemoproteus 寄生虫的更高抗性可能是深色形态黑雀鹰在该地区具有选择优势的机制之一,并可以解释为什么它们在我们的研究区域最为常见。在其他地区,寄生虫数量较少或毒性较弱的情况下,对浅色形态的成本效益比可能更有利。

https://cdn.ncbi.nlm.nih.gov/pmc/blobs/0668/3876978/ef2a5571d1f5/pone.0081607.g001.jpg

文献AI研究员

20分钟写一篇综述,助力文献阅读效率提升50倍。

立即体验

用中文搜PubMed

大模型驱动的PubMed中文搜索引擎

马上搜索

文档翻译

学术文献翻译模型,支持多种主流文档格式。

立即体验