• 文献检索
  • 文档翻译
  • 深度研究
  • 学术资讯
  • Suppr Zotero 插件Zotero 插件
  • 邀请有礼
  • 套餐&价格
  • 历史记录
应用&插件
Suppr Zotero 插件Zotero 插件浏览器插件Mac 客户端Windows 客户端微信小程序
定价
高级版会员购买积分包购买API积分包
服务
文献检索文档翻译深度研究API 文档MCP 服务
关于我们
关于 Suppr公司介绍联系我们用户协议隐私条款
关注我们

Suppr 超能文献

核心技术专利:CN118964589B侵权必究
粤ICP备2023148730 号-1Suppr @ 2026

文献检索

告别复杂PubMed语法,用中文像聊天一样搜索,搜遍4000万医学文献。AI智能推荐,让科研检索更轻松。

立即免费搜索

文件翻译

保留排版,准确专业,支持PDF/Word/PPT等文件格式,支持 12+语言互译。

免费翻译文档

深度研究

AI帮你快速写综述,25分钟生成高质量综述,智能提取关键信息,辅助科研写作。

立即免费体验

紫苏油高脂肪饮食可降低血清脂质但诱导胰岛素抵抗并增加大鼠肝脏脂肪酸氧化。

High-fat diet from perilla oil induces insulin resistance despite lower serum lipids and increases hepatic fatty acid oxidation in rats.

机构信息

Laboratory Animal Center of the Academy of Military Medical Science, Beijing 100071, China.

出版信息

Lipids Health Dis. 2014 Jan 15;13:15. doi: 10.1186/1476-511X-13-15.

DOI:10.1186/1476-511X-13-15
PMID:24422660
原文链接:https://pmc.ncbi.nlm.nih.gov/articles/PMC3904189/
Abstract

BACKGROUND

The purpose of this study is to investigate the effects of a high-fat diet from perilla oil on serum lipids, hepatic lipid metabolism and insulin sensitivity.

METHODS

Male Sprague-Dawley (SD) rats were fed either a control (CT) diet or a diet high in perilla oil (HP). After 16 weeks of feeding, the serum lipids were measured, and the gene expressions involved in hepatic fatty acid oxidation and synthesis were determined. In addition, hepatic fat deposition was detected, and insulin sensitivity was evaluated by means of euglycemic-hyperinsulinemic clamp.

RESULTS

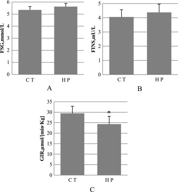
Compared with the rats in the CT group, the HP-feeding significantly decreased the levels of triglyceride (TG), total cholesterol (TCH) and HDL-cholesterol (HDL-c). HP-feeding did not change the levels of LDL-cholesterol (LDL-c), free fatty acid (FFA), intrahepatic lipids or body weight. Moreover, the HP-feeding dramatically increased the mRNA expressions of fatty acid oxidation markers (PPAR-alpha, CPT1A) and fatty acid synthesis markers (SREBP-1, FASN and ACC) in the liver. The HP-feeding induced increased protein levels of CPT1A, while reducing the protein levels of FASN and ACC in the liver. However, the glucose infusion rate significantly increased in the HP group compared with the CT group.

CONCLUSIONS

Our data show that, in rats, excessive perilla oil intake may significantly lower serum lipids, strengthen hepatic fatty acid oxidation, and inhibit hepatic fatty acid synthesis, but at the same time may also lead to insulin resistance.

摘要

背景

本研究旨在探讨紫苏油高脂饮食对血清脂质、肝脂代谢和胰岛素敏感性的影响。

方法

雄性 Sprague-Dawley(SD)大鼠分别喂食对照(CT)饮食或富含紫苏油(HP)的饮食。喂养 16 周后,检测血清脂质,并测定参与肝脂肪酸氧化和合成的基因表达。此外,检测肝脂肪沉积,通过正葡萄糖高胰岛素钳夹评估胰岛素敏感性。

结果

与 CT 组大鼠相比,HP 喂养显著降低了甘油三酯(TG)、总胆固醇(TCH)和高密度脂蛋白胆固醇(HDL-c)水平。HP 喂养并未改变 LDL-胆固醇(LDL-c)、游离脂肪酸(FFA)、肝内脂质或体重水平。此外,HP 喂养显著增加了肝脏中脂肪酸氧化标志物(PPAR-α、CPT1A)和脂肪酸合成标志物(SREBP-1、FASN 和 ACC)的 mRNA 表达。HP 喂养诱导 CPT1A 蛋白水平升高,同时降低了肝脏中 FASN 和 ACC 的蛋白水平。然而,与 CT 组相比,HP 组的葡萄糖输注率显著增加。

结论

我们的数据表明,在大鼠中,过量摄入紫苏油可能显著降低血清脂质,增强肝脂肪酸氧化,抑制肝脂肪酸合成,但同时也可能导致胰岛素抵抗。

https://cdn.ncbi.nlm.nih.gov/pmc/blobs/07df/3904189/164571941411/1476-511X-13-15-6.jpg
https://cdn.ncbi.nlm.nih.gov/pmc/blobs/07df/3904189/593a0cdaeb5b/1476-511X-13-15-1.jpg
https://cdn.ncbi.nlm.nih.gov/pmc/blobs/07df/3904189/05cca3385e71/1476-511X-13-15-2.jpg
https://cdn.ncbi.nlm.nih.gov/pmc/blobs/07df/3904189/a49c65d4810f/1476-511X-13-15-3.jpg
https://cdn.ncbi.nlm.nih.gov/pmc/blobs/07df/3904189/41da495bde46/1476-511X-13-15-4.jpg
https://cdn.ncbi.nlm.nih.gov/pmc/blobs/07df/3904189/0480915d617f/1476-511X-13-15-5.jpg
https://cdn.ncbi.nlm.nih.gov/pmc/blobs/07df/3904189/164571941411/1476-511X-13-15-6.jpg
https://cdn.ncbi.nlm.nih.gov/pmc/blobs/07df/3904189/593a0cdaeb5b/1476-511X-13-15-1.jpg
https://cdn.ncbi.nlm.nih.gov/pmc/blobs/07df/3904189/05cca3385e71/1476-511X-13-15-2.jpg
https://cdn.ncbi.nlm.nih.gov/pmc/blobs/07df/3904189/a49c65d4810f/1476-511X-13-15-3.jpg
https://cdn.ncbi.nlm.nih.gov/pmc/blobs/07df/3904189/41da495bde46/1476-511X-13-15-4.jpg
https://cdn.ncbi.nlm.nih.gov/pmc/blobs/07df/3904189/0480915d617f/1476-511X-13-15-5.jpg
https://cdn.ncbi.nlm.nih.gov/pmc/blobs/07df/3904189/164571941411/1476-511X-13-15-6.jpg

相似文献

1
High-fat diet from perilla oil induces insulin resistance despite lower serum lipids and increases hepatic fatty acid oxidation in rats.紫苏油高脂肪饮食可降低血清脂质但诱导胰岛素抵抗并增加大鼠肝脏脂肪酸氧化。
Lipids Health Dis. 2014 Jan 15;13:15. doi: 10.1186/1476-511X-13-15.
2
Vitamin D attenuates high fat diet-induced hepatic steatosis in rats by modulating lipid metabolism.维生素 D 通过调节脂质代谢减轻高脂饮食诱导的大鼠肝脂肪变性。
Eur J Clin Invest. 2012 Nov;42(11):1189-96. doi: 10.1111/j.1365-2362.2012.02706.x. Epub 2012 Sep 8.
3
Stimulation of the activities of hepatic fatty acid oxidation enzymes by dietary fat rich in alpha-linolenic acid in rats.富含α-亚麻酸的膳食脂肪对大鼠肝脏脂肪酸氧化酶活性的刺激作用。
J Lipid Res. 1996 Mar;37(3):448-63.
4
Hypolipidemic Activity of Peony Seed Oil Rich in α-Linolenic, is Mediated Through Inhibition of Lipogenesis and Upregulation of Fatty Acid β-Oxidation.富含α-亚麻酸的牡丹籽油的降血脂活性是通过抑制脂肪生成和上调脂肪酸β-氧化来介导的。
J Food Sci. 2016 Apr;81(4):H1001-9. doi: 10.1111/1750-3841.13252. Epub 2016 Mar 1.
5
Effect of dietary alpha-linolenic acid on the activity and gene expression of hepatic fatty acid oxidation enzymes.膳食α-亚麻酸对肝脏脂肪酸氧化酶活性及基因表达的影响。
Biofactors. 2000;13(1-4):9-14. doi: 10.1002/biof.5520130103.
6
Dietary α-lactalbumin induced fatty liver by enhancing nuclear liver X receptor αβ/sterol regulatory element-binding protein-1c/PPARγ expression and minimising PPARα/carnitine palmitoyltransferase-1 expression and AMP-activated protein kinase α phosphorylation associated with atherogenic dyslipidaemia, insulin resistance and oxidative stress in Balb/c mice.膳食α-乳白蛋白通过增强核肝X受体αβ/固醇调节元件结合蛋白-1c/过氧化物酶体增殖物激活受体γ的表达,并使过氧化物酶体增殖物激活受体α/肉碱棕榈酰转移酶-1的表达以及与动脉粥样硬化性血脂异常、胰岛素抵抗和氧化应激相关的AMP激活蛋白激酶α磷酸化降至最低,从而在Balb/c小鼠中诱发脂肪肝。
Br J Nutr. 2017 Dec;118(11):914-929. doi: 10.1017/S000711451700232X. Epub 2017 Nov 27.
7
5-cholesten-3β,25-diol 3-sulfate decreases lipid accumulation in diet-induced nonalcoholic fatty liver disease mouse model.5-胆甾烯-3β,25-二醇 3-硫酸盐可减少饮食诱导的非酒精性脂肪肝病小鼠模型中的脂质堆积。
Mol Pharmacol. 2013 Mar;83(3):648-58. doi: 10.1124/mol.112.081505. Epub 2012 Dec 20.
8
Methionine restriction prevents the progression of hepatic steatosis in leptin-deficient obese mice.限制蛋氨酸摄入可防止瘦素缺乏型肥胖小鼠的肝脂肪变性进展。
Metabolism. 2013 Nov;62(11):1651-61. doi: 10.1016/j.metabol.2013.06.012. Epub 2013 Aug 5.
9
The chloroform extract of Cyclocarya paliurus attenuates high-fat diet induced non-alcoholic hepatic steatosis in Sprague Dawley rats.青钱柳氯仿提取物减轻高脂饮食诱导的Sprague Dawley大鼠非酒精性肝脂肪变性。
Phytomedicine. 2016 Nov 15;23(12):1475-1483. doi: 10.1016/j.phymed.2016.08.003. Epub 2016 Aug 17.
10
Activity of hepatic fatty acid oxidation enzymes in rats fed alpha-linolenic acid.喂食α-亚麻酸的大鼠肝脏脂肪酸氧化酶的活性
Biochim Biophys Acta. 1996 Nov 22;1304(2):105-19. doi: 10.1016/s0005-2760(96)00110-5.

引用本文的文献

1
Effects of Perilla Seed Oil on Blood Lipids, Oxidative Stress, and Inflammation in Hyperlipidemic Rats.紫苏籽油对高脂血症大鼠血脂、氧化应激及炎症的影响
Foods. 2025 Apr 17;14(8):1380. doi: 10.3390/foods14081380.
2
The Genome of the Korean Island-Originated 'Jeju17' Sheds Light on Its Environmental Adaptation and Fatty Acid and Lipid Production Pathways.韩国济州岛起源的“Jeju17”的基因组揭示了其环境适应性和脂肪酸及脂质生产途径。
Genes (Basel). 2023 Sep 30;14(10):1898. doi: 10.3390/genes14101898.
3
Effects of dietary adjustment of -3:-6 fatty-acid ratio to 1:2 on anti-inflammatory and insulin-signaling pathways in ovariectomized mice with high fat diet-induced obesity.

本文引用的文献

1
Anti-inflammatory and antiobesity effects of mulberry leaf and fruit extract on high fat diet-induced obesity.桑叶和桑果提取物对高脂饮食诱导肥胖的抗炎和抗肥胖作用。
Exp Biol Med (Maywood). 2013 Oct;238(10):1160-9. doi: 10.1177/1535370213498982. Epub 2013 Sep 2.
2
Piperine reverses high fat diet-induced hepatic steatosis and insulin resistance in mice.胡椒碱可逆转高脂饮食诱导的小鼠肝脂肪变性和胰岛素抵抗。
Food Chem. 2013 Dec 15;141(4):3627-35. doi: 10.1016/j.foodchem.2013.06.028. Epub 2013 Jun 17.
3
Impaired glucose tolerance in rats fed low-carbohydrate, high-fat diets.
将-3:-6脂肪酸比例饮食调整为1:2对高脂饮食诱导肥胖的去卵巢小鼠抗炎和胰岛素信号通路的影响。
Heliyon. 2023 Oct 3;9(10):e20451. doi: 10.1016/j.heliyon.2023.e20451. eCollection 2023 Oct.
4
Advances in Understanding the Genetic Basis of Fatty Acids Biosynthesis in Perilla: An Update.紫苏脂肪酸生物合成遗传基础的研究进展:最新综述
Plants (Basel). 2022 Apr 29;11(9):1207. doi: 10.3390/plants11091207.
5
Partial Replacement of Dietary Fat with Polyunsaturated Fatty Acids Attenuates the Lipopolysaccharide-Induced Hepatic Inflammation in Sprague-Dawley Rats Fed a High-Fat Diet.用多不饱和脂肪酸部分替代膳食脂肪可减轻高脂饮食喂养的 Sprague-Dawley 大鼠脂多糖诱导的肝炎症。
Int J Environ Res Public Health. 2021 Oct 19;18(20):10986. doi: 10.3390/ijerph182010986.
6
Candidate gene screening for lipid deposition using combined transcriptomic and proteomic data from Nanyang black pigs.利用南阳黑猪转录组和蛋白质组联合数据进行脂质沉积候选基因筛选。
BMC Genomics. 2021 Jun 12;22(1):441. doi: 10.1186/s12864-021-07764-2.
7
ELECTROACUPUNCTURE IMPROVES INSULIN SENSITIVITY IN HIGH-FAT DIET-INDUCED INSULIN RESISTANT RATS BY ACTIVATING SIRT1 AND GLUT4 IN QUADRICEPS FEMORIS.电针通过激活股四头肌中的SIRT1和GLUT4改善高脂饮食诱导的胰岛素抵抗大鼠的胰岛素敏感性。
Acta Endocrinol (Buchar). 2020 Jul-Sep;16(3):280-287. doi: 10.4183/aeb.2020.280.
8
Effect of vegetable oils with different fatty acid composition on high-fat diet-induced obesity and colon inflammation.不同脂肪酸组成的植物油对高脂饮食诱导的肥胖和结肠炎症的影响。
Nutr Res Pract. 2020 Oct;14(5):425-437. doi: 10.4162/nrp.2020.14.5.425. Epub 2020 May 26.
9
Pharmacokinetic and metabolomic analyses of Mangiferin calcium salt in rat models of type 2 diabetes and non-alcoholic fatty liver disease.芒果苷钙盐在2型糖尿病和非酒精性脂肪性肝病大鼠模型中的药代动力学和代谢组学分析
BMC Pharmacol Toxicol. 2020 Aug 6;21(1):59. doi: 10.1186/s40360-020-00438-x.
10
Twelve-month Studies on Oil Intake in Japanese Adults-Possible Supplement for Mental Health.日本成年人食用油摄入量的为期一年的研究——对心理健康的潜在补充作用
Foods. 2020 Apr 22;9(4):530. doi: 10.3390/foods9040530.
大鼠喂养低碳水化合物高脂肪饮食后葡萄糖耐量受损。
Am J Physiol Endocrinol Metab. 2013 Nov 1;305(9):E1059-70. doi: 10.1152/ajpendo.00208.2013. Epub 2013 Aug 27.
4
Obesity and insulin resistance induce early development of diastolic dysfunction in young female mice fed a Western diet.肥胖和胰岛素抵抗导致喂食西式饮食的年轻雌性小鼠早期出现舒张功能障碍。
Endocrinology. 2013 Oct;154(10):3632-42. doi: 10.1210/en.2013-1256. Epub 2013 Jul 24.
5
Alternative sources of omega-3 fats: can we find a sustainable substitute for fish?ω-3 脂肪的替代来源:我们能否找到一种可持续的鱼类替代品?
Nutrients. 2013 Apr 18;5(4):1301-15. doi: 10.3390/nu5041301.
6
Signaling molecules involved in lipid-induced pancreatic beta-cell dysfunction.脂质诱导的胰腺β细胞功能障碍相关信号分子。
DNA Cell Biol. 2013 Feb;32(2):41-9. doi: 10.1089/dna.2012.1874.
7
α-Linolenic acid suppresses cholesterol and triacylglycerol biosynthesis pathway by suppressing SREBP-2, SREBP-1a and -1c expression.α-亚麻酸通过抑制 SREBP-2、SREBP-1a 和 -1c 的表达来抑制胆固醇和三酰甘油生物合成途径。
Cytotechnology. 2013 Dec;65(6):899-907. doi: 10.1007/s10616-012-9510-x. Epub 2012 Nov 9.
8
Effects of ALA, EPA and DHA in high-carbohydrate, high-fat diet-induced metabolic syndrome in rats.ALA、EPA 和 DHA 对高糖高脂饮食诱导的大鼠代谢综合征的影响。
J Nutr Biochem. 2013 Jun;24(6):1041-52. doi: 10.1016/j.jnutbio.2012.07.014. Epub 2012 Sep 29.
9
Effects of a rapeseed oil-enriched hypoenergetic diet with a high content of α-linolenic acid on body weight and cardiovascular risk profile in patients with the metabolic syndrome.富含α-亚麻酸的油菜籽油低能量饮食对代谢综合征患者体重和心血管风险特征的影响。
Br J Nutr. 2012 Aug;108(4):682-91. doi: 10.1017/S0007114512002875.
10
Obesity is mediated by differential aryl hydrocarbon receptor signaling in mice fed a Western diet.肥胖是由西方饮食喂养的小鼠中差异的芳香烃受体信号传导介导的。
Environ Health Perspect. 2012 Sep;120(9):1252-9. doi: 10.1289/ehp.1205003. Epub 2012 May 18.