• 文献检索
  • 文档翻译
  • 深度研究
  • 学术资讯
  • Suppr Zotero 插件Zotero 插件
  • 邀请有礼
  • 套餐&价格
  • 历史记录
应用&插件
Suppr Zotero 插件Zotero 插件浏览器插件Mac 客户端Windows 客户端微信小程序
定价
高级版会员购买积分包购买API积分包
服务
文献检索文档翻译深度研究API 文档MCP 服务
关于我们
关于 Suppr公司介绍联系我们用户协议隐私条款
关注我们

Suppr 超能文献

核心技术专利:CN118964589B侵权必究
粤ICP备2023148730 号-1Suppr @ 2026

文献检索

告别复杂PubMed语法,用中文像聊天一样搜索,搜遍4000万医学文献。AI智能推荐,让科研检索更轻松。

立即免费搜索

文件翻译

保留排版,准确专业,支持PDF/Word/PPT等文件格式,支持 12+语言互译。

免费翻译文档

深度研究

AI帮你快速写综述,25分钟生成高质量综述,智能提取关键信息,辅助科研写作。

立即免费体验

左心室功能障碍患者行非体外循环下冠状动脉旁路移植术联合双侧内乳动脉的疗效。

Outcomes of off-pump coronary bypass grafting with the bilateral internal thoracic artery for left ventricular dysfunction.

机构信息

Department of Thoracic and Cardiovascular Surgery, Samsung Medical Center, Sungkyunkwan University School of Medicine, Seoul, Korea.

Department of Thoracic and Cardiovascular Surgery, Seoul Adventist Hospital, Seoul, Korea.

出版信息

J Korean Med Sci. 2014 Jan;29(1):69-75. doi: 10.3346/jkms.2014.29.1.69. Epub 2013 Dec 26.

DOI:10.3346/jkms.2014.29.1.69
PMID:24431908
原文链接:https://pmc.ncbi.nlm.nih.gov/articles/PMC3890479/
Abstract

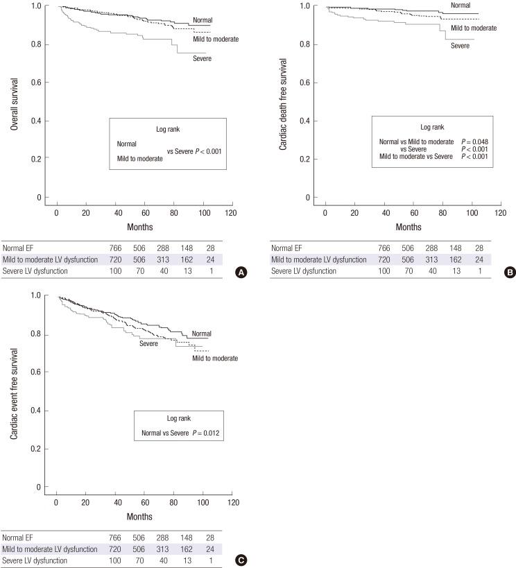
This study evaluated the outcomes of off-pump coronary artery bypass surgery (OPCAB) with severe left ventricular dysfunction using composite bilateral internal thoracic artery grafting. From January 2001 to December 2008, 1,842 patients underwent primary isolated OPCAB with composite bilateral internal thoracic artery grafting. A total of 131 of these patients were diagnosed with a severely depressed preoperative left ventricle ejection fraction (LVEF) (≤ 0.35). These patient outcomes were compared with the outcomes of 830 patients that had mildly or moderately depressed LVEF (0.36 to 0.59) and 881 patients with normal LVEF (>0.6). The early mortality for patients with severe LVEF was 2.3%. The 3-yr and 7-yr survival rate for patients with severe LV dysfunction was 86.0% and 82.8%, respectively. Multivariate analysis showed that severe LV dysfunction EF increased the risk of all-cause death (P=0.012; hazard ratio [HR],2.14; 95% confidence interval [CI],1.19-3.88) and the risk of cardiac-related death (P=0.008; HR,3.38; 95% CI, 1.37-8.341). The study identified positive surgical outcomes of OPCAB, although severe LVEF was associated with two-fold increase in mortality risk compared with patients who had normal LVEF.

摘要

这项研究评估了使用复合双侧内乳动脉移植进行重度左心室功能障碍的不停跳冠状动脉旁路移植术(OPCAB)的结果。2001 年 1 月至 2008 年 12 月,1842 例患者接受了原发性单纯 OPCAB 复合双侧内乳动脉移植。其中 131 例患者术前左心室射血分数(LVEF)严重降低(≤0.35)。将这些患者的结果与 830 例轻度或中度 LVEF 降低(0.36 至 0.59)患者和 881 例 LVEF 正常(>0.6)患者的结果进行比较。严重 LVEF 患者的早期死亡率为 2.3%。严重左心室功能障碍患者的 3 年和 7 年生存率分别为 86.0%和 82.8%。多变量分析显示,严重 LVEF 降低 EF 增加了全因死亡的风险(P=0.012;风险比[HR],2.14;95%置信区间[CI],1.19-3.88)和与心脏相关的死亡风险(P=0.008;HR,3.38;95% CI,1.37-8.341)。研究发现 OPCAB 的手术结果为阳性,尽管与 LVEF 正常的患者相比,严重 LVEF 与死亡率增加两倍相关。

https://cdn.ncbi.nlm.nih.gov/pmc/blobs/e2c2/3890479/dd46223ad768/jkms-29-69-g003.jpg
https://cdn.ncbi.nlm.nih.gov/pmc/blobs/e2c2/3890479/f736a6bf0600/jkms-29-69-g001.jpg
https://cdn.ncbi.nlm.nih.gov/pmc/blobs/e2c2/3890479/2d73e2113541/jkms-29-69-g002.jpg
https://cdn.ncbi.nlm.nih.gov/pmc/blobs/e2c2/3890479/dd46223ad768/jkms-29-69-g003.jpg
https://cdn.ncbi.nlm.nih.gov/pmc/blobs/e2c2/3890479/f736a6bf0600/jkms-29-69-g001.jpg
https://cdn.ncbi.nlm.nih.gov/pmc/blobs/e2c2/3890479/2d73e2113541/jkms-29-69-g002.jpg
https://cdn.ncbi.nlm.nih.gov/pmc/blobs/e2c2/3890479/dd46223ad768/jkms-29-69-g003.jpg

相似文献

1
Outcomes of off-pump coronary bypass grafting with the bilateral internal thoracic artery for left ventricular dysfunction.左心室功能障碍患者行非体外循环下冠状动脉旁路移植术联合双侧内乳动脉的疗效。
J Korean Med Sci. 2014 Jan;29(1):69-75. doi: 10.3346/jkms.2014.29.1.69. Epub 2013 Dec 26.
2
Long-term results following off-pump coronary-artery bypass grafting in left ventricular dysfunction.不停跳冠状动脉旁路移植术治疗左心室功能障碍的长期结果。
Heart Vessels. 2024 Jul;39(7):571-581. doi: 10.1007/s00380-024-02383-9. Epub 2024 Mar 10.
3
Impact of severe left ventricular dysfunction on in-hospital and mid-term outcomes of Chinese patients undergoing first isolated off-pump coronary artery bypass grafting.严重左心室功能不全对首次接受非体外循环冠状动脉旁路移植术的中国患者住院期间及中期预后的影响。
J Cardiothorac Surg. 2017 Oct 10;12(1):87. doi: 10.1186/s13019-017-0651-z.
4
Anaortic off-pump bilateral internal mammary grafting in severe left ventricular dysfunction - Case report.严重左心室功能不全患者非体外循环下主动脉双侧乳内动脉移植术——病例报告
Indian Heart J. 2016 Sep;68 Suppl 2(Suppl 2):S54-S56. doi: 10.1016/j.ihj.2015.03.019. Epub 2015 Apr 27.
5
Early clinical outcomes of on-pump beating-heart versus off-pump technique for surgical revascularization in patients with severe left ventricular dysfunction: the experience of a single center.严重左心室功能不全患者手术血运重建的体外循环心脏跳动与非体外循环技术的早期临床结果:单中心经验
J Cardiothorac Surg. 2017 Feb 23;12(1):11. doi: 10.1186/s13019-017-0572-x.
6
Off-pump bilateral versus single skeletonized internal thoracic artery grafting in high-risk patients.非体外循环下双侧与单支动脉化游离内乳动脉在高危患者中的应用比较。
Circulation. 2011 Sep 13;124(11 Suppl):S130-4. doi: 10.1161/CIRCULATIONAHA.110.010892.
7
Is the second internal thoracic artery better than the radial artery in total arterial off-pump coronary artery bypass grafting? A propensity score-matched follow-up study.在非体外循环冠状动脉旁路移植术中,第二根胸廓内动脉是否优于桡动脉?一项倾向评分匹配的随访研究。
J Thorac Cardiovasc Surg. 2014 Feb;147(2):632-8. doi: 10.1016/j.jtcvs.2013.02.012. Epub 2013 Apr 6.
8
[Myocardial revascularization among patients with severe left ventricular dysfunction: a comparison between on-pump beating-heart and off-pump coronary artery bypass grafting].重度左心室功能不全患者的心肌血运重建:体外循环心脏跳动与非体外循环冠状动脉搭桥术的比较
Zhonghua Wai Ke Za Zhi. 2018 Apr 1;56(4):294-298. doi: 10.3760/cma.j.issn.0529-5815.2018.E010.
9
Early and midterm outcome after off-pump coronary artery bypass grafting in patients with left ventricular dysfunction.左心室功能不全患者非体外循环冠状动脉旁路移植术后的早期和中期结果
Heart Surg Forum. 2004;7(6):E539-45; discussion E539-45. doi: 10.1532/HSF98.20041115.
10
Off-pump bilateral skeletonized internal thoracic artery grafting in elderly patients.老年患者非体外循环双侧游离内乳动脉桥移植。
Ann Thorac Surg. 2012 Feb;93(2):531-6. doi: 10.1016/j.athoracsur.2011.09.077. Epub 2011 Dec 23.

引用本文的文献

1
Anaortic off-pump bilateral internal mammary grafting in severe left ventricular dysfunction - Case report.严重左心室功能不全患者非体外循环下主动脉双侧乳内动脉移植术——病例报告
Indian Heart J. 2016 Sep;68 Suppl 2(Suppl 2):S54-S56. doi: 10.1016/j.ihj.2015.03.019. Epub 2015 Apr 27.
2
Anaortic total arterial OPCAB - Panacea to all ills?非体外循环全动脉化不停跳冠状动脉搭桥术——能包治百病吗?
Indian Heart J. 2015 May-Jun;67(3):196-200. doi: 10.1016/j.ihj.2015.05.009. Epub 2015 Jun 13.

本文引用的文献

1
Incidence of, predictors for, and mortality associated with malignant ventricular arrhythmias in non-ST elevation myocardial infarction patients.非ST段抬高型心肌梗死患者恶性室性心律失常的发生率、预测因素及相关死亡率。
Coron Artery Dis. 2010 Dec;21(8):460-5. doi: 10.1097/MCA.0b013e32834022fa.
2
Off-pump coronary artery bypass in severe left ventricular dysfunction.
Asian Cardiovasc Thorac Ann. 2009 Jan;17(1):54-8. doi: 10.1177/0218492309102540.
3
Long-term outcome of coronary artery bypass grafting in patients with left ventricular dysfunction.左心室功能不全患者冠状动脉搭桥术的长期预后
Ann Thorac Surg. 2009 May;87(5):1401-7. doi: 10.1016/j.athoracsur.2009.02.062.
4
Coronary bypass surgery with or without surgical ventricular reconstruction.伴有或不伴有手术性心室重建的冠状动脉搭桥手术。
N Engl J Med. 2009 Apr 23;360(17):1705-17. doi: 10.1056/NEJMoa0900559. Epub 2009 Mar 29.
5
Survival after isolated coronary artery bypass grafting in patients with severe left ventricular dysfunction.严重左心室功能不全患者单纯冠状动脉旁路移植术后的生存情况。
Ann Thorac Surg. 2009 Apr;87(4):1106-12. doi: 10.1016/j.athoracsur.2008.12.081.
6
Total arterial revascularization in triple-vessel disease with off-pump and aortic no-touch technique.采用非体外循环和主动脉免接触技术对三支血管病变进行全动脉血运重建。
Ann Thorac Surg. 2008 Dec;86(6):1861-5. doi: 10.1016/j.athoracsur.2008.06.025.
7
Routine use of bilateral skeletonized internal thoracic artery grafting: long-term results.双侧骨骼化胸廓内动脉移植的常规应用:长期结果
Circulation. 2008 Aug 12;118(7):705-12. doi: 10.1161/CIRCULATIONAHA.107.756676. Epub 2008 Jul 28.
8
Double vs single internal thoracic artery harvesting in diabetic patients: role in perioperative infection rate.糖尿病患者双侧与单侧胸廓内动脉采集:对围手术期感染率的影响
J Cardiothorac Surg. 2008 Jun 23;3:35. doi: 10.1186/1749-8090-3-35.
9
Results and predictors of early and late outcome of coronary artery bypass grafting in patients with severely depressed left ventricular function.左心室功能严重受损患者冠状动脉搭桥术早期和晚期结果及其预测因素
Ann Thorac Surg. 2007 Sep;84(3):808-16. doi: 10.1016/j.athoracsur.2007.04.117.
10
Revascularization in severe left ventricular dysfunction: outcome comparison of drug-eluting stent implantation versus coronary artery by-pass grafting.严重左心室功能不全的血运重建:药物洗脱支架植入与冠状动脉旁路移植术的疗效比较
Catheter Cardiovasc Interv. 2007 Jul 1;70(1):26-33. doi: 10.1002/ccd.21072.