Suppr超能文献

乙酰唑胺对失代偿性慢性阻塞性肺疾病患者呼吸作用的群体药效学建模与模拟

Population pharmacodynamic modeling and simulation of the respiratory effect of acetazolamide in decompensated COPD patients.

作者信息

Heming Nicholas, Urien Saïk, Fulda Virginie, Meziani Ferhat, Gacouin Arnaud, Clavel Marc, Planquette Benjamin, Faisy Christophe

机构信息

Service de Réanimation Médicale, Hôpital Européen Georges Pompidou, Université Paris Descartes, Sorbonne Paris Cité, Assistance Publique-Hôpitaux de Paris, Paris, France.

CIC-01109 Cochin-Necker INSERM, Unité de Recherche Clinique, Hôpital Tarnier, Université Paris Descartes, Sorbonne Paris Cité, Assistance Publique-Hôpitaux de Paris, Paris, France.

出版信息

PLoS One. 2014 Jan 17;9(1):e86313. doi: 10.1371/journal.pone.0086313. eCollection 2014.

Abstract

BACKGROUND

Chronic obstructive pulmonary disease (COPD) patients may develop metabolic alkalosis during weaning from mechanical ventilation. Acetazolamide is one of the treatments used to reverse metabolic alkalosis.

METHODS

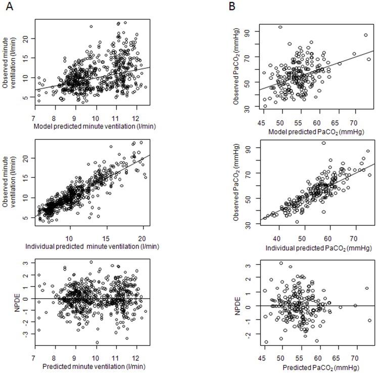
619 time-respiratory (minute ventilation, tidal volume and respiratory rate) and 207 time-PaCO2 observations were obtained from 68 invasively ventilated COPD patients. We modeled respiratory responses to acetazolamide in mechanically ventilated COPD patients and then simulated the effect of increased amounts of the drug.

RESULTS

The effect of acetazolamide on minute ventilation and PaCO2 levels was analyzed using a nonlinear mixed effect model. The effect of different ventilatory modes was assessed on the model. Only slightly increased minute ventilation without decreased PaCO2 levels were observed in response to 250 to 500 mg of acetazolamide administered twice daily. Simulations indicated that higher acetazolamide dosage (>1000 mg daily) was required to significantly increase minute ventilation (P<.001 vs pre-acetazolamide administration). Based on our model, 1000 mg per day of acetazolamide would increase minute ventilation by >0.75 L min(-1) in 60% of the population. The model also predicts that 45% of patients would have a decrease of PaCO2>5 mmHg with doses of 1000 mg per day.

CONCLUSIONS

Simulations suggest that COPD patients might benefit from the respiratory stimulant effect after the administration of higher doses of acetazolamide.

摘要

背景

慢性阻塞性肺疾病(COPD)患者在机械通气撤机过程中可能发生代谢性碱中毒。乙酰唑胺是用于纠正代谢性碱中毒的治疗方法之一。

方法

从68例有创通气的COPD患者中获取了619次时间-呼吸(分钟通气量、潮气量和呼吸频率)及207次时间-PaCO₂观察数据。我们对机械通气的COPD患者对乙酰唑胺的呼吸反应进行建模,然后模拟增加药物剂量的效果。

结果

使用非线性混合效应模型分析乙酰唑胺对分钟通气量和PaCO₂水平的影响。在该模型上评估了不同通气模式的影响。每日两次给予250至500mg乙酰唑胺时,仅观察到分钟通气量略有增加,而PaCO₂水平未降低。模拟结果表明,需要更高剂量的乙酰唑胺(>1000mg/天)才能显著增加分钟通气量(与给予乙酰唑胺前相比,P<0.001)。根据我们的模型,每天1000mg乙酰唑胺可使60%的人群分钟通气量增加>0.75L·min⁻¹。该模型还预测,每天给予1000mg剂量时,45%的患者PaCO₂将降低>5mmHg。

结论

模拟结果表明,COPD患者在给予更高剂量的乙酰唑胺后可能会从其呼吸刺激作用中获益。

https://cdn.ncbi.nlm.nih.gov/pmc/blobs/aef1/3895035/9b4b4f7b6075/pone.0086313.g001.jpg

文献AI研究员

20分钟写一篇综述,助力文献阅读效率提升50倍。

立即体验

用中文搜PubMed

大模型驱动的PubMed中文搜索引擎

马上搜索

文档翻译

学术文献翻译模型,支持多种主流文档格式。

立即体验