Suppr超能文献

尿黑酸尿症患者碱化尿液后新型可见光区域吸光度峰值的检测

Detection of novel visible-light region absorbance peaks in the urine after alkalization in patients with alkaptonuria.

作者信息

Tokuhara Yasunori, Shukuya Kenichi, Tanaka Masami, Mouri Mariko, Ohkawa Ryunosuke, Fujishiro Midori, Takahashi Tomoo, Okubo Shigeo, Yokota Hiromitsu, Kurano Makoto, Ikeda Hitoshi, Yamaguchi Seiji, Inagaki Shinobu, Ishige-Wada Mika, Usui Hiromi, Yatomi Yutaka, Shimosawa Tatsuo

机构信息

Department of Clinical Laboratory, The University of Tokyo Hospital, Tokyo, Japan ; The Group of Neurobiology, Division of Health Sciences, Graduate School of Medicine, Osaka University, Osaka, Japan.

Department of Clinical Laboratory, The University of Tokyo Hospital, Tokyo, Japan.

出版信息

PLoS One. 2014 Jan 23;9(1):e86606. doi: 10.1371/journal.pone.0086606. eCollection 2014.

Abstract

BACKGROUND

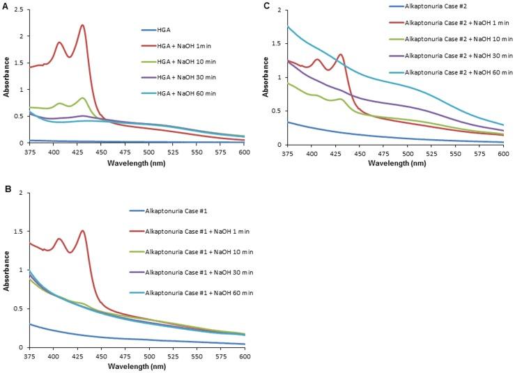
Alkaptonuria, caused by a deficiency of homogentisate 1,2-dioxygenase, results in the accumulation of homogentisic acid (2,5-dihydroxyphenylacetic acid, HGA) in the urine. Alkaptonuria is suspected when the urine changes color after it is left to stand at room temperature for several hours to days; oxidation of homogentisic acid to benzoquinone acetic acid underlies this color change, which is accelerated by the addition of alkali. In an attempt to develop a facile screening test for alkaptonuria, we added alkali to urine samples obtained from patients with alkaptonuria and measured the absorbance spectra in the visible light region.

METHODS

We evaluated the characteristics of the absorption spectra of urine samples obtained from patients with alkaptonuria (n = 2) and compared them with those of urine specimens obtained from healthy volunteers (n = 5) and patients with phenylketonuria (n = 3), and also of synthetic homogentisic acid solution after alkalization. Alkalization of the urine samples and HGA solution was carried out by the addition of NaOH, KOH or NH4OH. The sample solutions were incubated at room temperature for 1 min, followed by measurement of the absorption spectra.

RESULTS

Addition of alkali to alkaptonuric urine yielded characteristic absorption peaks at 406 nm and 430 nm; an identical result was obtained from HGA solution after alkalization. The absorbance values at both 406 nm and 430 nm increased in a time-dependent manner. In addition, the absorbance values at these peaks were greater in strongly alkaline samples (NaOH- KOH-added) as compared with those in weakly alkaline samples (NH4OH-added). In addition, the peaks disappeared following the addition of ascorbic acid to the samples.

CONCLUSIONS

We found two characteristic peaks at 406 nm and 430 nm in both alkaptonuric urine and HGA solution after alkalization. This new quick and easy method may pave the way for the development of an easy method for the diagnosis of alkaptonuria.

摘要

背景

尿黑酸尿症由尿黑酸1,2 -双加氧酶缺乏引起,导致尿中尿黑酸(2,5 -二羟基苯乙酸,HGA)蓄积。当尿液在室温下静置数小时至数天变色时,怀疑患有尿黑酸尿症;尿黑酸氧化为苯醌乙酸是这种颜色变化的基础,添加碱可加速这一变化。为了开发一种简便的尿黑酸尿症筛查试验,我们向尿黑酸尿症患者的尿液样本中添加碱,并测量可见光区域的吸收光谱。

方法

我们评估了尿黑酸尿症患者(n = 2)尿液样本的吸收光谱特征,并将其与健康志愿者(n = 5)和苯丙酮尿症患者(n = 3)的尿液标本以及碱化后的合成尿黑酸溶液的吸收光谱特征进行比较。通过添加NaOH、KOH或NH4OH对尿液样本和HGA溶液进行碱化。将样本溶液在室温下孵育1分钟,然后测量吸收光谱。

结果

向尿黑酸尿症患者的尿液中添加碱后,在406 nm和430 nm处产生特征吸收峰;碱化后的HGA溶液也得到相同结果。406 nm和430 nm处的吸光度值均呈时间依赖性增加。此外,与弱碱性样本(添加NH4OH)相比,强碱性样本(添加NaOH - KOH)中这些峰处的吸光度值更高。此外,向样本中添加抗坏血酸后,这些峰消失。

结论

我们发现碱化后的尿黑酸尿症患者尿液和HGA溶液在406 nm和430 nm处有两个特征峰。这种新的快速简便方法可能为开发一种简便的尿黑酸尿症诊断方法铺平道路。

https://cdn.ncbi.nlm.nih.gov/pmc/blobs/e0df/3900575/60fd39a8b30b/pone.0086606.g001.jpg

文献AI研究员

20分钟写一篇综述,助力文献阅读效率提升50倍。

立即体验

用中文搜PubMed

大模型驱动的PubMed中文搜索引擎

马上搜索

文档翻译

学术文献翻译模型,支持多种主流文档格式。

立即体验