Suppr超能文献

地中海 Xeropicta derbentina [Pulmonata,Hygromiidae] 细胞和生化热反应策略的种内变异。

Intraspecific variation in cellular and biochemical heat response strategies of Mediterranean Xeropicta derbentina [Pulmonata, Hygromiidae].

机构信息

Animal Physiological Ecology, Institute of Evolution and Ecology, Tübingen University, Tübingen, Germany.

Department of Animal Ecology & Systematics, Justus Liebig University Giessen, Giessen, Germany.

出版信息

PLoS One. 2014 Jan 27;9(1):e86613. doi: 10.1371/journal.pone.0086613. eCollection 2014.

Abstract

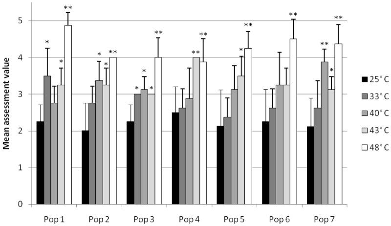
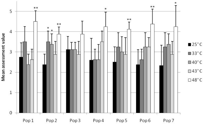
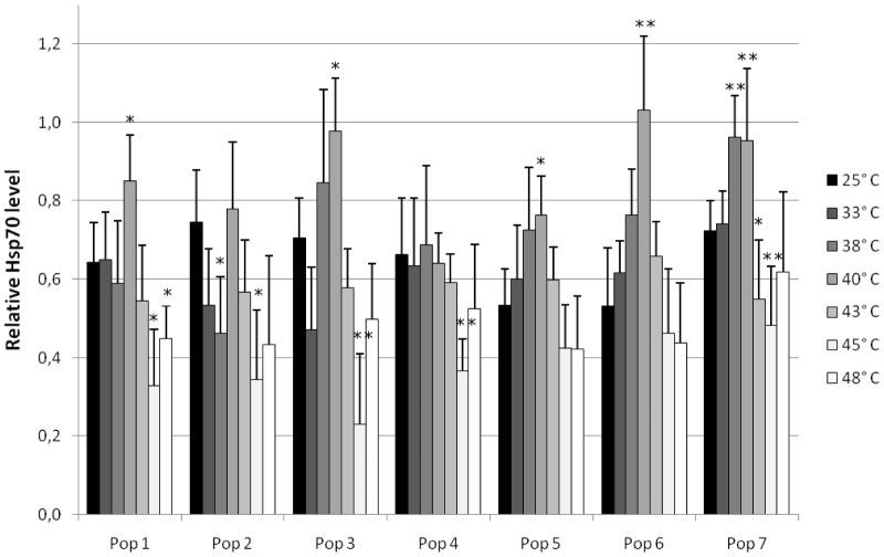
Dry and hot environments challenge the survival of terrestrial snails. To minimize overheating and desiccation, physiological and biochemical adaptations are of high importance for these animals. In the present study, seven populations of the Mediterranean land snail species Xeropicta derbentina were sampled from their natural habitat in order to investigate the intraspecific variation of cellular and biochemical mechanisms, which are assigned to contribute to heat resistance. Furthermore, we tested whether genetic parameters are correlated with these physiological heat stress response patterns. Specimens of each population were individually exposed to elevated temperatures (25 to 52°C) for 8 h in the laboratory. After exposure, the health condition of the snails' hepatopancreas was examined by means of qualitative description and semi-quantitative assessment of histopathological effects. In addition, the heat-shock protein 70 level (Hsp70) was determined. Generally, calcium cells of the hepatopancreas were more heat resistant than digestive cells - this phenomenon was associated with elevated Hsp70 levels at 40°C.We observed considerable variation in the snails' heat response strategy: Individuals from three populations invested much energy in producing a highly elevated Hsp70 level, whereas three other populations invested energy in moderate stress protein levels - both strategies were in association with cellular functionality. Furthermore, one population kept cellular condition stable despite a low Hsp70 level until 40°C exposure, whereas prominent cellular reactions were observed above this thermal limit. Genetic diversity (mitochondrial cytochrome c oxidase subunit I gene) within populations was low. Nevertheless, when using genetic indices as explanatory variables in a multivariate regression tree (MRT) analysis, population structure explained mean differences in cellular and biochemical heat stress responses, especially in the group exposed to 40°C. Our study showed that, even in similar habitats within a close range, populations of the same species use different stress response strategies that all rendered survival possible.

摘要

干燥和炎热的环境对陆生蜗牛的生存构成了挑战。为了最大限度地减少过热和脱水,这些动物具有重要的生理和生化适应能力。在本研究中,从其自然栖息地采集了七个地中海陆地蜗牛物种 Xeropicta derbentina 的种群,以研究与耐热性相关的细胞和生化机制的种内变异。此外,我们还测试了遗传参数是否与这些生理热应激反应模式相关。每个种群的个体标本在实验室中分别暴露于升高的温度(25 至 52°C)下 8 小时。暴露后,通过定性描述和组织病理学效应的半定量评估来检查蜗牛肝胰腺的健康状况。此外,还测定了热休克蛋白 70 水平(Hsp70)。一般来说,肝胰腺的钙细胞比消化细胞更耐热-这种现象与 40°C 时 Hsp70 水平升高有关。我们观察到蜗牛对热的反应策略存在很大差异:三个种群的个体投入大量能量来产生高度升高的 Hsp70 水平,而其他三个种群则将能量投入到适度的应激蛋白水平-这两种策略都与细胞功能有关。此外,尽管 Hsp70 水平低,但一个种群在 40°C 暴露下保持细胞状态稳定,而在超过该热限后则观察到明显的细胞反应。种群内的遗传多样性(线粒体细胞色素 c 氧化酶亚基 I 基因)较低。尽管如此,在使用遗传指数作为多元回归树(MRT)分析的解释变量时,种群结构解释了细胞和生化热应激反应的平均值差异,尤其是在暴露于 40°C 的组中。我们的研究表明,即使在相似的栖息地内,同一物种的种群也使用不同的应激反应策略,所有这些策略都使生存成为可能。

https://cdn.ncbi.nlm.nih.gov/pmc/blobs/8ff2/3903566/44ed1b0753b7/pone.0086613.g001.jpg

文献AI研究员

20分钟写一篇综述,助力文献阅读效率提升50倍。

立即体验

用中文搜PubMed

大模型驱动的PubMed中文搜索引擎

马上搜索

文档翻译

学术文献翻译模型,支持多种主流文档格式。

立即体验