Gründler Katharina, Angstwurm Matthias, Hilge Robert, Baumann Philipp, Annecke Thorsten, Crispin Alexander, Sohn Hae-Young, Massberg Steffen, Kraemer Bjoern F
Crit Care. 2014 Feb 12;18(1):R31. doi: 10.1186/cc13724.
Sepsis is still a leading cause of morbidity and mortality, even in modern times, and thrombocytopenia has been closely associated with unfavorable disease outcome. Decreases in mitochondrial membrane potential (depolarization) were found in different tissues during sepsis. Previous work suggests that mitochondrial dysfunction of platelets correlates with clinical disease activity in sepsis. However, platelet mitochondrial membrane potential (Mmp) has not been investigated in a clinical follow-up design and not with regard to disease outcome.
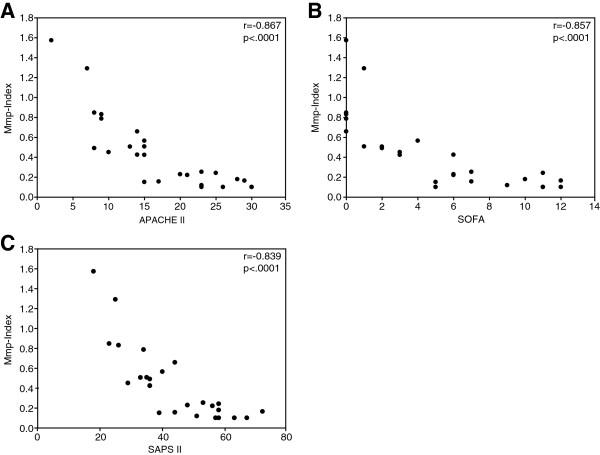
In this study, platelet mitochondrial membrane depolarization was assessed by means of a fluorescent Mmp-Index with flow cytometry in 26 patients with sepsis compared with control patients. Platelet Mmp-Index on admission was correlated with the clinical disease scores Acute Physiology and Chronic Health Evaluation Score II (APACHE II), Sequential Organ Failure Score (SOFA), and Simplified Acute Physiology Score II (SAPS II). Finally, platelet Mmp-Index on admission and follow-up were compared in the group of sepsis survivors and nonsurvivors. Expression of the prosurvival protein Bcl-xL in platelets was quantified by immunoblotting.
Platelet mitochondrial membrane depolarization correlated significantly with the simultaneously assessed clinical disease severity by APACHE II (r = -0.867; P < 0.0001), SOFA (r = -0.857; P <0.0001), and SAPS II score (r = -0.839; P < 0.0001). Patients with severe sepsis showed a significant reduction in platelet Mmp-Index compared with sepsis without organ failure (0.18 (0.12 to 0.25) versus 0.79 (0.49 to 0.85), P < 0.0006) or with the control group (0.18 (0.12 to 0.25) versus 0.89 (0.68 to 1.00), P < 0.0001). Platelet Mmp-Index remained persistently low in sepsis nonsurvivors (0.269 (0.230 to 0.305)), whereas we observed recovery of platelet Mmp-Index in the survivor group (0.9 (0.713 to 1.017)). Furthermore, the level of prosurvival protein Bcl-xL decreased in platelets during severe sepsis.
In this study, we demonstrated that mitochondrial membrane depolarization in platelets correlates with clinical disease severity in patients with sepsis during the disease course and may be a valuable adjunct parameter to aid in the assessment of disease severity, risk stratification, and clinical outcome.
即使在现代,脓毒症仍是发病和死亡的主要原因,血小板减少症一直与不良疾病结局密切相关。在脓毒症期间,不同组织中发现线粒体膜电位降低(去极化)。先前的研究表明,血小板的线粒体功能障碍与脓毒症的临床疾病活动相关。然而,血小板线粒体膜电位(Mmp)尚未在临床随访设计中进行研究,也未涉及疾病结局。
在本研究中,通过流式细胞术使用荧光Mmp指数评估了26例脓毒症患者与对照患者的血小板线粒体膜去极化情况。入院时的血小板Mmp指数与临床疾病评分急性生理与慢性健康评估II评分(APACHE II)、序贯器官衰竭评分(SOFA)和简化急性生理学II评分(SAPS II)相关。最后,比较了脓毒症幸存者和非幸存者组入院时和随访时的血小板Mmp指数。通过免疫印迹法定量血小板中促生存蛋白Bcl-xL的表达。
血小板线粒体膜去极化与同时评估的APACHE II临床疾病严重程度显著相关(r = -0.867;P <0.0001)、SOFA(r = -0.857;P <0.0001)和SAPS II评分(r = -0.839;P <0.0001)。与无器官衰竭的脓毒症患者(0.18(0.12至0.25)对0.79(0.49至0.85),P <0.0006)或对照组(0.18(0.12至0.25)对0.89(0.68至1.00),P <0.0001)相比,严重脓毒症患者的血小板Mmp指数显著降低。脓毒症非幸存者的血小板Mmp指数持续较低(0.269(0.230至0.305)),而我们观察到幸存者组的血小板Mmp指数有所恢复(0.9(0.713至1.017))。此外,在严重脓毒症期间,血小板中促生存蛋白Bcl-xL的水平降低。
在本研究中,我们证明了脓毒症患者疾病过程中血小板线粒体膜去极化与临床疾病严重程度相关,可能是有助于评估疾病严重程度、风险分层和临床结局的有价值的辅助参数。