Bhattacharya Soumee, Haertel Christin, Maelicke Alfred, Montag Dirk
Neurogenetics Special Laboratory, Leibniz Institute for Neurobiology, Magdeburg, Germany.
Galantos Pharma GmbH, Nieder-Olm, Germany.
PLoS One. 2014 Feb 21;9(2):e89454. doi: 10.1371/journal.pone.0089454. eCollection 2014.
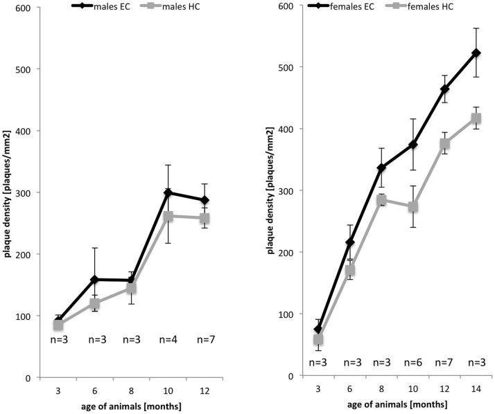
The plant alkaloid galantamine is an established symptomatic drug treatment for Alzheimer's disease (AD), providing temporary cognitive and global relief in human patients. In this study, the 5X Familial Alzheimer's Disease (5XFAD) mouse model was used to investigate the effect of chronic galantamine treatment on behavior and amyloid β (Aβ) plaque deposition in the mouse brain. Quantification of plaques in untreated 5XFAD mice showed a gender specific phenotype; the plaque density increased steadily reaching saturation in males after 10 months of age, whereas in females the density further increased until after 14 months of age. Moreover, females consistently displayed a higher plaque density in comparison to males of the same age. Chronic oral treatment with galantamine resulted in improved performance in behavioral tests, such as open field and light-dark avoidance, already at mildly affected stages compared to untreated controls. Treated animals of both sexes showed significantly lower plaque density in the brain, i.e., the entorhinal cortex and hippocampus, gliosis being always positively correlated to plaque load. A high dose treatment with a daily uptake of 26 mg/kg body weight was tolerated well and produced significantly larger positive effects than a lower dose treatment (14 mg/kg body weight) in terms of plaque density and behavior. These results strongly support that galantamine, in addition to improving cognitive and behavioral symptoms in AD, may have disease-modifying and neuroprotective properties, as is indicated by delayed Aβ plaque formation and reduced gliosis.
植物生物碱加兰他敏是一种已被认可的用于治疗阿尔茨海默病(AD)的对症药物,能为人类患者提供暂时的认知和整体症状缓解。在本研究中,使用5倍家族性阿尔茨海默病(5XFAD)小鼠模型来研究长期给予加兰他敏治疗对小鼠行为及大脑中淀粉样β(Aβ)斑块沉积的影响。对未经治疗的5XFAD小鼠的斑块进行定量分析显示出一种性别特异性表型;斑块密度稳步增加,雄性小鼠在10月龄后达到饱和,而雌性小鼠的密度在14月龄后仍进一步增加。此外,与同年龄雄性小鼠相比,雌性小鼠的斑块密度始终更高。与未经治疗的对照组相比,在疾病轻度受影响阶段,长期口服加兰他敏已使旷场和明暗回避等行为测试中的表现得到改善。接受治疗的两性动物大脑中,即内嗅皮质和海马体中的斑块密度均显著降低,神经胶质增生始终与斑块负荷呈正相关。每日摄取26 mg/kg体重的高剂量治疗耐受性良好,并且在斑块密度和行为方面产生的积极效果明显大于低剂量治疗(14 mg/kg体重)。这些结果有力地支持了加兰他敏除了改善AD患者的认知和行为症状外,可能还具有疾病修饰和神经保护特性,这表现为Aβ斑块形成延迟和神经胶质增生减少。