Suppr超能文献

银杏叶对噪声诱导的小鼠暂时性阈移听力的影响。

The effect of gingko biloba on hearing in mice with noise-induced temporary threshold shift.

作者信息

Lee Ji-Won, Shim Byoung Soo, Chung Jong Woo

机构信息

Asan Institute For Life Science, Asan Medical Center, University of Ulsan College of Medicine, Seoul, Korea. ; Department of Otorhinolaryngology-Head and Neck Surgery, Asan Medical Center, University of Ulsan College of Medicine, Seoul, Korea.

Department of Otorhinolaryngology-Head and Neck Surgery, Asan Medical Center, University of Ulsan College of Medicine, Seoul, Korea.

出版信息

Korean J Audiol. 2013 Sep;17(2):74-7. doi: 10.7874/kja.2013.17.2.74. Epub 2013 Sep 24.

Abstract

BACKGROUND AND OBJECTIVES

Gingko biloba extract is known for enhancing blood circulation, scavenging free radicals, and antagonizing against platelet-activating factor. This study evaluated the effect of Gingko biloba on the noise-induced temporary threshold shift of hearing.

MATERIALS AND METHODS

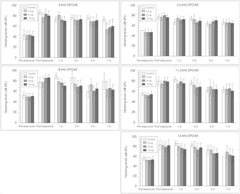
Temporary threshold shift was induced by exposing mice to 110 dB SPL sound for 1 hour. The experimental group consisted of mice fed Gingko biloba [3 mg/kg, 6 mg/kg, and 12 mg/kg in 0.5% carboxymethyl cellulose (CMC)] for 7 days before noise exposure. CMC solution without Gingko biloba was fed to control mice. Hearing threshold was measured by auditory brainstem response (ABR) and distortion product otoacoustic emission (DPOAE).

RESULTS

The hearing threshold increased after noise exposure and recovered to normal within 5 days in all groups. Compared to control mice (fed CMC solution only), mice fed Gingko biloba showed more rapid recovery of ABR threshold at 16 kHz in all three experimental groups. At the other frequencies, there was no significant change in hearing recovery in the Gingko biloba groups. There was no difference in DPOAE between groups.

CONCLUSIONS

Temporary threshold shift of hearing after noise exposure was partly affected by oral Gingko biloba.

摘要

背景与目的

银杏叶提取物以促进血液循环、清除自由基和拮抗血小板活化因子而闻名。本研究评估了银杏叶对噪声诱导的听力暂时阈移的影响。

材料与方法

通过将小鼠暴露于110 dB SPL的声音1小时来诱导暂时阈移。实验组由在噪声暴露前7天喂食银杏叶[3毫克/千克、6毫克/千克和12毫克/千克,溶于0.5%羧甲基纤维素(CMC)]的小鼠组成。给对照小鼠喂食不含银杏叶的CMC溶液。通过听性脑干反应(ABR)和畸变产物耳声发射(DPOAE)测量听力阈值。

结果

噪声暴露后所有组的听力阈值均升高,并在5天内恢复正常。与对照小鼠(仅喂食CMC溶液)相比,在所有三个实验组中,喂食银杏叶的小鼠在16 kHz处的ABR阈值恢复更快。在其他频率,银杏叶组的听力恢复没有显著变化。各组之间的DPOAE没有差异。

结论

噪声暴露后听力的暂时阈移部分受口服银杏叶的影响。

https://cdn.ncbi.nlm.nih.gov/pmc/blobs/10a8/3936537/2f262920a43d/kja-17-74-g001.jpg

文献AI研究员

20分钟写一篇综述,助力文献阅读效率提升50倍。

立即体验

用中文搜PubMed

大模型驱动的PubMed中文搜索引擎

马上搜索

文档翻译

学术文献翻译模型,支持多种主流文档格式。

立即体验