Suppr超能文献

一种联合指数,用于对接受根治性前列腺切除术的候选者的预后合并症进行分类。

A combined index to classify prognostic comorbidity in candidates for radical prostatectomy.

机构信息

Departments of Urology, University Hospital "Carl Gustav Carus", Technische Universität Dresden, Dresden, Fetscherstrasse 74, D-01307 Dresden, Germany.

出版信息

BMC Urol. 2014 Mar 29;14:28. doi: 10.1186/1471-2490-14-28.

Abstract

BACKGROUND

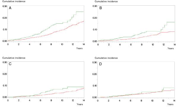
In patients with early prostate cancer, stratification by comorbidity could be of importance in clinical decision making as well as in characterizing patients enrolled into clinical trials. In this study, we investigated several comorbidity classifications as predictors of overall mortality after radical prostatectomy, searching for measures providing complementary prognostic information which could be combined into a single score.

METHODS

The study sample consisted of 2205 consecutive patients selected for radical prostatectomy with a mean age of 64 years and a mean follow-up of 9.2 years (median: 8.6). Seventy-four patients with incomplete tumor-related data were excluded. In addition to age and tumor-related parameters, six comorbidity classifications and the body mass index were assessed as possible predictors of overall mortality. Kaplan-Meier curves and Mantel-Haenszel hazard ratios were used for univariate analysis. The impact of different causes of death was analyzed by competing risk analysis. Cox proportional hazard models were calculated to analyze combined effects of variables.

RESULTS

Age, Gleason score, tumor stage, Charlson score, American Society of Anesthesiologists (ASA) physical status class and body mass index were identified a significant predictors of overall mortality in the multivariate analysis regardless whether two-sided and three-sided stratifications were used. Competing risk analysis revealed that the excess mortality in patients with a body mass index of 30 kg/m2 or higher was attributable to competing mortality including second cancers, but not to prostate cancer mortality.

CONCLUSION

Stratifying patients by a combined consideration of the comorbidity measures Charlson score, ASA classification and body mass index may assist clinical decision making in elderly candidates for radical prostatectomy.

摘要

背景

在早期前列腺癌患者中,根据合并症进行分层对于临床决策以及描述入组临床试验的患者都很重要。在这项研究中,我们研究了几种合并症分类作为根治性前列腺切除术后总死亡率的预测因素,寻找能提供互补预后信息的指标,将其组合成一个单一的评分。

方法

研究样本由 2205 例连续选择接受根治性前列腺切除术的患者组成,平均年龄为 64 岁,平均随访时间为 9.2 年(中位数:8.6 年)。排除了 74 例肿瘤相关数据不完整的患者。除了年龄和肿瘤相关参数外,还评估了 6 种合并症分类和体重指数作为总死亡率的可能预测因素。Kaplan-Meier 曲线和 Mantel-Haenszel 风险比用于单变量分析。通过竞争风险分析分析不同死亡原因的影响。计算 Cox 比例风险模型以分析变量的综合效应。

结果

在多变量分析中,年龄、Gleason 评分、肿瘤分期、Charlson 评分、美国麻醉医师协会(ASA)身体状况分类和体重指数被确定为总死亡率的显著预测因素,无论使用双侧和三边分层。竞争风险分析显示,体重指数为 30 kg/m2 或更高的患者的超额死亡率归因于包括第二癌症在内的竞争死亡,但与前列腺癌死亡率无关。

结论

综合考虑合并症指标 Charlson 评分、ASA 分类和体重指数对患者进行分层可能有助于老年根治性前列腺切除术候选者的临床决策。

https://cdn.ncbi.nlm.nih.gov/pmc/blobs/3230/3986600/73cde37756ff/1471-2490-14-28-1.jpg

相似文献

3
An easily applicable single condition-based mortality index for patients undergoing radical prostatectomy or radical cystectomy.
Urol Oncol. 2017 Jan;35(1):32.e17-32.e23. doi: 10.1016/j.urolonc.2016.07.008. Epub 2016 Aug 9.
4
[The significance of comorbidity and age in radical prostatectomy].
Urologe A. 2004 Aug;43(8):935-41. doi: 10.1007/s00120-004-0640-4.
6
Detailed analysis of Charlson comorbidity score as predictor of mortality after radical prostatectomy.
Urology. 2008 Dec;72(6):1252-7. doi: 10.1016/j.urology.2008.05.037. Epub 2008 Aug 23.
7
Which comorbidity classification best fits elderly candidates for radical prostatectomy?
Urol Oncol. 2013 May;31(4):461-7. doi: 10.1016/j.urolonc.2011.03.002. Epub 2011 Apr 16.
9
Predicting Competing Mortality in Patients Undergoing Radical Prostatectomy Aged 70 yr or Older.
Eur Urol. 2017 May;71(5):710-713. doi: 10.1016/j.eururo.2016.10.022. Epub 2016 Oct 25.
10
Feasibility and limitations of comorbidity measurement in patients undergoing radical prostatectomy.
Eur Urol. 2005 Feb;47(2):190-5; discussion 195. doi: 10.1016/j.eururo.2004.07.031.

引用本文的文献

1
Association between adiposity after diagnosis of prostate cancer and mortality: systematic review and meta-analysis.
BMJ Med. 2023 Jun 25;2(1):e000339. doi: 10.1136/bmjmed-2022-000339. eCollection 2023.
2
Robot-assisted versus open radical prostatectomy: a systematic review and meta-analysis of prospective studies.
J Robot Surg. 2023 Dec;17(6):2617-2631. doi: 10.1007/s11701-023-01714-8. Epub 2023 Sep 18.
3
Validation of the prostate cancer comorbidity index in predicting cause-specific mortality in men undergoing radical prostatectomy.
Prostate Cancer Prostatic Dis. 2023 Dec;26(4):715-721. doi: 10.1038/s41391-022-00550-5. Epub 2022 Jun 6.
5
Association of Obesity With Survival Outcomes in Patients With Cancer: A Systematic Review and Meta-analysis.
JAMA Netw Open. 2021 Mar 1;4(3):e213520. doi: 10.1001/jamanetworkopen.2021.3520.
7
Prostate cancer: Estimated life expectancy: integration of age and comorbidities.
Nat Rev Urol. 2016 Nov;13(11):634-635. doi: 10.1038/nrurol.2016.203. Epub 2016 Oct 18.
8
The implications of ageing and life expectancy in prostate cancer treatment.
Nat Rev Urol. 2016 May;13(5):289-95. doi: 10.1038/nrurol.2016.52. Epub 2016 Mar 22.
9
Body mass index and mortality in prostate cancer patients: a dose-response meta-analysis.
Prostate Cancer Prostatic Dis. 2016 Jun;19(2):122-31. doi: 10.1038/pcan.2015.64. Epub 2016 Jan 12.

本文引用的文献

1
EAU guidelines on prostate cancer. part 1: screening, diagnosis, and local treatment with curative intent-update 2013.
Eur Urol. 2014 Jan;65(1):124-37. doi: 10.1016/j.eururo.2013.09.046. Epub 2013 Oct 6.
4
Overdiagnosis of prostate cancer.
J Natl Cancer Inst Monogr. 2012 Dec;2012(45):146-51. doi: 10.1093/jncimonographs/lgs031.
7
Which patients are at the highest risk of dying from competing causes ≤ 10 years after radical prostatectomy?
BJU Int. 2012 Jul;110(2):206-10. doi: 10.1111/j.1464-410X.2011.10693.x. Epub 2011 Nov 1.
8
Improved prediction of long-term, other cause mortality in men with prostate cancer.
J Urol. 2011 Nov;186(5):1868-73. doi: 10.1016/j.juro.2011.07.033. Epub 2011 Sep 23.
10
Prediction of mortality after radical prostatectomy by Charlson comorbidity index.
Urology. 2010 Sep;76(3):553-7. doi: 10.1016/j.urology.2010.02.069.

文献AI研究员

20分钟写一篇综述,助力文献阅读效率提升50倍。

立即体验

用中文搜PubMed

大模型驱动的PubMed中文搜索引擎

马上搜索

文档翻译

学术文献翻译模型,支持多种主流文档格式。

立即体验