Suppr超能文献

胶原蛋白VIα3在胃癌中的过表达。

Overexpression of collagen VI α3 in gastric cancer.

作者信息

Xie Xiaojun, Liu Xiaosun, Zhang Qing, Yu Jiren

机构信息

Department of Gastrointestinal Surgery, The First Affiliated Hospital, School of Medicine, Zhejiang University, Hangzhou, Zhejiang 310003, P.R. China.

出版信息

Oncol Lett. 2014 May;7(5):1537-1543. doi: 10.3892/ol.2014.1910. Epub 2014 Feb 25.

Abstract

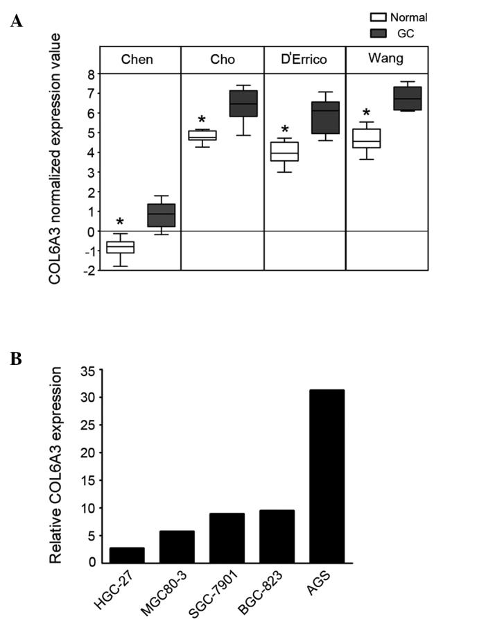
Collagen VI is significant in the progression of numerous types of cancer. Type VI collagen consists of three α-chains and collagen VI α3 (COL6A3) encodes the α3 chain. The overexpression of COL6A3 has been demonstrated to correlate with high-grade ovarian cancer and contributes to cisplatin resistance; however, its role in human gastric cancer (GC) remains unclear. Using microarray meta-analysis, COL6A3 was observed to be frequently overexpressed in the GC tissues, furthermore, this overexpression was identified in five GC cell lines. A microarray-based co-expression network analysis was conducted and identified a total of 62 genes that were co-expressed with COL6A3, with the majority of the genes being involved in cancer-related processes, such as cell differentiation, migration and adhesion. Network analysis of these 62 genes demonstrated that fibronectin 1, a well-characterized oncogene, was located at the center of the COL6A3 co-expression network. Therefore, COL6A3 may act as an oncogene in human GC and the antagonism of COL6A3 may be an effective therapeutic treatment for GC.

摘要

胶原蛋白VI在多种癌症的进展中具有重要意义。VI型胶原蛋白由三条α链组成,胶原蛋白VIα3(COL6A3)编码α3链。已证明COL6A3的过表达与高级别卵巢癌相关,并导致顺铂耐药;然而,其在人类胃癌(GC)中的作用仍不清楚。通过微阵列荟萃分析,观察到COL6A3在GC组织中频繁过表达,此外,在五种GC细胞系中也发现了这种过表达。进行了基于微阵列的共表达网络分析,共鉴定出6与COL6A3共表达的2个基因,其中大多数基因参与癌症相关过程,如细胞分化、迁移和黏附。对这62个基因的网络分析表明,纤连蛋白1(一种特征明确的癌基因)位于COL6A3共表达网络的中心。因此,COL6A3可能在人类GC中作为癌基因发挥作用,拮抗COL6A3可能是GC的一种有效治疗方法。

https://cdn.ncbi.nlm.nih.gov/pmc/blobs/6b9a/3997710/e4c5bc8683c1/OL-07-05-1537-g00.jpg

文献检索

告别复杂PubMed语法,用中文像聊天一样搜索,搜遍4000万医学文献。AI智能推荐,让科研检索更轻松。

立即免费搜索

文件翻译

保留排版,准确专业,支持PDF/Word/PPT等文件格式,支持 12+语言互译。

免费翻译文档

深度研究

AI帮你快速写综述,25分钟生成高质量综述,智能提取关键信息,辅助科研写作。

立即免费体验