• 文献检索
  • 文档翻译
  • 深度研究
  • 学术资讯
  • Suppr Zotero 插件Zotero 插件
  • 邀请有礼
  • 套餐&价格
  • 历史记录
应用&插件
Suppr Zotero 插件Zotero 插件浏览器插件Mac 客户端Windows 客户端微信小程序
定价
高级版会员购买积分包购买API积分包
服务
文献检索文档翻译深度研究API 文档MCP 服务
关于我们
关于 Suppr公司介绍联系我们用户协议隐私条款
关注我们

Suppr 超能文献

核心技术专利:CN118964589B侵权必究
粤ICP备2023148730 号-1Suppr @ 2026

文献检索

告别复杂PubMed语法,用中文像聊天一样搜索,搜遍4000万医学文献。AI智能推荐,让科研检索更轻松。

立即免费搜索

文件翻译

保留排版,准确专业,支持PDF/Word/PPT等文件格式,支持 12+语言互译。

免费翻译文档

深度研究

AI帮你快速写综述,25分钟生成高质量综述,智能提取关键信息,辅助科研写作。

立即免费体验

与安第斯彩色马铃薯收集物多酚组成生物合成相关的基因。

Relating genes in the biosynthesis of the polyphenol composition of Andean colored potato collection.

机构信息

School of Chemistry Faculty of Pure and Natural Sciences, San Andrés University P.O. Box 303, La Paz, Bolivia ; Food Colloids Group Department of Food Technology, Engineering and Nutrition, Lund University P.O. Box 124, S-221 00, Lund, Sweden.

School of Chemistry Faculty of Pure and Natural Sciences, San Andrés University P.O. Box 303, La Paz, Bolivia.

出版信息

Food Sci Nutr. 2014 Jan;2(1):46-57. doi: 10.1002/fsn3.69. Epub 2013 Dec 18.

DOI:10.1002/fsn3.69
PMID:24804064
原文链接:https://pmc.ncbi.nlm.nih.gov/articles/PMC3951550/
Abstract

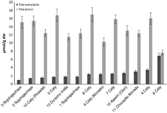
The objective of this study was to evaluate total antioxidant capacity (TAC), total phenolic content (TPH), and the identification of anthocyanidin and polyphenolic compounds in 13 colored potatoes collected from the Andean region of Bolivia, and understand how the chemical composition correlated with the botanical classification and molecular characterization of genes, ans (anthocyanidin synthase) and stan1 (Solanum tuberosum anthocyanidin synthase), associated with the synthesis of anthocyanidins. The results show the existence of a limited correlation between botanical classification, based on morphological identification and polyphenol composition. No association between genetic grouping of the ans and stan genes and botanical classification was found. However, it was possible to identify a correlation between the ans gene clades and the levels of anthocyanidins as well as of other polyphenols. Thus, this result confirms the concept that potato color can be used in the search for high polyphenol potato cultivars.

摘要

本研究旨在评估来自玻利维亚安第斯地区的 13 种彩色马铃薯的总抗氧化能力 (TAC)、总酚含量 (TPH),并鉴定花色苷和多酚类化合物,同时了解化学成分与基于形态鉴定的植物分类学和与花色苷合成相关的基因 ans(花色苷合酶)和 stan1(Solanum tuberosum anthocyanidin synthase)的分子特征之间的相关性。结果表明,基于形态鉴定和多酚组成的植物分类学之间存在一定的相关性。ans 和 stan 基因的遗传分组与植物分类学之间没有发现关联。然而,ans 基因进化枝与花色苷水平以及其他多酚类物质之间的相关性是可以识别的。因此,这一结果证实了这样一种概念,即马铃薯的颜色可用于寻找高多酚类马铃薯品种。

https://cdn.ncbi.nlm.nih.gov/pmc/blobs/9155/3951550/9bba2575277e/fsn30002-0046-f10.jpg
https://cdn.ncbi.nlm.nih.gov/pmc/blobs/9155/3951550/0d534907441e/fsn30002-0046-f1.jpg
https://cdn.ncbi.nlm.nih.gov/pmc/blobs/9155/3951550/8aaa56d7271a/fsn30002-0046-f2.jpg
https://cdn.ncbi.nlm.nih.gov/pmc/blobs/9155/3951550/911947ad9e52/fsn30002-0046-f3.jpg
https://cdn.ncbi.nlm.nih.gov/pmc/blobs/9155/3951550/256159ac8f0d/fsn30002-0046-f4.jpg
https://cdn.ncbi.nlm.nih.gov/pmc/blobs/9155/3951550/ff325c164962/fsn30002-0046-f5.jpg
https://cdn.ncbi.nlm.nih.gov/pmc/blobs/9155/3951550/4a3552f83d70/fsn30002-0046-f6.jpg
https://cdn.ncbi.nlm.nih.gov/pmc/blobs/9155/3951550/7fd6c998b44f/fsn30002-0046-f7.jpg
https://cdn.ncbi.nlm.nih.gov/pmc/blobs/9155/3951550/87953c95146e/fsn30002-0046-f8.jpg
https://cdn.ncbi.nlm.nih.gov/pmc/blobs/9155/3951550/aec2c91d2a2d/fsn30002-0046-f9.jpg
https://cdn.ncbi.nlm.nih.gov/pmc/blobs/9155/3951550/9bba2575277e/fsn30002-0046-f10.jpg
https://cdn.ncbi.nlm.nih.gov/pmc/blobs/9155/3951550/0d534907441e/fsn30002-0046-f1.jpg
https://cdn.ncbi.nlm.nih.gov/pmc/blobs/9155/3951550/8aaa56d7271a/fsn30002-0046-f2.jpg
https://cdn.ncbi.nlm.nih.gov/pmc/blobs/9155/3951550/911947ad9e52/fsn30002-0046-f3.jpg
https://cdn.ncbi.nlm.nih.gov/pmc/blobs/9155/3951550/256159ac8f0d/fsn30002-0046-f4.jpg
https://cdn.ncbi.nlm.nih.gov/pmc/blobs/9155/3951550/ff325c164962/fsn30002-0046-f5.jpg
https://cdn.ncbi.nlm.nih.gov/pmc/blobs/9155/3951550/4a3552f83d70/fsn30002-0046-f6.jpg
https://cdn.ncbi.nlm.nih.gov/pmc/blobs/9155/3951550/7fd6c998b44f/fsn30002-0046-f7.jpg
https://cdn.ncbi.nlm.nih.gov/pmc/blobs/9155/3951550/87953c95146e/fsn30002-0046-f8.jpg
https://cdn.ncbi.nlm.nih.gov/pmc/blobs/9155/3951550/aec2c91d2a2d/fsn30002-0046-f9.jpg
https://cdn.ncbi.nlm.nih.gov/pmc/blobs/9155/3951550/9bba2575277e/fsn30002-0046-f10.jpg

相似文献

1
Relating genes in the biosynthesis of the polyphenol composition of Andean colored potato collection.与安第斯彩色马铃薯收集物多酚组成生物合成相关的基因。
Food Sci Nutr. 2014 Jan;2(1):46-57. doi: 10.1002/fsn3.69. Epub 2013 Dec 18.
2
Characterization and quantitation of anthocyanins and other phenolics in native Andean potatoes. characterization and quantitation of anthocyanins and other phenolics in native Andean potatoes.
J Agric Food Chem. 2014 May 14;62(19):4408-16. doi: 10.1021/jf500655n. Epub 2014 May 1.
3
Changes in anthocyanidin levels during the maturation of color-fleshed potato (Solanum tuberosum L.) tubers.花色马铃薯(Solanum tuberosum L.)块茎成熟过程中花色苷含量的变化。
Food Chem. 2017 Dec 15;237:981-988. doi: 10.1016/j.foodchem.2017.05.155. Epub 2017 May 31.
4
Antioxidant Contents and Antioxidant Activities of White and Colored Potatoes (Solanum tuberosum L.).白土豆和彩色土豆(马铃薯)的抗氧化剂含量及抗氧化活性
Prev Nutr Food Sci. 2016 Jun;21(2):110-6. doi: 10.3746/pnf.2016.21.2.110. Epub 2016 Jun 30.
5
Characterisation of five potato cultivars according to their nutritional and pro-health components.根据五种马铃薯品种的营养成分和有益健康成分进行特征描述。
Acta Sci Pol Technol Aliment. 2011 Jan-Mar;10(1):77-81.
6
Antioxidant profiling of native Andean potato tubers (Solanum tuberosum L.) reveals cultivars with high levels of beta-carotene, alpha-tocopherol, chlorogenic acid, and petanin.对安第斯本土马铃薯块茎(茄属马铃薯)的抗氧化剂分析显示,某些品种的β-胡萝卜素、α-生育酚、绿原酸和花青苷含量很高。
J Agric Food Chem. 2007 Dec 26;55(26):10839-49. doi: 10.1021/jf0726583. Epub 2007 Nov 29.
7
Storage elevates phenolic content and antioxidant activity but suppresses antiproliferative and pro-apoptotic properties of colored-flesh potatoes against human colon cancer cell lines.贮藏会提高花色马铃薯的酚类含量和抗氧化活性,但会抑制其对人结肠癌细胞系的增殖抑制和促凋亡作用。
J Agric Food Chem. 2011 Aug 10;59(15):8155-66. doi: 10.1021/jf201073g. Epub 2011 Jul 8.
8
Overexpression of the Anthocyanidin Synthase Gene in Strawberry Enhances Antioxidant Capacity and Cytotoxic Effects on Human Hepatic Cancer Cells.花青素合酶基因在草莓中的过表达增强了对人肝癌细胞的抗氧化能力和细胞毒性作用。
J Agric Food Chem. 2018 Jan 24;66(3):581-592. doi: 10.1021/acs.jafc.7b04177. Epub 2018 Jan 8.
9
Genetic Diversity and Health Properties of Polyphenols in Potato.马铃薯中多酚的遗传多样性与健康特性
Antioxidants (Basel). 2022 Mar 22;11(4):603. doi: 10.3390/antiox11040603.
10
Trypsin inhibitor, antioxidant and antimicrobial activities as well as chemical composition of potato sprouts originating from yellow- and colored-fleshed varieties.黄肉和有色肉品种土豆芽的胰蛋白酶抑制剂、抗氧化和抗菌活性以及化学成分。
J Environ Sci Health B. 2020;55(1):42-51. doi: 10.1080/03601234.2019.1657764. Epub 2019 Aug 27.

引用本文的文献

1
Identification of ANS gene regulating fruit color in jujube (Ziziphus jujuba Mill. cv. Lingwuchangzao) and analysis of its expression under elevated temperature and drought stress.枣(灵武长枣,Ziziphus jujuba Mill. cv. Lingwuchangzao)中调控果实颜色的ANS基因鉴定及其在高温和干旱胁迫下的表达分析
BMC Plant Biol. 2024 Dec 2;24(1):1156. doi: 10.1186/s12870-024-05837-4.

本文引用的文献

1
MEGA5: molecular evolutionary genetics analysis using maximum likelihood, evolutionary distance, and maximum parsimony methods.MEGA5:用于最大似然法、进化距离法和最大简约法的分子进化遗传学分析。
Mol Biol Evol. 2011 Oct;28(10):2731-9. doi: 10.1093/molbev/msr121. Epub 2011 May 4.
2
Flavonoid-related basic helix-loop-helix regulators, NtAn1a and NtAn1b, of tobacco have originated from two ancestors and are functionally active.烟草中与类黄酮相关的基本螺旋-环-螺旋调节因子 NtAn1a 和 NtAn1b 起源于两个祖先,并且具有功能活性。
Planta. 2011 Aug;234(2):363-75. doi: 10.1007/s00425-011-1407-y. Epub 2011 Apr 12.
3
Steam pretreatment and fermentation of the straw material "Paja Brava" using simultaneous saccharification and co-fermentation.
蒸汽预处理和发酵的秸秆材料“Paja Brava”采用同步糖化和共发酵。
J Biosci Bioeng. 2011 Feb;111(2):167-74. doi: 10.1016/j.jbiosc.2010.10.009. Epub 2010 Nov 16.
4
Flavonoid profiling and transcriptome analysis reveals new gene-metabolite correlations in tubers of Solanum tuberosum L.类黄酮分析和转录组分析揭示了马铃薯块茎中基因-代谢物的新关联
J Exp Bot. 2010 Feb;61(4):1225-38. doi: 10.1093/jxb/erp394. Epub 2010 Jan 28.
5
Genetic analysis of pigmented tuber flesh in potato.马铃薯有色块茎果肉的遗传分析。
Theor Appl Genet. 2009 Jun;119(1):143-50. doi: 10.1007/s00122-009-1024-3. Epub 2009 Apr 11.
6
Total antioxidant capacity and content of flavonoids and other phenolic compounds in canihua (Chenopodium pallidicaule): an Andean pseudocereal.藜麦(Chenopodium pallidicaule)中总抗氧化能力以及黄酮类化合物和其他酚类化合物的含量:一种安第斯假谷物。
Mol Nutr Food Res. 2008 Jun;52(6):708-17. doi: 10.1002/mnfr.200700189.
7
Andean potato cultivars (Solanum tuberosum L.) as a source of antioxidant and mineral micronutrients.安第斯马铃薯品种(茄属马铃薯)作为抗氧化剂和矿物质微量营养素的来源。
J Agric Food Chem. 2007 Jan 24;55(2):366-78. doi: 10.1021/jf062740i.
8
Isolation of a regulatory gene of anthocyanin biosynthesis in tuberous roots of purple-fleshed sweet potato.甘薯块根中花青素生物合成调控基因的分离
Plant Physiol. 2007 Mar;143(3):1252-68. doi: 10.1104/pp.106.094425. Epub 2007 Jan 5.
9
Standardized methods for the determination of antioxidant capacity and phenolics in foods and dietary supplements.食品和膳食补充剂中抗氧化能力和酚类物质测定的标准化方法。
J Agric Food Chem. 2005 May 18;53(10):4290-302. doi: 10.1021/jf0502698.
10
Comparison of the 2,2'-azinobis-3-ethylbenzotiazo-line-6-sulfonic acid (ABTS) and ferric reducing anti-oxidant power (FRAP) methods to asses the total antioxidant capacity in extracts of fruit and vegetables.比较2,2'-联氮-双-(3-乙基苯并噻唑啉-6-磺酸)(ABTS)法和铁还原抗氧化能力(FRAP)法以评估水果和蔬菜提取物中的总抗氧化能力。
Mol Nutr Food Res. 2005 Mar;49(3):239-46. doi: 10.1002/mnfr.200400083.