Suppr超能文献

转移性胰腺癌患者的姑息性放射治疗 - 罕见患者群体的描述。

Palliative radiation therapy in patients with metastasized pancreatic cancer - description of a rare patient group.

机构信息

Department of Radiation Oncology, Klinikum rechts der Isar, TU München, Ismaninger Strasse 22, 81675 Munich, Germany.

出版信息

Eur J Med Res. 2014 May 13;19(1):24. doi: 10.1186/2047-783X-19-24.

Abstract

BACKGROUND

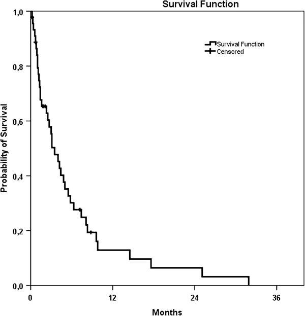
Pancreatic cancer (PAC) patients experience a high rate of locoregional recurrences and distant metastasis finally leading to their demise even after curatively-intended multidisciplinary treatment approaches including surgery, chemotherapy and radiotherapy. However, clinical reports on bone and brain metastases in PAC patients are extremely rare and thus timing and dose description are not well defined. Our work therefore summarizes a mono-institutional experience on the use of radiotherapy (RT) for PAC patients with metastatic disease with the aim of identifying overall survival and treatment response in this rarely reported patient group.

METHOD

Forty-four PAC patients with 66 metastatic lesions were treated with palliative radiotherapy (RT). Thirty-three patients (48 lesions), 7 patients (11 lesions) and 5 patients (7 lesions) with bone, liver and brain metastases analyzed respectively were analyzed; one patient had both bone and cerebral metastases and was treated for the lesions, thus including him in both subgroups. Indications for RT were pain, neurological impairment, risk of pathological fracture or imminent danger for development of any of these conditions in case of tumor progression. Median age was 64 years (range 38 to 78 years) and there were 27 male (61%) and 17 (39%) female patients. Analyses of overall survival (OS) and local control were performed. OS was calculated from the first day of RT.

RESULTS

Median overall survival (mOS) of all patients after start of RT was 4.2 months. Survival rates after 1, 3 and 6 months were 79.3%, 55.3% and 30.3% respectively. Patients presenting with bone metastasis had a mOS of 3.1 months and after 1, 3 and 6 months, survival rates were 75.3%, 46.5% and 19.9% respectively. Symptomatic response to therapy was recorded in 85% of all evaluated patients with bone metastasis. Patients undergoing radiosurgery because of liver metastasis were locally controlled in all but one patient after a median follow-up of 8.3 months.

CONCLUSION

Overall survival of all patients with metastatic disease was considerably worse. A major goal for the future must be the selection of an appropriate RT treatment in terms of duration and technique for these PAC patients.

摘要

背景

即使接受了包括手术、化疗和放疗在内的多学科综合治疗,胰腺导管腺癌(PAC)患者仍会出现高比例的局部区域复发和远处转移,最终导致死亡。然而,PAC 患者发生骨和脑转移的临床报告极为罕见,因此,关于放疗的时间和剂量描述尚未明确。因此,我们总结了单机构使用放疗治疗转移性 PAC 患者的经验,旨在确定该罕见患者群体的总生存率和治疗反应。

方法

44 例 PAC 患者的 66 个转移病灶接受姑息性放疗(RT)。分别对 33 例(48 个病灶)、7 例(11 个病灶)和 5 例(7 个病灶)的骨转移、肝转移和脑转移患者进行分析;1 例患者同时发生骨和脑转移,并对病灶进行治疗,因此同时纳入这两个亚组。RT 的适应证为疼痛、神经功能障碍、病理性骨折风险或肿瘤进展时出现这些情况的潜在危险。中位年龄为 64 岁(范围 38 至 78 岁),男性 27 例(61%),女性 17 例(39%)。分析总生存率(OS)和局部控制情况。OS 从 RT 的第一天开始计算。

结果

所有患者开始 RT 后的中位总生存期(mOS)为 4.2 个月。治疗后 1、3 和 6 个月的生存率分别为 79.3%、55.3%和 30.3%。发生骨转移的患者 mOS 为 3.1 个月,治疗后 1、3 和 6 个月的生存率分别为 75.3%、46.5%和 19.9%。所有骨转移患者中有 85%的患者记录到症状缓解。因肝转移而行放射外科手术的患者,在中位随访 8.3 个月后,除 1 例患者外,其余患者均局部控制。

结论

所有转移性疾病患者的总生存率明显较差。未来的一个主要目标必须是为这些 PAC 患者选择适当的 RT 治疗持续时间和技术。

https://cdn.ncbi.nlm.nih.gov/pmc/blobs/1e18/4046029/ce5c7d802e8f/2047-783X-19-24-1.jpg

文献AI研究员

20分钟写一篇综述,助力文献阅读效率提升50倍。

立即体验

用中文搜PubMed

大模型驱动的PubMed中文搜索引擎

马上搜索

文档翻译

学术文献翻译模型,支持多种主流文档格式。

立即体验