• 文献检索
  • 文档翻译
  • 深度研究
  • 学术资讯
  • Suppr Zotero 插件Zotero 插件
  • 邀请有礼
  • 套餐&价格
  • 历史记录
应用&插件
Suppr Zotero 插件Zotero 插件浏览器插件Mac 客户端Windows 客户端微信小程序
定价
高级版会员购买积分包购买API积分包
服务
文献检索文档翻译深度研究API 文档MCP 服务
关于我们
关于 Suppr公司介绍联系我们用户协议隐私条款
关注我们

Suppr 超能文献

核心技术专利:CN118964589B侵权必究
粤ICP备2023148730 号-1Suppr @ 2026

文献检索

告别复杂PubMed语法,用中文像聊天一样搜索,搜遍4000万医学文献。AI智能推荐,让科研检索更轻松。

立即免费搜索

文件翻译

保留排版,准确专业,支持PDF/Word/PPT等文件格式,支持 12+语言互译。

免费翻译文档

深度研究

AI帮你快速写综述,25分钟生成高质量综述,智能提取关键信息,辅助科研写作。

立即免费体验

自发性糖尿病鸟取-Lepr(fa)大鼠代谢紊乱及相关疾病的性别差异

Gender differences in metabolic disorders and related diseases in Spontaneously Diabetic Torii-Lepr(fa) rats.

作者信息

Ohta Takeshi, Katsuda Yoshiaki, Miyajima Katsuhiro, Sasase Tomohiko, Kimura Shuichi, Tong Bin, Yamada Takahisa

机构信息

Japan Tobacco Inc., Central Pharmaceutical Research Institute, 1-1, Murasaki-cho, Takatsuki, Osaka 569-1125, Japan.

Laboratory of Animal Genetics, Graduate School of Science and Technology, Niigata University, Nishi-ku, Niigata 950-2181, Japan.

出版信息

J Diabetes Res. 2014;2014:841957. doi: 10.1155/2014/841957. Epub 2014 May 8.

DOI:10.1155/2014/841957
PMID:24892034
原文链接:https://pmc.ncbi.nlm.nih.gov/articles/PMC4033479/
Abstract

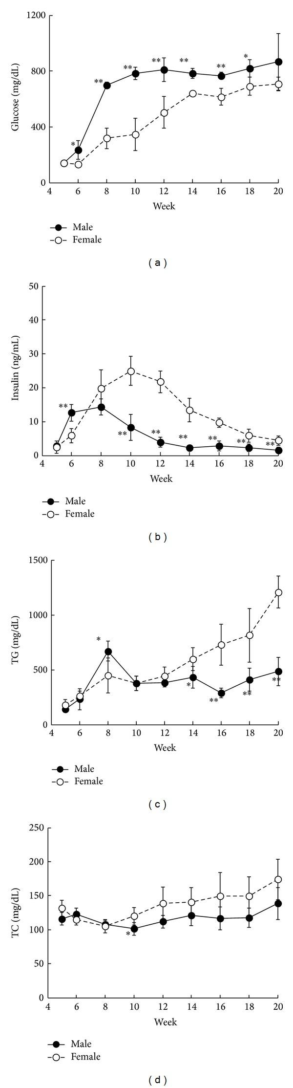
The Spontaneously Diabetic Torii Lepr(fa) (SDT fatty) rat is a novel type 2 diabetic model wherein both male and female rats develop glucose and lipid abnormalities from a young age. In this study, we investigated gender differences in abnormalities and related complications in SDT fatty rats. Food intake was higher in males compared to female rats; however, body weight was not different between genders. Progression of diabetes, including increases in blood glucose and declines in blood insulin, was observed earlier in male rats than in females, and diabetic grade was more critical in male rats. Blood lipids tended to increase in female rats. Gonadal dysfunction was observed in both male and female rats with aging. Microangiopathies, such as nephropathy, retinopathy, neuropathy, and osteoporosis, were seen in both genders, and pathological grade and progression were more significant in males. Qualitative and quantitative changes were observed for metabolic disease gender differences in SDT fatty rats. The SDT fatty rat is a useful model for researching gender differences in metabolic disorders and related diseases in diabetes with obesity.

摘要

自发性糖尿病鸟取Lepr(fa)(SDT肥胖)大鼠是一种新型2型糖尿病模型,雌雄大鼠自幼均会出现血糖和脂质异常。在本研究中,我们调查了SDT肥胖大鼠异常及相关并发症的性别差异。雄性大鼠的食物摄入量高于雌性大鼠;然而,两性之间的体重并无差异。糖尿病进展,包括血糖升高和血胰岛素下降,在雄性大鼠中比雌性大鼠出现得更早,且雄性大鼠的糖尿病分级更严重。雌性大鼠的血脂有升高趋势。随着年龄增长,雌雄大鼠均出现性腺功能障碍。微血管病变,如肾病、视网膜病变、神经病变和骨质疏松,在两性中均有出现,且病理分级和进展在雄性中更为显著。在SDT肥胖大鼠中观察到了代谢疾病性别差异的定性和定量变化。SDT肥胖大鼠是研究肥胖型糖尿病代谢紊乱及相关疾病性别差异的有用模型。

https://cdn.ncbi.nlm.nih.gov/pmc/blobs/4260/4033479/9dbe0e2cad9e/JDR2014-841957.005.jpg
https://cdn.ncbi.nlm.nih.gov/pmc/blobs/4260/4033479/6b2848c2fd63/JDR2014-841957.001.jpg
https://cdn.ncbi.nlm.nih.gov/pmc/blobs/4260/4033479/44175a5d59f9/JDR2014-841957.002.jpg
https://cdn.ncbi.nlm.nih.gov/pmc/blobs/4260/4033479/d9632088fa49/JDR2014-841957.003.jpg
https://cdn.ncbi.nlm.nih.gov/pmc/blobs/4260/4033479/1d04262fb07b/JDR2014-841957.004.jpg
https://cdn.ncbi.nlm.nih.gov/pmc/blobs/4260/4033479/9dbe0e2cad9e/JDR2014-841957.005.jpg
https://cdn.ncbi.nlm.nih.gov/pmc/blobs/4260/4033479/6b2848c2fd63/JDR2014-841957.001.jpg
https://cdn.ncbi.nlm.nih.gov/pmc/blobs/4260/4033479/44175a5d59f9/JDR2014-841957.002.jpg
https://cdn.ncbi.nlm.nih.gov/pmc/blobs/4260/4033479/d9632088fa49/JDR2014-841957.003.jpg
https://cdn.ncbi.nlm.nih.gov/pmc/blobs/4260/4033479/1d04262fb07b/JDR2014-841957.004.jpg
https://cdn.ncbi.nlm.nih.gov/pmc/blobs/4260/4033479/9dbe0e2cad9e/JDR2014-841957.005.jpg

相似文献

1
Gender differences in metabolic disorders and related diseases in Spontaneously Diabetic Torii-Lepr(fa) rats.自发性糖尿病鸟取-Lepr(fa)大鼠代谢紊乱及相关疾病的性别差异
J Diabetes Res. 2014;2014:841957. doi: 10.1155/2014/841957. Epub 2014 May 8.
2
Female spontaneously diabetic Torii fatty rats develop nonalcoholic steatohepatitis-like hepatic lesions.雌性自发性糖尿病Torii肥胖大鼠会出现非酒精性脂肪性肝炎样肝脏病变。
World J Gastroenterol. 2015 Aug 14;21(30):9067-78. doi: 10.3748/wjg.v21.i30.9067.
3
Metabolic Disorders and Diabetic Complications in Spontaneously Diabetic Torii Lepr (fa) Rat: A New Obese Type 2 Diabetic Model.自发性糖尿病 Torii 大鼠(fa)的代谢紊乱和糖尿病并发症:一种新的肥胖 2 型糖尿病模型。
J Diabetes Res. 2013;2013:948257. doi: 10.1155/2013/948257. Epub 2013 Feb 25.
4
Diabetic peripheral neuropathy in Spontaneously Diabetic Torii-Lepr(fa) (SDT fatty) rats.自发性糖尿病鸟取-Lepr(fa)(SDT脂肪)大鼠的糖尿病周围神经病变
J Vet Med Sci. 2012 Dec;74(12):1669-73. doi: 10.1292/jvms.12-0149. Epub 2012 Jul 31.
5
Evaluation of blood pressure in Spontaneously Diabetic Torii-Lepr(fa) rats.自发性糖尿病 Torii-Lepr(fa)大鼠血压的评估。
Exp Anim. 2010;59(4):525-9. doi: 10.1538/expanim.59.525.
6
Effects of ovariectomy on bone metabolism and bone mineral density in spontaneously diabetic Torii-Lepr(fa) rats.卵巢切除对自发性糖尿病鸟取-Lepr(fa)大鼠骨代谢和骨密度的影响。
J Vet Med Sci. 2011 Aug;73(8):1025-9. doi: 10.1292/jvms.11-0064. Epub 2011 Apr 14.
7
A novel model of obesity-related diabetes: introgression of the Lepr(fa) allele of the Zucker fatty rat into nonobese Spontaneously Diabetic Torii (SDT) rats.一种肥胖相关糖尿病的新型模型:将Zucker肥胖大鼠的Lepr(fa)等位基因导入非肥胖的自发性糖尿病鸟取(SDT)大鼠。
Exp Anim. 2005 Jan;54(1):13-20. doi: 10.1538/expanim.54.13.
8
Diabetes-associated complications in Spontaneously Diabetic Torii fatty rats.自发性糖尿病Torii肥胖大鼠的糖尿病相关并发症
Exp Anim. 2008 Apr;57(2):111-21. doi: 10.1538/expanim.57.111.
9
Pathophysiological analysis of female Spontaneously Diabetic Torii fatty rats.自发性糖尿病 Torii 肥胖雌性大鼠的病理生理学分析。
Exp Anim. 2010;59(1):73-84. doi: 10.1538/expanim.59.73.
10
Characteristics of bone turnover, bone mass and bone strength in Spontaneously Diabetic Torii-Lepr fa rats.自发性糖尿病 Torii-Lepr 肥胖大鼠的骨转换、骨量和骨强度特征。
J Bone Miner Metab. 2012 May;30(3):312-20. doi: 10.1007/s00774-011-0324-2. Epub 2011 Oct 27.

引用本文的文献

1
Effect of Angiotensin 1-7 Peptide Agonist AVE 0991 on Diabetic Endothelial Dysfunction in an Experimental Animal Model: A Possible Tool to Treat Diabetic Erectile Dysfunction.血管紧张素1-7肽激动剂AVE 0991对实验动物模型中糖尿病性内皮功能障碍的影响:一种治疗糖尿病性勃起功能障碍的可能工具。
Cureus. 2023 Nov 13;15(11):e48770. doi: 10.7759/cureus.48770. eCollection 2023 Nov.
2
The impact of diabetes mellitus type 2 on the steroidogenesis of male Zucker Diabetic Fatty rats.2 型糖尿病对雄性 Zucker 糖尿病肥胖大鼠类固醇生成的影响。
Physiol Res. 2022 Nov 28;71(5):713-717. doi: 10.33549/physiolres.934881. Epub 2022 Aug 31.
3

本文引用的文献

1
Diabetic complications in obese type 2 diabetic rat models.肥胖型2型糖尿病大鼠模型中的糖尿病并发症
Exp Anim. 2014;63(2):121-32. doi: 10.1538/expanim.63.121.
2
Metabolic Disorders and Diabetic Complications in Spontaneously Diabetic Torii Lepr (fa) Rat: A New Obese Type 2 Diabetic Model.自发性糖尿病 Torii 大鼠(fa)的代谢紊乱和糖尿病并发症:一种新的肥胖 2 型糖尿病模型。
J Diabetes Res. 2013;2013:948257. doi: 10.1155/2013/948257. Epub 2013 Feb 25.
3
Diabetic peripheral neuropathy in Spontaneously Diabetic Torii-Lepr(fa) (SDT fatty) rats.
Pathophysiological features in the brains of female Spontaneously Diabetic Torii (SDT) fatty rats.
雌性自发性糖尿病 Torii (SDT) 肥胖大鼠大脑的病理生理学特征。
J Vet Med Sci. 2022 Mar 3;84(3):330-337. doi: 10.1292/jvms.21-0654. Epub 2022 Jan 27.
4
Potentiation of Acetylcholine-Induced Relaxation of Aorta in Male UC Davis Type 2 Diabetes Mellitus (UCD-T2DM) Rats: Sex-Specific Responses.雄性加州大学戴维斯分校2型糖尿病(UCD-T2DM)大鼠主动脉中乙酰胆碱诱导舒张作用的增强:性别特异性反应
Front Physiol. 2021 Jul 22;12:616317. doi: 10.3389/fphys.2021.616317. eCollection 2021.
5
Ejaculatory dysfunction in men with diabetes mellitus.糖尿病男性的射精功能障碍
World J Diabetes. 2021 Jul 15;12(7):954-974. doi: 10.4239/wjd.v12.i7.954.
6
Mesenteric arterial dysfunction in the UC Davis Type 2 Diabetes Mellitus rat model is dependent on pre-diabetic versus diabetic status and is sexually dimorphic.UC Davis 2 型糖尿病大鼠模型中小肠动脉功能障碍依赖于糖尿病前期与糖尿病状态,并存在性别二态性。
Eur J Pharmacol. 2020 Jul 15;879:173089. doi: 10.1016/j.ejphar.2020.173089. Epub 2020 Apr 19.
7
Establishing equivalent diabetes in male and female Nos3-deficient mice results in a comparable onset of diabetic kidney injury.在雄性和雌性 Nos3 基因缺陷小鼠中建立等效糖尿病模型,会导致糖尿病肾损伤的发病情况相当。
Physiol Rep. 2019 Sep;7(18):e14197. doi: 10.14814/phy2.14197.
8
Influence of Sex on Cognition and Peripheral Neurovascular Function in Diabetic Mice.性别对糖尿病小鼠认知及外周神经血管功能的影响
Front Neurosci. 2018 Oct 31;12:795. doi: 10.3389/fnins.2018.00795. eCollection 2018.
9
Spontaneously Diabetic Torii (SDT) Fatty Rat, a Novel Animal Model of Type 2 Diabetes Mellitus, Shows Blunted Circadian Rhythms and Melatonin Secretion.自发性糖尿病鸟取(SDT)肥胖大鼠,一种新型2型糖尿病动物模型,表现出昼夜节律和褪黑素分泌减弱。
Int J Endocrinol. 2018 Sep 23;2018:9065690. doi: 10.1155/2018/9065690. eCollection 2018.
10
Pathophysiological abnormalities in the brains of Spontaneously Diabetic Torii-Lepr (SDT fatty) rats, a novel type 2 diabetic model.新型2型糖尿病模型——自发性糖尿病Torii-Lepr(SDT肥胖)大鼠大脑中的病理生理异常
J Vet Med Sci. 2018 Sep 13;80(9):1385-1391. doi: 10.1292/jvms.18-0296. Epub 2018 Jul 17.
自发性糖尿病鸟取-Lepr(fa)(SDT脂肪)大鼠的糖尿病周围神经病变
J Vet Med Sci. 2012 Dec;74(12):1669-73. doi: 10.1292/jvms.12-0149. Epub 2012 Jul 31.
4
Characteristics of bone turnover, bone mass and bone strength in Spontaneously Diabetic Torii-Lepr fa rats.自发性糖尿病 Torii-Lepr 肥胖大鼠的骨转换、骨量和骨强度特征。
J Bone Miner Metab. 2012 May;30(3):312-20. doi: 10.1007/s00774-011-0324-2. Epub 2011 Oct 27.
5
Parathyroid hormone (1-34) improves bone mineral density and glucose metabolism in Spontaneously Diabetic Torii-Lepr(fa) rats.甲状旁腺激素(1-34)可改善自发性糖尿病Torii-Lepr(fa)大鼠的骨矿物质密度和葡萄糖代谢。
J Vet Med Sci. 2012 Jan;74(1):103-5. doi: 10.1292/jvms.11-0328. Epub 2011 Aug 25.
6
Effects of ovariectomy on bone metabolism and bone mineral density in spontaneously diabetic Torii-Lepr(fa) rats.卵巢切除对自发性糖尿病鸟取-Lepr(fa)大鼠骨代谢和骨密度的影响。
J Vet Med Sci. 2011 Aug;73(8):1025-9. doi: 10.1292/jvms.11-0064. Epub 2011 Apr 14.
7
Pathophysiological analysis of female Spontaneously Diabetic Torii fatty rats.自发性糖尿病 Torii 肥胖雌性大鼠的病理生理学分析。
Exp Anim. 2010;59(1):73-84. doi: 10.1538/expanim.59.73.
8
Gender-specific care of diabetes.糖尿病的性别特异性护理。
Womens Health (Lond). 2007 Nov;3(6):735-64. doi: 10.2217/17455057.3.6.735.
9
Sex, diabetes and the kidney.性别、糖尿病与肾脏
Am J Physiol Renal Physiol. 2009 Apr;296(4):F680-8. doi: 10.1152/ajprenal.90505.2008. Epub 2009 Jan 14.
10
Gender-specific care of diabetes mellitus: particular considerations in the management of diabetic women.糖尿病的性别特异性护理:糖尿病女性管理中的特殊考量
Diabetes Obes Metab. 2008 Dec;10(12):1135-56. doi: 10.1111/j.1463-1326.2008.00896.x. Epub 2008 May 20.