Suppr超能文献

梓醇降解的特性、动力学及其降解产物对自由基清除的影响。

Characteristics and kinetics of catalpol degradation and the effect of its degradation products on free radical scavenging.

作者信息

Wei Guo-Dong, Wen Xue-Sen

机构信息

School of Pharmaceutical Sciences, Shandong University, China.

出版信息

Pharmacogn Mag. 2014 Jan;10(Suppl 1):S122-9. doi: 10.4103/0973-1296.127360.

Abstract

BACKGROUND

The dried and steamed roots of Rehmannia glutinosa have different pharmacological functions and indications. Catalpol, the main active component of the dried root, was found to be entirely degraded together with amino acids and some oligosaccharides during preparation of the steamed root. Its degradation may contribute to the differences between dried and steamed roots.

OBJECTIVE

To reveal the characteristics and kinetics of catalpol degradation, and evaluate its influence on the antioxidant properties of steamed Rehmannia roots.

MATERIALS AND METHODS

Purified catalpol was heated under different pH and temperature values for different times, alone or with sugars or amino acids. Catalpol concentration was determined by high-performance liquid chromatography. Browning was expressed by the absorbance at 420 nm (A420), and antioxidation was displayed by 2,2-diphenyl-1-picrylhydrazyl free radical scavenging ability (SADPPH). Activation energy was calculated using Arrhenius plotting.

RESULTS

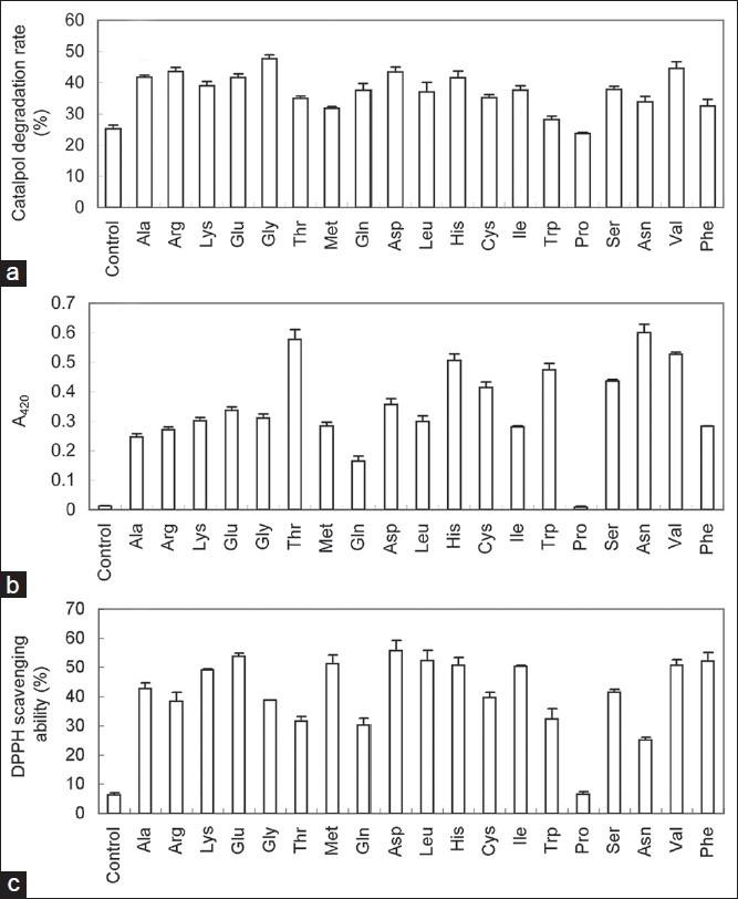
Catalpol was stable in neutral conditions and sensitive to acidic pH under high temperatures. Sugars had no influence on catalpol degradation; however, most amino acids, except for proline, could promote the degradation, and were associated with an increase in A420 and SADPPH values. These changes were proved to be mainly related with catalpol aglycone and were dependent on the presence of amino acids. Catalpol degradation was found to obey first-order kinetics. The activation energies were 81.7, 88.8 and 98.7 kJ/mol at pH 4.0, 5.0, and 6.0 respectively, and 70.7 kJ/mol at pH 4.0 value and in the presence of glycine.

CONCLUSIONS

Catalpol degradation, especially, in the presence of amino acids can substantially boost antioxidant properties of the products; therefore, the traditional method for processing Rehmannia root seems rather apt.

摘要

背景

地黄的干燥根和蒸制根具有不同的药理作用和适应症。梓醇是干燥根的主要活性成分,在蒸制根的制备过程中,发现其与氨基酸和一些寡糖一起完全降解。其降解可能导致干燥根和蒸制根之间的差异。

目的

揭示梓醇降解的特性和动力学,并评估其对蒸制地黄根抗氧化性能的影响。

材料与方法

将纯化的梓醇在不同的pH值和温度下加热不同时间,单独加热或与糖或氨基酸一起加热。通过高效液相色谱法测定梓醇浓度。褐变用420nm处的吸光度(A420)表示,抗氧化作用用2,2-二苯基-1-苦基肼自由基清除能力(SADPPH)表示。使用阿伦尼乌斯作图法计算活化能。

结果

梓醇在中性条件下稳定,在高温下对酸性pH敏感。糖对梓醇降解没有影响;然而,除脯氨酸外的大多数氨基酸可促进降解,并与A420和SADPPH值的增加有关。这些变化被证明主要与梓醇苷元有关,并且取决于氨基酸的存在。发现梓醇降解符合一级动力学。在pH 4.0、5.0和6.0时,活化能分别为81.7、88.8和98.7kJ/mol,在pH 4.0且存在甘氨酸时为70.7kJ/mol。

结论

梓醇降解,特别是在氨基酸存在的情况下,可显著提高产品的抗氧化性能;因此,传统的地黄根加工方法似乎相当合适。

https://cdn.ncbi.nlm.nih.gov/pmc/blobs/8aba/4047597/54852f856720/PM-10-122-g001.jpg

文献检索

告别复杂PubMed语法,用中文像聊天一样搜索,搜遍4000万医学文献。AI智能推荐,让科研检索更轻松。

立即免费搜索

文件翻译

保留排版,准确专业,支持PDF/Word/PPT等文件格式,支持 12+语言互译。

免费翻译文档

深度研究

AI帮你快速写综述,25分钟生成高质量综述,智能提取关键信息,辅助科研写作。

立即免费体验