• 文献检索
  • 文档翻译
  • 深度研究
  • 学术资讯
  • Suppr Zotero 插件Zotero 插件
  • 邀请有礼
  • 套餐&价格
  • 历史记录
应用&插件
Suppr Zotero 插件Zotero 插件浏览器插件Mac 客户端Windows 客户端微信小程序
定价
高级版会员购买积分包购买API积分包
服务
文献检索文档翻译深度研究API 文档MCP 服务
关于我们
关于 Suppr公司介绍联系我们用户协议隐私条款
关注我们

Suppr 超能文献

核心技术专利:CN118964589B侵权必究
粤ICP备2023148730 号-1Suppr @ 2026

文献检索

告别复杂PubMed语法,用中文像聊天一样搜索,搜遍4000万医学文献。AI智能推荐,让科研检索更轻松。

立即免费搜索

文件翻译

保留排版,准确专业,支持PDF/Word/PPT等文件格式,支持 12+语言互译。

免费翻译文档

深度研究

AI帮你快速写综述,25分钟生成高质量综述,智能提取关键信息,辅助科研写作。

立即免费体验

种传细菌病原体与寄主和非寄主植物在种子侵染和幼苗传播方面的相互作用。

Interactions of seedborne bacterial pathogens with host and non-host plants in relation to seed infestation and seedling transmission.

作者信息

Dutta Bhabesh, Gitaitis Ronald, Smith Samuel, Langston David

机构信息

Department of Plant Pathology, University of Georgia, Coastal Plain Experiment Station, Tifton, Georgia, United States of America.

出版信息

PLoS One. 2014 Jun 17;9(6):e99215. doi: 10.1371/journal.pone.0099215. eCollection 2014.

DOI:10.1371/journal.pone.0099215
PMID:24936863
原文链接:https://pmc.ncbi.nlm.nih.gov/articles/PMC4061015/
Abstract

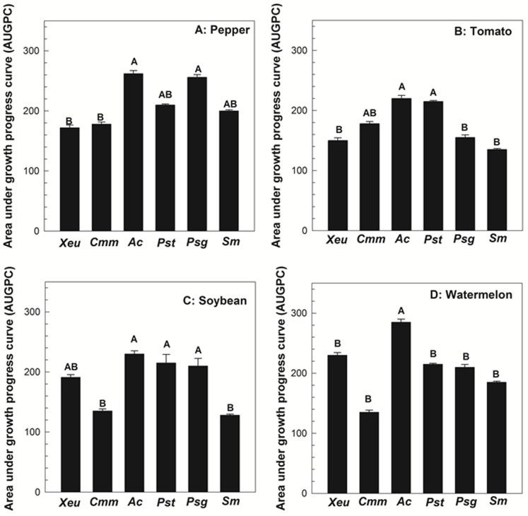
The ability of seed-borne bacterial pathogens (Acidovorax citrulli, Clavibacter michiganensis subsp. michiganensis, Pseudomonas syringae pv. tomato, Xanthomonas euvesicatoria, and Pseudomonas syringae pv. glycinea) to infest seeds of host and non-host plants (watermelon, tomato, pepper, and soybean) and subsequent pathogen transmission to seedlings was investigated. A non-pathogenic, pigmented strain of Serratia marcescens was also included to assess a null-interacting situation with the same plant species. Flowers of host and non-host plants were inoculated with 1 × 10(6) colony forming units (CFUs)/flower for each bacterial species and allowed to develop into fruits or umbels (in case of onion). Seeds harvested from each host/non-host bacterial species combination were assayed for respective bacteria by plating on semi-selective media. Additionally, seedlots for each host/non-host bacterial species combination were also assayed for pathogen transmission by seedling grow-out (SGO) assays under greenhouse conditions. The mean percentage of seedlots infested with compatible and incompatible pathogens was 31.7 and 30.9% (by plating), respectively and they were not significantly different (P = 0.67). The percentage of seedlots infested with null-interacting bacterial species was 16.8% (by plating) and it was significantly lower than the infested lots generated with compatible and incompatible bacterial pathogens (P = 0.03). None of the seedlots with incompatible/null-interacting bacteria developed symptoms on seedlings; however, when seedlings were assayed for epiphytic bacterial presence, 19.5 and 9.4% of the lots were positive, respectively. These results indicate that the seeds of non-host plants can become infested with incompatible and null-interacting bacterial species through flower colonization and they can be transmitted via epiphytic colonization of seedlings. In addition, it was also observed that flowers and seeds of non-host plants can be colonized by compatible/incompatible/null-interacting bacteria to higher populations; however, the level of colonization differed significantly depending on the type of bacterial species used.

摘要

研究了种子携带的细菌病原体(西瓜嗜酸菌、密执安棒形杆菌密执安亚种、丁香假单胞菌番茄致病变种、辣椒疮痂病菌和大豆丁香假单胞菌)侵染寄主和非寄主植物(西瓜、番茄、辣椒和大豆)种子以及随后病原体向幼苗传播的能力。还纳入了一株非致病性的产色素粘质沙雷氏菌菌株,以评估与相同植物物种的零相互作用情况。对于每种细菌物种,以每朵花接种1×10⁶ 菌落形成单位(CFU)的量接种到寄主和非寄主植物的花朵上,并让其发育成果实或伞形花序(如洋葱的情况)。从每种寄主/非寄主细菌物种组合收获的种子通过接种在半选择性培养基上检测相应的细菌。此外,对于每种寄主/非寄主细菌物种组合的种子批,还通过温室条件下的幼苗生长试验(SGO)检测病原体传播情况。接种了亲和性和非亲和性病原体的种子批的平均百分比分别为31.7%和30.9%(通过平板接种法),且它们没有显著差异(P = 0.67)。接种了零相互作用细菌物种的种子批的百分比为16.8%(通过平板接种法),且显著低于由亲和性和非亲和性细菌病原体产生的受侵染种子批(P = 0.03)。没有任何接种了非亲和性/零相互作用细菌的种子批在幼苗上出现症状;然而,当检测幼苗上的附生细菌存在情况时,分别有19.5%和9.4%的种子批呈阳性。这些结果表明,非寄主植物的种子可通过花定殖而被非亲和性和零相互作用细菌物种侵染,并且它们可通过幼苗的附生定殖进行传播。此外,还观察到非寄主植物的花朵和种子可被亲和性/非亲和性/零相互作用细菌定殖到更高的种群数量;然而,定殖水平根据所使用的细菌物种类型而有显著差异。

https://cdn.ncbi.nlm.nih.gov/pmc/blobs/b41c/4061015/266a6f52e482/pone.0099215.g004.jpg
https://cdn.ncbi.nlm.nih.gov/pmc/blobs/b41c/4061015/62b03b77dbd1/pone.0099215.g001.jpg
https://cdn.ncbi.nlm.nih.gov/pmc/blobs/b41c/4061015/cca4d0a6fac4/pone.0099215.g002.jpg
https://cdn.ncbi.nlm.nih.gov/pmc/blobs/b41c/4061015/69dd19287a0c/pone.0099215.g003.jpg
https://cdn.ncbi.nlm.nih.gov/pmc/blobs/b41c/4061015/266a6f52e482/pone.0099215.g004.jpg
https://cdn.ncbi.nlm.nih.gov/pmc/blobs/b41c/4061015/62b03b77dbd1/pone.0099215.g001.jpg
https://cdn.ncbi.nlm.nih.gov/pmc/blobs/b41c/4061015/cca4d0a6fac4/pone.0099215.g002.jpg
https://cdn.ncbi.nlm.nih.gov/pmc/blobs/b41c/4061015/69dd19287a0c/pone.0099215.g003.jpg
https://cdn.ncbi.nlm.nih.gov/pmc/blobs/b41c/4061015/266a6f52e482/pone.0099215.g004.jpg

相似文献

1
Interactions of seedborne bacterial pathogens with host and non-host plants in relation to seed infestation and seedling transmission.种传细菌病原体与寄主和非寄主植物在种子侵染和幼苗传播方面的相互作用。
PLoS One. 2014 Jun 17;9(6):e99215. doi: 10.1371/journal.pone.0099215. eCollection 2014.
2
Role of blossom colonization in pepper seed infestation by Xanthomonas euvesicatoria.辣椒疫霉对辣椒种子侵染中花部定殖的作用。
Phytopathology. 2014 Mar;104(3):232-9. doi: 10.1094/PHYTO-05-13-0138-R.
3
Embryo Localization Enhances the Survival of Acidovorax citrulli in Watermelon Seeds.胚胎定位提高了西瓜种子中西瓜嗜酸菌的存活率。
Phytopathology. 2016 Apr;106(4):330-8. doi: 10.1094/PHYTO-09-15-0232-R. Epub 2016 Mar 21.
4
Location of Acidovorax citrulli in infested watermelon seeds is influenced by the pathway of bacterial invasion.浸染西瓜种子的酸噬果胶杆菌的位置受细菌入侵途径的影响。
Phytopathology. 2012 May;102(5):461-8. doi: 10.1094/PHYTO-10-11-0286-R.
5
Transmission of plant-pathogenic bacteria by nonhost seeds without induction of an associated defense reaction at emergence.非寄主种子在萌发过程中不诱导相关防御反应而传播植物病原菌。
Appl Environ Microbiol. 2010 Oct;76(20):6787-96. doi: 10.1128/AEM.01098-10. Epub 2010 Aug 20.
6
Acidovorax citrulli Seed Inoculum Load Affects Seedling Transmission and Spread of Bacterial Fruit Blotch of Watermelon Under Greenhouse Conditions.西瓜嗜酸菌种子接种量影响温室条件下西瓜细菌性果斑病的幼苗传播与扩散
Plant Dis. 2012 May;96(5):705-711. doi: 10.1094/PDIS-04-11-0292.
7
Multiplex real-time PCR for the detection of Clavibacter michiganensis subsp. michiganensis, Pseudomonas syringae pv. tomato and pathogenic Xanthomonas species on tomato plants.番茄植株中密歇根棒杆菌亚种密歇根亚种、丁香假单胞菌 pv. 番茄和致病性黄单胞菌属物种的多重实时 PCR 检测。
PLoS One. 2020 Jan 7;15(1):e0227559. doi: 10.1371/journal.pone.0227559. eCollection 2020.
8
Colonization of tomato seedlings by bioluminescent Clavibacter michiganensis subsp. michiganensis under different humidity regimes.不同湿度条件下生物发光的密执安棒状杆菌亚种密执安ensis 对番茄幼苗的定殖。
Phytopathology. 2012 Feb;102(2):177-84. doi: 10.1094/PHYTO-03-11-0090.
9
The Type III secretion system of Xanthomonas fuscans subsp. fuscans is involved in the phyllosphere colonization process and in transmission to seeds of susceptible beans.黑褐黄单胞菌黑褐亚种的III型分泌系统参与叶际定殖过程以及向易感豆类种子的传播。
Appl Environ Microbiol. 2008 May;74(9):2669-78. doi: 10.1128/AEM.02906-07. Epub 2008 Mar 7.
10
Prevalence of in Commercial Cucurbit Seedlots During 2010-2018 in China.2010-2018 年中国商用葫芦科种子批中 的流行情况。
Plant Dis. 2020 Jan;104(1):255-259. doi: 10.1094/PDIS-03-19-0666-RE. Epub 2019 Oct 15.

引用本文的文献

1
Clavibacter michiganensis Reframed: The Story of How the Genomics Era Made a New Face for an Old Enemy.密歇根棒状杆菌重塑:基因组学时代如何让一个老对手焕然一新的故事。
Mol Plant Pathol. 2025 May;26(5):e70093. doi: 10.1111/mpp.70093.
2
Entrapment of antimicrobial compounds in a metal matrix for crop protection.将抗菌化合物困在金属基质中用于作物保护。
Microb Biotechnol. 2024 Sep;17(9):e70005. doi: 10.1111/1751-7915.70005.
3
Hyperspectral imaging for the detection of plant pathogens in seeds: recent developments and challenges.用于检测种子中植物病原体的高光谱成像:最新进展与挑战

本文引用的文献

1
Bacterial Streak and Bulb Rot of Sweet Onion: II. Epiphytic Survival of Pseudomonas viridiflava in Association with Multiple Weed Hosts.甜洋葱的细菌性条斑病和鳞茎腐烂病:II. 绿黄假单胞菌在多种杂草寄主上的附生存活情况
Plant Dis. 1998 Aug;82(8):935-938. doi: 10.1094/PDIS.1998.82.8.935.
2
Detection of Acidovorax avenae subsp. citrulli in Watermelon Seed Using Immunomagnetic Separation and the Polymerase Chain Reaction.利用免疫磁珠分离和聚合酶链反应检测西瓜种子中的西瓜嗜酸菌西瓜亚种。
Plant Dis. 2000 Apr;84(4):470-474. doi: 10.1094/PDIS.2000.84.4.470.
3
Efficacy of a Nonpathogenic Acidovorax citrulli Strain as a Biocontrol Seed Treatment for Bacterial Fruit Blotch of Cucurbits.
Front Plant Sci. 2024 Apr 11;15:1387925. doi: 10.3389/fpls.2024.1387925. eCollection 2024.
4
Maize pollen carry bacteria that suppress a fungal pathogen that enters through the male gamete fertilization route.玉米花粉携带的细菌可抑制通过雄配子受精途径进入的真菌病原体。
Front Plant Sci. 2024 Jan 10;14:1286199. doi: 10.3389/fpls.2023.1286199. eCollection 2023.
5
Genome-wide association and dissociation studies in reveal potential virulence factors affecting and   ×  hybrid.全基因组关联和解离研究揭示了影响×杂交种的潜在毒力因子。 (注:原文中“in reveal potential virulence factors affecting and   ×  hybrid”部分缺失关键信息,翻译可能不太准确,完整准确的翻译需补充完整原文内容。)
Front Microbiol. 2023 Feb 2;13:1094155. doi: 10.3389/fmicb.2022.1094155. eCollection 2022.
6
Comparative genomics and genomic diversity of Pseudomonas syringae clade 2b-a in Australia.澳大利亚丁香假单胞菌 clade 2b-a 的比较基因组学和基因组多样性。
BMC Microbiol. 2022 Nov 21;22(1):278. doi: 10.1186/s12866-022-02678-9.
7
Cannabis Seedlings Inherit Seed-Borne Bioactive and Anti-Fungal Endophytic Bacilli.大麻幼苗继承种子携带的生物活性和抗真菌内生芽孢杆菌。
Plants (Basel). 2022 Aug 15;11(16):2127. doi: 10.3390/plants11162127.
8
Distinct Endophytic Bacterial Communities Inhabiting Seagrass Seeds.栖息于海草种子中的不同内生细菌群落。
Front Microbiol. 2021 Sep 21;12:703014. doi: 10.3389/fmicb.2021.703014. eCollection 2021.
9
Study on the community structure and function of symbiotic bacteria from different growth and developmental stages of Hypsizygus marmoreus.研究糙皮侧耳不同生长发育阶段共生细菌的群落结构和功能。
BMC Microbiol. 2020 Oct 14;20(1):311. doi: 10.1186/s12866-020-01998-y.
10
Involvement of and in the Virulence of Strain Aac5, Causal Agent of Bacterial Fruit Blotch in Cucurbits.与西瓜细菌性果斑病菌Aac5菌株毒力相关的[具体内容缺失]和[具体内容缺失]。
Front Microbiol. 2018 Mar 27;9:507. doi: 10.3389/fmicb.2018.00507. eCollection 2018.
一种非致病性西瓜嗜酸菌菌株作为葫芦科细菌性果斑病生物防治种子处理剂的效果
Plant Dis. 2011 Jun;95(6):697-704. doi: 10.1094/PDIS-09-10-0660.
4
Role of blossom colonization in pepper seed infestation by Xanthomonas euvesicatoria.辣椒疫霉对辣椒种子侵染中花部定殖的作用。
Phytopathology. 2014 Mar;104(3):232-9. doi: 10.1094/PHYTO-05-13-0138-R.
5
Acidovorax citrulli: generating basic and applied knowledge to tackle a global threat to the cucurbit industry.酸噬果胶杆菌:为解决葫芦科产业的全球性威胁,生成基础与应用知识。
Mol Plant Pathol. 2012 Oct;13(8):805-15. doi: 10.1111/j.1364-3703.2012.00810.x. Epub 2012 Jun 27.
6
Location of Acidovorax citrulli in infested watermelon seeds is influenced by the pathway of bacterial invasion.浸染西瓜种子的酸噬果胶杆菌的位置受细菌入侵途径的影响。
Phytopathology. 2012 May;102(5):461-8. doi: 10.1094/PHYTO-10-11-0286-R.
7
Transmission of plant-pathogenic bacteria by nonhost seeds without induction of an associated defense reaction at emergence.非寄主种子在萌发过程中不诱导相关防御反应而传播植物病原菌。
Appl Environ Microbiol. 2010 Oct;76(20):6787-96. doi: 10.1128/AEM.01098-10. Epub 2010 Aug 20.
8
PCR-based assay for the detection of Xanthomonas euvesicatoria causing pepper and tomato bacterial spot.基于聚合酶链式反应的检测引起辣椒和番茄细菌性斑点病的丁香假单胞菌的检测方法。
Lett Appl Microbiol. 2009 Oct;49(4):466-71. doi: 10.1111/j.1472-765X.2009.02690.x. Epub 2009 Jul 15.
9
Simultaneous detection of Acidovorax avenae subsp. citrulli and Didymella bryoniae in cucurbit seedlots using magnetic capture hybridization and real-time polymerase chain reaction.利用磁捕获杂交和实时聚合酶链反应同时检测葫芦科种子批次中的西瓜嗜酸菌西瓜亚种和黄瓜壳二孢菌
Phytopathology. 2009 Jun;99(6):666-78. doi: 10.1094/PHYTO-99-6-0666.
10
Reclassification of subspecies of Acidovorax avenae as A. Avenae (Manns 1905) emend., A. cattleyae (Pavarino, 1911) comb. nov., A. citrulli Schaad et al., 1978) comb. nov., and proposal of A. oryzae sp. nov.燕麦嗜酸菌亚种的重新分类为燕麦嗜酸菌(A. Avenae,(Manns,1905)修订)、卡特利嗜酸菌(A. cattleyae,(Pavarino,1911)新组合)、西瓜嗜酸菌(A. citrulli,Schaad等人,1978)新组合,以及稻嗜酸菌新种(A. oryzae sp. nov.)的提议
Syst Appl Microbiol. 2008 Dec;31(6-8):434-46. doi: 10.1016/j.syapm.2008.09.003. Epub 2008 Nov 6.