Driever S M, Lawson T, Andralojc P J, Raines C A, Parry M A J
School of Biological Sciences, University of Essex, Wivenhoe Park, Colchester, Essex CO4 3SQ, UK.
School of Biological Sciences, University of Essex, Wivenhoe Park, Colchester, Essex CO4 3SQ, UK
J Exp Bot. 2014 Sep;65(17):4959-73. doi: 10.1093/jxb/eru253. Epub 2014 Jun 24.
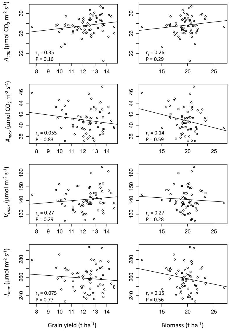
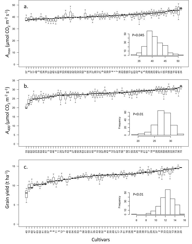
Increasing photosynthesis in wheat has been identified as an approach to enhance crop yield, with manipulation of key genes involved in electron transport and the Calvin cycle as one avenue currently being explored. However, natural variation in photosynthetic capacity is a currently unexploited genetic resource for potential crop improvement. Using gas-exchange analysis and protein analysis, the existing natural variation in photosynthetic capacity in a diverse panel of 64 elite wheat cultivars grown in the field was examined relative to growth traits, including biomass and harvest index. Significant variations in photosynthetic capacity, biomass, and yield were observed, although no consistent correlation was found between photosynthetic capacity of the flag leaf and grain yield when all cultivars were compared. The majority of the variation in photosynthesis could be explained by components related to maximum capacity and operational rates of CO2 assimilation, and to CO2 diffusion. Cluster analysis revealed that cultivars may have been bred unintentionally for desirable traits at the expense of photosynthetic capacity. These findings suggest that there is significant underutilized photosynthetic capacity among existing wheat varieties. Our observations are discussed in the context of exploiting existing natural variation in physiological processes for the improvement of photosynthesis in wheat.
提高小麦的光合作用已被确定为提高作物产量的一种途径,操纵参与电子传递和卡尔文循环的关键基因是目前正在探索的一条途径。然而,光合能力的自然变异是目前尚未开发的用于潜在作物改良的遗传资源。通过气体交换分析和蛋白质分析,研究了田间种植的64个优良小麦品种组成的多样化群体中现有的光合能力自然变异与生长性状(包括生物量和收获指数)之间的关系。观察到光合能力、生物量和产量存在显著差异,不过在比较所有品种时,旗叶光合能力与籽粒产量之间未发现一致的相关性。光合作用的大部分变异可以用与二氧化碳同化的最大能力和运转速率以及二氧化碳扩散相关的成分来解释。聚类分析表明,品种可能在无意中因追求理想性状而牺牲了光合能力。这些发现表明,现有小麦品种中存在大量未被充分利用的光合能力。我们结合利用生理过程中现有的自然变异来改善小麦光合作用的背景对这些观察结果进行了讨论。