Suppr超能文献

胃旁路手术后重组人瘦素不会改变肠道激素水平,但可能会减轻对甜食的渴望。

Recombinant human leptin does not alter gut hormone levels after gastric bypass but may attenuate sweet cravings.

机构信息

Division of Pediatric Endocrinology, Columbia University Medical Center, New York, NY 10032, USA ; Division of Pediatric Endocrinology, Baystate Medical Center, Springfield, MA 01199, USA.

Division of Endocrinology, Columbia University Medical Center, New York, NY 10032, USA.

出版信息

Int J Endocrinol. 2014;2014:120286. doi: 10.1155/2014/120286. Epub 2014 Mar 20.

Abstract

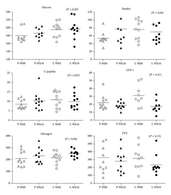
Bariatric surgery improves glucose homeostasis and alters gut hormones partly independent of weight loss. Leptin plays a role in these processes; levels are decreased following bariatric surgery, creating a relative leptin insufficiency. We previously showed that leptin administration in a weight-reduced state after Roux-en-Y gastric bypass (RYGB) caused no further weight loss. Here, we discuss the impact of leptin administration on gut hormones, glucostasis, and appetite. Weight stable women after RYGB were randomized to receive placebo or recombinant human metreleptin (0.05 mg/kg twice daily). At weeks 0 and 16, a liquid meal challenge was performed. Glucose, insulin, C-peptide, GLP-1, PYY, glucagon, and ghrelin (total, acyl, and desacyl) were measured fasting and postprandially. Appetite was assessed using a visual analog scale. Mean post-op period was 53 ± 2.3 months; mean BMI was 34.6 ± 0.2 kg/m(2). At 16 weeks, there was no significant change in weight within or between groups. Fasting PYY was significantly different between groups and the leptin group had lower sweets craving at week 16 than the placebo group (P < 0.05). No other differences were observed. Leptin replacement does not alter gut hormones or glucostasis but may diminish sweet cravings compared to placebo in this population of post-RYGB women.

摘要

减重手术可改善葡萄糖稳态,并在一定程度上通过减轻体重以外的途径改变肠道激素。瘦素在这些过程中发挥作用;减重手术后瘦素水平降低,导致相对瘦素不足。我们之前的研究表明,在 Roux-en-Y 胃旁路术(RYGB)后减轻体重的状态下给予瘦素治疗不会导致进一步的体重减轻。在此,我们讨论了给予瘦素对肠道激素、糖稳态和食欲的影响。RYGB 后的体重稳定女性被随机分配接受安慰剂或重组人 metreleptin(0.05mg/kg,每日 2 次)治疗。在第 0 周和第 16 周进行液体餐挑战。空腹和餐后测定血糖、胰岛素、C 肽、GLP-1、PYY、胰高血糖素和胃饥饿素(总、酰基和脱酰基)。使用视觉模拟评分法评估食欲。平均术后时间为 53 ± 2.3 个月;平均 BMI 为 34.6 ± 0.2kg/m2。在第 16 周时,组内和组间体重均无明显变化。空腹 PYY 在组间存在显著差异,且与安慰剂组相比,leptin 组在第 16 周时甜食欲望较低(P < 0.05)。未观察到其他差异。与安慰剂相比,在接受 RYGB 后的这群女性中,瘦素替代治疗不会改变肠道激素或糖稳态,但可能会减少对甜食的渴望。

https://cdn.ncbi.nlm.nih.gov/pmc/blobs/0216/3980779/6bb48429367e/IJE2014-120286.001.jpg

文献AI研究员

20分钟写一篇综述,助力文献阅读效率提升50倍。

立即体验

用中文搜PubMed

大模型驱动的PubMed中文搜索引擎

马上搜索

文档翻译

学术文献翻译模型,支持多种主流文档格式。

立即体验