• 文献检索
  • 文档翻译
  • 深度研究
  • 学术资讯
  • Suppr Zotero 插件Zotero 插件
  • 邀请有礼
  • 套餐&价格
  • 历史记录
应用&插件
Suppr Zotero 插件Zotero 插件浏览器插件Mac 客户端Windows 客户端微信小程序
定价
高级版会员购买积分包购买API积分包
服务
文献检索文档翻译深度研究API 文档MCP 服务
关于我们
关于 Suppr公司介绍联系我们用户协议隐私条款
关注我们

Suppr 超能文献

核心技术专利:CN118964589B侵权必究
粤ICP备2023148730 号-1Suppr @ 2026

文献检索

告别复杂PubMed语法,用中文像聊天一样搜索,搜遍4000万医学文献。AI智能推荐,让科研检索更轻松。

立即免费搜索

文件翻译

保留排版,准确专业,支持PDF/Word/PPT等文件格式,支持 12+语言互译。

免费翻译文档

深度研究

AI帮你快速写综述,25分钟生成高质量综述,智能提取关键信息,辅助科研写作。

立即免费体验

视觉搜索中的重心注视:当注视虚无有助于找到某物时。

Centre-of-Gravity Fixations in Visual Search: When Looking at Nothing Helps to Find Something.

作者信息

Venini Dustin, Remington Roger W, Horstmann Gernot, Becker Stefanie I

机构信息

The University of Queensland, Brisbane, Australia ; School of Psychology, The University of Queensland, McElwain Building, Brisbane, QLD 4072, Australia.

The University of Queensland, Brisbane, Australia.

出版信息

J Ophthalmol. 2014;2014:237812. doi: 10.1155/2014/237812. Epub 2014 Jun 3.

DOI:10.1155/2014/237812
PMID:25002972
原文链接:https://pmc.ncbi.nlm.nih.gov/articles/PMC4065739/
Abstract

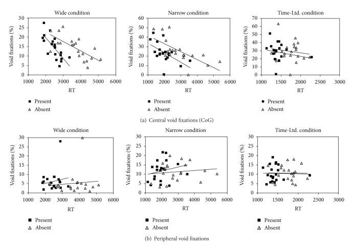
In visual search, some fixations are made between stimuli on empty regions, commonly referred to as "centre-of-gravity" fixations (henceforth: COG fixations). Previous studies have shown that observers with task expertise show more COG fixations than novices. This led to the view that COG fixations reflect simultaneous encoding of multiple stimuli, allowing more efficient processing of task-related items. The present study tested whether COG fixations also aid performance in visual search tasks with unfamiliar and abstract stimuli. Moreover, to provide evidence for the multiple-item processing view, we analysed the effects of COG fixations on the number and dwell times of stimulus fixations. The results showed that (1) search efficiency increased with increasing COG fixations even in search for unfamiliar stimuli and in the absence of special higher-order skills, (2) COG fixations reliably reduced the number of stimulus fixations and their dwell times, indicating processing of multiple distractors, and (3) the proportion of COG fixations was dynamically adapted to potential information gain of COG locations. A second experiment showed that COG fixations are diminished when stimulus positions unpredictably vary across trials. Together, the results support the multiple-item processing view, which has important implications for current theories of visual search.

摘要

在视觉搜索中,有些注视点落在刺激物之间的空白区域,通常被称为“重心”注视点(以下简称:COG注视点)。先前的研究表明,具有任务专长的观察者比新手表现出更多的COG注视点。这导致了一种观点,即COG注视点反映了对多个刺激物的同时编码,从而能够更高效地处理与任务相关的项目。本研究测试了COG注视点是否也有助于在使用不熟悉和抽象刺激物的视觉搜索任务中的表现。此外,为了为多项目处理观点提供证据,我们分析了COG注视点对刺激物注视点的数量和停留时间的影响。结果表明:(1)即使在搜索不熟悉的刺激物且缺乏特殊高阶技能的情况下,搜索效率也会随着COG注视点数量的增加而提高;(2)COG注视点可靠地减少了刺激物注视点的数量及其停留时间,表明对多个干扰物进行了处理;(3)COG注视点的比例会动态地适应COG位置的潜在信息增益。第二个实验表明,当刺激物位置在各次试验中不可预测地变化时,COG注视点会减少。总之,这些结果支持了多项目处理观点,这对当前的视觉搜索理论具有重要意义。

https://cdn.ncbi.nlm.nih.gov/pmc/blobs/b4f3/4065739/29f4f32b6f37/JOPH2014-237812.006.jpg
https://cdn.ncbi.nlm.nih.gov/pmc/blobs/b4f3/4065739/393c43f4867e/JOPH2014-237812.001.jpg
https://cdn.ncbi.nlm.nih.gov/pmc/blobs/b4f3/4065739/528c0ed84e9d/JOPH2014-237812.002.jpg
https://cdn.ncbi.nlm.nih.gov/pmc/blobs/b4f3/4065739/455956d550d7/JOPH2014-237812.003.jpg
https://cdn.ncbi.nlm.nih.gov/pmc/blobs/b4f3/4065739/57f009c2f0a9/JOPH2014-237812.004.jpg
https://cdn.ncbi.nlm.nih.gov/pmc/blobs/b4f3/4065739/03e95f4cfafa/JOPH2014-237812.005.jpg
https://cdn.ncbi.nlm.nih.gov/pmc/blobs/b4f3/4065739/29f4f32b6f37/JOPH2014-237812.006.jpg
https://cdn.ncbi.nlm.nih.gov/pmc/blobs/b4f3/4065739/393c43f4867e/JOPH2014-237812.001.jpg
https://cdn.ncbi.nlm.nih.gov/pmc/blobs/b4f3/4065739/528c0ed84e9d/JOPH2014-237812.002.jpg
https://cdn.ncbi.nlm.nih.gov/pmc/blobs/b4f3/4065739/455956d550d7/JOPH2014-237812.003.jpg
https://cdn.ncbi.nlm.nih.gov/pmc/blobs/b4f3/4065739/57f009c2f0a9/JOPH2014-237812.004.jpg
https://cdn.ncbi.nlm.nih.gov/pmc/blobs/b4f3/4065739/03e95f4cfafa/JOPH2014-237812.005.jpg
https://cdn.ncbi.nlm.nih.gov/pmc/blobs/b4f3/4065739/29f4f32b6f37/JOPH2014-237812.006.jpg

相似文献

1
Centre-of-Gravity Fixations in Visual Search: When Looking at Nothing Helps to Find Something.视觉搜索中的重心注视:当注视虚无有助于找到某物时。
J Ophthalmol. 2014;2014:237812. doi: 10.1155/2014/237812. Epub 2014 Jun 3.
2
Expertise-dependent visuocognitive performance of chess players in mating tasks: evidence from eye movements during task processing.国际象棋棋手在将杀任务中依赖专业知识的视觉认知表现:来自任务处理过程中眼动的证据。
Front Psychol. 2024 Oct 24;15:1294424. doi: 10.3389/fpsyg.2024.1294424. eCollection 2024.
3
Comparing eye movements to detected vs. undetected target stimuli in an Identity Search task.在身份搜索任务中,比较眼动与已检测到和未检测到的目标刺激。
J Vis. 2009 May 19;9(5):20.1-16. doi: 10.1167/9.5.20.
4
Recognition of incidentally learned visual search arrays is supported by fixational eye movements.注视点眼动支持对偶然习得的视觉搜索模式的识别。
J Exp Psychol Learn Mem Cogn. 2019 Dec;45(12):2147-2164. doi: 10.1037/xlm0000702. Epub 2019 Mar 18.
5
Determinants of dwell time in visual search: similarity or perceptual difficulty?视觉搜索中停留时间的决定因素:相似性还是感知难度?
PLoS One. 2011 Mar 8;6(3):e17740. doi: 10.1371/journal.pone.0017740.
6
Visual feedback of the centre of gravity to optimize standing balance.重心的视觉反馈以优化站立平衡。
Gait Posture. 2015 Feb;41(2):499-503. doi: 10.1016/j.gaitpost.2014.12.003. Epub 2014 Dec 9.
7
Visual search in noise: revealing the influence of structural cues by gaze-contingent classification image analysis.噪声中的视觉搜索:通过注视点相关分类图像分析揭示结构线索的影响
J Vis. 2006 Mar 13;6(4):379-86. doi: 10.1167/6.4.7.
8
Acute effects of nicotine on visual search tasks in young adult smokers.尼古丁对年轻成年吸烟者视觉搜索任务的急性影响。
Psychopharmacology (Berl). 2005 Aug;181(1):160-9. doi: 10.1007/s00213-005-2220-8. Epub 2005 Oct 15.
9
Eye fixations of deaf and hearing observers in simultaneous communication perception.聋人和听力正常的观察者在同步交流感知中的眼动注视情况。
Ear Hear. 2006 Aug;27(4):331-52. doi: 10.1097/01.aud.0000226248.45263.ad.
10
Selective scanpath repetition during memory-guided visual search.记忆引导视觉搜索过程中的选择性扫视路径重复
Vis cogn. 2016 Jan 2;24(1):15-37. doi: 10.1080/13506285.2016.1175531. Epub 2016 Jun 26.

引用本文的文献

1
Mirror blindness: Our failure to recognize the target in search for mirror-reversed shapes.镜像失明:我们在寻找镜像反转形状的目标时无法识别。
Atten Percept Psychophys. 2023 Feb;85(2):418-437. doi: 10.3758/s13414-022-02641-w. Epub 2023 Jan 18.
2
Gaze Parameters in the Analysis of Ambiguous Geometric Shapes.模糊几何形状分析中的注视参数
Iperception. 2021 Mar 12;12(2):2041669521998392. doi: 10.1177/2041669521998392. eCollection 2021 Mar-Apr.

本文引用的文献

1
TAM: Explaining off-object fixations and central fixation tendencies as effects of population averaging during search.TAM:将注视目标外的注视和中央注视倾向解释为搜索过程中总体平均效应的结果。
Vis cogn. 2012 Jan 1;20(4-5):515-545. doi: 10.1080/13506285.2012.666577. Epub 2012 May 23.
2
A summary statistic representation in peripheral vision explains visual search.周边视觉中的一种汇总统计表示法解释了视觉搜索。
J Vis. 2012 Apr 20;12(4):10.1167/12.4.14 14. doi: 10.1167/12.4.14.
3
Determinants of dwell time in visual search: similarity or perceptual difficulty?
视觉搜索中停留时间的决定因素:相似性还是感知难度?
PLoS One. 2011 Mar 8;6(3):e17740. doi: 10.1371/journal.pone.0017740.
4
On the spatial interaction of visual working memory and attention: evidence for a global effect from memory-guided saccades.关于视觉工作记忆与注意力的空间交互作用:来自记忆引导扫视的全局效应的证据
J Vis. 2010 May 1;10(5):8. doi: 10.1167/10.5.8.
5
A feature-weighting account of priming in conjunction search.联合搜索中启动效应的特征加权解释。
Atten Percept Psychophys. 2009 Feb;71(2):258-72. doi: 10.3758/APP.71.2.258.
6
Saccadic eye movement programming: sensory and attentional factors.眼球跳动编程:感觉和注意力因素
Psychol Res. 2009 Mar;73(2):127-35. doi: 10.1007/s00426-008-0201-3. Epub 2008 Dec 16.
7
Saccade target selection: Do distractors affect saccade accuracy?扫视目标选择:干扰因素会影响扫视准确性吗?
Vision Res. 2009 Jun;49(10):1267-74. doi: 10.1016/j.visres.2008.07.005. Epub 2008 Aug 22.
8
Optimal eye movement strategies in visual search.视觉搜索中的最佳眼动策略
Nature. 2005 Mar 17;434(7031):387-91. doi: 10.1038/nature03390.
9
Saccade target selection in visual search: accuracy improves when more distractors are present.视觉搜索中的扫视目标选择:当存在更多干扰物时准确性会提高。
J Vis. 2003 Dec 29;3(11):877-92. doi: 10.1167/3.11.20.
10
Eye movements in the visual search of word lists.在单词列表视觉搜索中的眼动
Vision Res. 2002 Jun;42(12):1499-512. doi: 10.1016/s0042-6989(02)00077-9.