Suppr超能文献

罗库溴铵最佳预刺激剂量降低琥珀酰胆碱给药后肌束震颤和肌痛。

Optimal precurarizing dose of rocuronium to decrease fasciculation and myalgia following succinylcholine administration.

机构信息

Department of Anesthesiology and Pain Medicine, Hanyang University School of Medicine, Seoul, Korea.

出版信息

Korean J Anesthesiol. 2014 Jun;66(6):451-6. doi: 10.4097/kjae.2014.66.6.451. Epub 2014 Jun 26.

Abstract

BACKGROUND

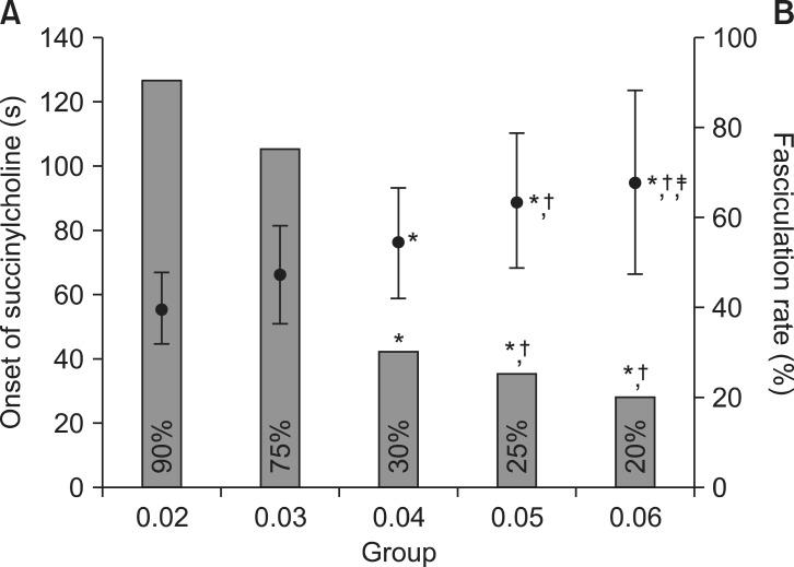
Succinylcholine commonly produces frequent adverse effects, including muscle fasciculation and myalgia. The current study identified the optimal dose of rocuronium to prevent succinylcholine-induced fasciculation and myalgia and evaluated the influence of rocuronium on the speed of onset produced by succinylcholine.

METHODS

This randomized, double-blinded study was conducted in 100 patients randomly allocated into five groups of 20 patients each. Patients were randomized to receive 0.02, 0.03, 0.04, 0.05 and 0.06 mg/kg rocuronium as a precurarizing dose. Neuromuscular monitoring after each precurarizing dose was recorded from the adductor pollicis muscle using acceleromyography with train-of-four stimulation of the ulnar nerve. All patients received succinylcholine 1.5 mg/kg at 2 minutes after the precurarization, and were assessed the incidence and severity of fasciculations, while myalgia was assessed at 24 hours after surgery.

RESULTS

The incidence and severity of visible muscle fasciculation was significantly less with increasing the amount of precurarizing dose of rocuronium (P < 0.001). Those of myalgia tend to decrease according to increasing the amount of precurarizing dose of rocuronium, but there was no significance (P = 0.072). The onset time of succinylcholine was significantly longer with increasing the amount of precurarizing dose of rocuronium (P < 0.001).

CONCLUSIONS

Precurarization with 0.04 mg/kg rocuronium was the optimal dose considering the reduction in the incidence and severity of fasciculation and myalgia with acceptable onset time, and the safe and effective precurarization.

摘要

背景

琥珀酰胆碱常引起频繁的不良反应,包括肌肉震颤和肌痛。本研究旨在确定罗库溴铵的最佳剂量,以预防琥珀酰胆碱引起的肌束震颤和肌痛,并评估罗库溴铵对琥珀酰胆碱起效速度的影响。

方法

这是一项随机、双盲研究,共纳入 100 例患者,随机分为五组,每组 20 例。患者随机接受 0.02、0.03、0.04、0.05 和 0.06 mg/kg 罗库溴铵作为预给药剂量。在预给药后,使用肌电图仪通过尺神经四连串刺激记录拇内收肌的神经肌肉监测。所有患者在预给药后 2 分钟内给予琥珀酰胆碱 1.5mg/kg,并评估肌束震颤的发生率和严重程度,而肌痛则在手术后 24 小时评估。

结果

随着罗库溴铵预给药剂量的增加,可见肌肉震颤的发生率和严重程度显著降低(P<0.001)。肌痛的发生率也随着罗库溴铵预给药剂量的增加而降低,但无统计学意义(P=0.072)。随着罗库溴铵预给药剂量的增加,琥珀酰胆碱的起效时间显著延长(P<0.001)。

结论

考虑到减少肌束震颤和肌痛的发生率和严重程度,以及可接受的起效时间,0.04mg/kg 罗库溴铵是最佳的预给药剂量,是安全有效的预给药。

https://cdn.ncbi.nlm.nih.gov/pmc/blobs/2e4b/4085266/20c504019d89/kjae-66-451-g001.jpg

文献AI研究员

20分钟写一篇综述,助力文献阅读效率提升50倍。

立即体验

用中文搜PubMed

大模型驱动的PubMed中文搜索引擎

马上搜索

文档翻译

学术文献翻译模型,支持多种主流文档格式。

立即体验