Suppr超能文献

甜菜孢囊线虫(Heterodera schachtii)调节合胞体中WRKY转录因子的表达,以利于其在拟南芥根中的发育。

The beet cyst nematode Heterodera schachtii modulates the expression of WRKY transcription factors in syncytia to favour its development in Arabidopsis roots.

作者信息

Ali Muhammad Amjad, Wieczorek Krzysztof, Kreil David P, Bohlmann Holger

机构信息

Division of Plant Protection, Department of Crop Sciences, University of Natural Resources and Life Sciences, Vienna, Austria; Department of Plant Pathology, Centre of Agricultural Biochemistry and Biotechnology (CABB), University of Agriculture, Faisalabad, Pakistan.

Division of Plant Protection, Department of Crop Sciences, University of Natural Resources and Life Sciences, Vienna, Austria.

出版信息

PLoS One. 2014 Jul 17;9(7):e102360. doi: 10.1371/journal.pone.0102360. eCollection 2014.

Abstract

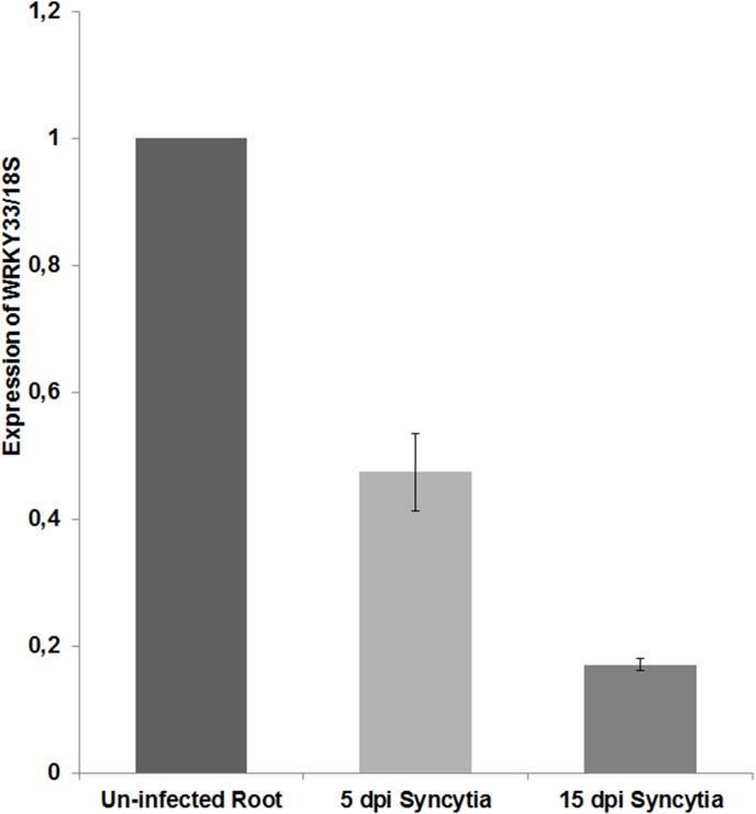
Cyst nematodes invade the roots of their host plants as second stage juveniles and induce a syncytium which is the only source of nutrients throughout their life. A recent transcriptome analysis of syncytia induced by the beet cyst nematode Heterodera schachtii in Arabidopsis roots has shown that thousands of genes are up-regulated or down-regulated in syncytia as compared to root segments from uninfected plants. Among the down-regulated genes are many which code for WRKY transcription factors. Arabidopsis contains 66 WRKY genes with 59 represented by the ATH1 GeneChip. Of these, 28 were significantly down-regulated and 6 up-regulated in syncytia as compared to control root segments. We have studied here the down-regulated genes WRKY6, WRKY11, WRKY17 and WRKY33 in detail. We confirmed the down-regulation in syncytia with promoter::GUS lines. Using various overexpression lines and mutants it was shown that the down-regulation of these WRKY genes is important for nematode development, probably through interfering with plant defense reactions. In case of WRKY33, this might involve the production of the phytoalexin camalexin.

摘要

胞囊线虫以二龄幼虫的形态侵入寄主植物的根部,并诱导形成一个多核体,这是它们一生中唯一的营养来源。最近对拟南芥根中由甜菜胞囊线虫(Heterodera schachtii)诱导形成的多核体进行的转录组分析表明,与未感染植物的根段相比,多核体中有数千个基因上调或下调。下调的基因中有许多是编码WRKY转录因子的。拟南芥含有66个WRKY基因,其中59个由ATH1基因芯片代表。与对照根段相比,其中28个在多核体中显著下调,6个上调。我们在此详细研究了下调基因WRKY6、WRKY11、WRKY17和WRKY33。我们用启动子::GUS系证实了多核体中的下调情况。使用各种过表达系和突变体表明,这些WRKY基因的下调对线虫发育很重要,可能是通过干扰植物防御反应。就WRKY33而言,这可能涉及植保素camalexin的产生。

https://cdn.ncbi.nlm.nih.gov/pmc/blobs/11fd/4102525/b24a4572d2c6/pone.0102360.g001.jpg

文献AI研究员

20分钟写一篇综述,助力文献阅读效率提升50倍。

立即体验

用中文搜PubMed

大模型驱动的PubMed中文搜索引擎

马上搜索

文档翻译

学术文献翻译模型,支持多种主流文档格式。

立即体验