Suppr超能文献

预测接受表皮生长因子受体酪氨酸激酶抑制剂治疗的非小细胞肺癌患者临床结局的列线图

Nomogram Predicting Clinical Outcomes in Non-small Cell Lung Cancer Patients Treated with Epidermal Growth Factor Receptor Tyrosine Kinase Inhibitors.

作者信息

Keam Bhumsuk, Kim Dong-Wan, Park Jin Hyun, Lee Jeong-Ok, Kim Tae Min, Lee Se-Hoon, Chung Doo Hyun, Heo Dae Seog

机构信息

Department of Internal Medicine, Seoul National University Hospital, Seoul, Korea ; Cancer Research Institute, Seoul National University College of Medicine, Seoul, Korea.

Department of Internal Medicine, Seoul National University Hospital, Seoul, Korea.

出版信息

Cancer Res Treat. 2014 Oct;46(4):323-30. doi: 10.4143/crt.2013.120. Epub 2014 Jul 14.

Abstract

PURPOSE

The aim of this study was to develop a pragmatic nomogram for prediction of progressionfree survival (PFS) for the epidermal growth factor receptor (EGFR) tyrosine kinase inhibitor (TKI) in EGFR mutant non-small cell lung cancer (NSCLC).

MATERIALS AND METHODS

A total of 306 recurred or metastatic NSCLC patients with EGFR mutation, who received EGFR TKIs, were enrolled in this study. We developed the nomogram, using a Cox proportional hazard regression model for PFS.

RESULTS

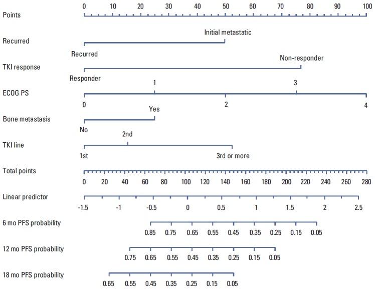
The median PFS was 11.2 months. Response rate to EGFR TKI was 71.9%. Multivariate Cox model identified disease status, performance status, chemotherapy line, response to EGFR TKI, and bone metastasis as independent prognostic factors, and the nomogram for PFS was developed, based on these covariates. The concordance index for a nomogram was 0.708, and the calibration was also good.

CONCLUSION

We developed a nomogram, based on clinical characteristics, for prediction of the PFS to EGFR TKI in NSCLC patients with EGFR mutation.

摘要

目的

本研究旨在开发一种实用的列线图,用于预测表皮生长因子受体(EGFR)突变的非小细胞肺癌(NSCLC)患者接受表皮生长因子受体酪氨酸激酶抑制剂(TKI)治疗后的无进展生存期(PFS)。

材料与方法

本研究共纳入306例接受EGFR-TKIs治疗的复发或转移性EGFR突变NSCLC患者。我们使用Cox比例风险回归模型对PFS构建列线图。

结果

中位PFS为11.2个月。EGFR-TKI的缓解率为71.9%。多因素Cox模型确定疾病状态、体能状态、化疗线数、对EGFR-TKI的反应和骨转移为独立预后因素,并基于这些协变量构建了PFS列线图。列线图的一致性指数为0.708,校准效果也较好。

结论

我们基于临床特征开发了一种列线图,用于预测EGFR突变的NSCLC患者接受EGFR-TKI治疗后的PFS。

https://cdn.ncbi.nlm.nih.gov/pmc/blobs/48cf/4206063/5c2a360f78ad/crt-2013-120f1.jpg

文献AI研究员

20分钟写一篇综述,助力文献阅读效率提升50倍。

立即体验

用中文搜PubMed

大模型驱动的PubMed中文搜索引擎

马上搜索

文档翻译

学术文献翻译模型,支持多种主流文档格式。

立即体验