Suppr超能文献

施用硅通过改善植物水分关系和形态生理功能提高草地早熟禾的耐旱性。

Silicon application increases drought tolerance of kentucky bluegrass by improving plant water relations and morphophysiological functions.

作者信息

Saud Shah, Li Xin, Chen Yang, Zhang Lu, Fahad Shah, Hussain Saddam, Sadiq Arooj, Chen Yajun

机构信息

Horticulture College of Northeast Agricultural University, Harbin, Heilongjiang 150030, China.

National Key Laboratory of Crop Genetic Improvement, MOA Key Laboratory of Crop Ecophysiology and Farming System in the Middle Reaches of the Yangtze River, College of Plant Science and Technology, Huazhong Agricultural University, Wuhan, Hubei 430070, China.

出版信息

ScientificWorldJournal. 2014;2014:368694. doi: 10.1155/2014/368694. Epub 2014 Jun 29.

Abstract

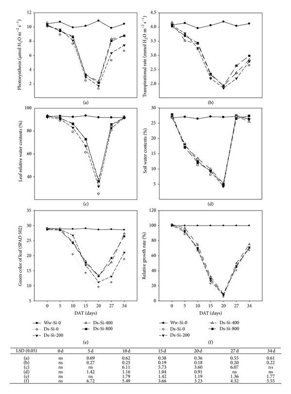
Drought stress encumbers the growth of turfgrass principally by disrupting the plant-water relations and physiological functions. The present study was carried out to appraise the role of silicon (Si) in improving the drought tolerance in Kentucky bluegrass (Poa pratensis L.). Drought stress and four levels (0, 200, 400, and 800 mg L(-1)) of Si (Na2SiO3·9H2O) were imposed after 2 months old plants cultured under glasshouse conditions. Drought stress was found to decrease the photosynthesis, transpiration rate, stomatal conductance, leaf water content, relative growth rate, water use efficiency, and turf quality, but to increase in the root/shoot and leaf carbon/nitrogen ratio. Such physiological interferences, disturbances in plant water relations, and visually noticeable growth reductions in Kentucky bluegrass were significantly alleviated by the addition of Si after drought stress. For example, Si application at 400 mg L(-1) significantly increased the net photosynthesis by 44%, leaf water contents by 33%, leaf green color by 42%, and turf quality by 44% after 20 days of drought stress. Si application proved beneficial in improving the performance of Kentucky bluegrass in the present study suggesting that manipulation of endogenous Si through genetic or biotechnological means may result in the development of drought resistance in grasses.

摘要

干旱胁迫主要通过破坏植物与水分的关系以及生理功能来阻碍草坪草的生长。本研究旨在评估硅(Si)在提高草地早熟禾(Poa pratensis L.)耐旱性方面的作用。在温室条件下培养2个月大的植株后,施加干旱胁迫和四个水平(0、200、400和800 mg L⁻¹)的硅(Na₂SiO₃·9H₂O)。结果发现,干旱胁迫会降低光合作用、蒸腾速率、气孔导度、叶片含水量、相对生长速率、水分利用效率和草坪质量,但会增加根冠比和叶片碳氮比。在干旱胁迫后添加硅,显著缓解了草地早熟禾的这种生理干扰、植物水分关系的紊乱以及肉眼可见的生长减缓。例如,在干旱胁迫20天后,施加400 mg L⁻¹的硅可使净光合作用显著提高44%,叶片含水量提高33%,叶色绿度提高42%,草坪质量提高44%。在本研究中,施用硅被证明有利于改善草地早熟禾的性能,这表明通过遗传或生物技术手段调控内源性硅可能会培育出具有抗旱性的草种。

https://cdn.ncbi.nlm.nih.gov/pmc/blobs/4016/4098892/b7308588dea2/TSWJ2014-368694.001.jpg

文献AI研究员

20分钟写一篇综述,助力文献阅读效率提升50倍。

立即体验

用中文搜PubMed

大模型驱动的PubMed中文搜索引擎

马上搜索

文档翻译

学术文献翻译模型,支持多种主流文档格式。

立即体验