Suppr超能文献

混合病毒-细菌社区获得性肺炎的炎症反应。

Inflammatory response in mixed viral-bacterial community-acquired pneumonia.

机构信息

Servicio de Neumologia, Hospital Universitario Miguel Servet, Paseo Isabel La Católica, 1-3, 50009 Zaragoza, Spain.

出版信息

BMC Pulm Med. 2014 Jul 29;14:123. doi: 10.1186/1471-2466-14-123.

Abstract

BACKGROUND

The role of mixed pneumonia (virus+bacteria) in community-acquired pneumonia (CAP) has been described in recent years. However, it is not known whether the systemic inflammatory profile is different compared to monomicrobial CAP. We wanted to investigate this profile of mixed viral-bacterial infection and to compare it to monomicrobial bacterial or viral CAP.

METHODS

We measured baseline serum procalcitonin (PCT), C reactive protein (CRP), and white blood cell (WBC) count in 171 patients with CAP with definite etiology admitted to a tertiary hospital: 59 (34.5%) bacterial, 66 (39.%) viral and 46 (27%) mixed (viral-bacterial).

RESULTS

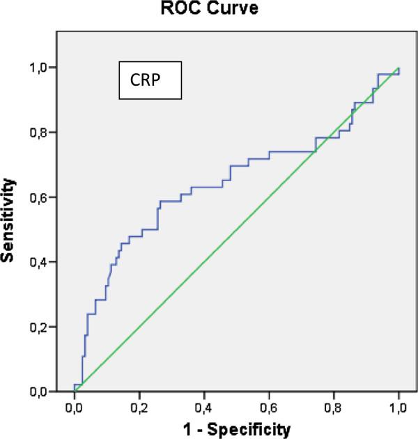
Serum PCT levels were higher in mixed and bacterial CAP compared to viral CAP. CRP levels were higher in mixed CAP compared to the other groups. CRP was independently associated with mixed CAP. CRP levels below 26 mg/dL were indicative of an etiology other than mixed in 83% of cases, but the positive predictive value was 45%. PCT levels over 2.10 ng/mL had a positive predictive value for bacterial-involved CAP versus viral CAP of 78%, but the negative predictive value was 48%.

CONCLUSIONS

Mixed CAP has a different inflammatory pattern compared to bacterial or viral CAP. High CRP levels may be useful for clinicians to suspect mixed CAP.

摘要

背景

近年来,混合性肺炎(病毒+细菌)在社区获得性肺炎(CAP)中的作用已经得到描述。然而,与单一微生物 CAP 相比,其全身炎症特征是否不同尚不清楚。我们希望研究这种混合病毒-细菌感染的特征,并将其与单一微生物细菌或病毒 CAP 进行比较。

方法

我们在一家三级医院对 171 例病因明确的 CAP 患者测量了基线血清降钙素原(PCT)、C 反应蛋白(CRP)和白细胞(WBC)计数:59 例(34.5%)为细菌性、66 例(39%)为病毒性和 46 例(27%)为混合性(病毒-细菌性)。

结果

与病毒性 CAP 相比,混合性和细菌性 CAP 的血清 PCT 水平更高。与其他两组相比,混合性 CAP 的 CRP 水平更高。CRP 与混合性 CAP 独立相关。CRP 水平低于 26mg/dL 时,83%的情况下提示病因不是混合性,但阳性预测值为 45%。PCT 水平超过 2.10ng/mL 时,对细菌感染性 CAP 与病毒性 CAP 的阳性预测值为 78%,但阴性预测值为 48%。

结论

与细菌或病毒性 CAP 相比,混合性 CAP 的炎症模式不同。高 CRP 水平可能有助于临床医生怀疑混合性 CAP。

https://cdn.ncbi.nlm.nih.gov/pmc/blobs/cf23/4118651/f47a82bc5d78/1471-2466-14-123-1.jpg

文献AI研究员

20分钟写一篇综述,助力文献阅读效率提升50倍。

立即体验

用中文搜PubMed

大模型驱动的PubMed中文搜索引擎

马上搜索

文档翻译

学术文献翻译模型,支持多种主流文档格式。

立即体验