Suppr超能文献

埃克替尼通过下调核因子κB介导的基质金属蛋白酶表达来抑制Tca8113细胞的侵袭。

Icotinib inhibits the invasion of Tca8113 cells via downregulation of nuclear factor κB-mediated matrix metalloproteinase expression.

作者信息

Yang Cailing, Yan Jianguo, Yuan Guoyan, Zhang Yinghua, Lu Derong, Ren Mingxin, Cui Weigang

机构信息

Department of Oral and Maxillofacial Surgery, The First Affiliated Hospital, Xinxiang Medical University, Weihui, Henan 453100, P.R. China.

Department of Human Anatomy, Xinxiang Medical University, Xinxiang, Henan 453003, P.R. China.

出版信息

Oncol Lett. 2014 Sep;8(3):1295-1298. doi: 10.3892/ol.2014.2311. Epub 2014 Jul 4.

Abstract

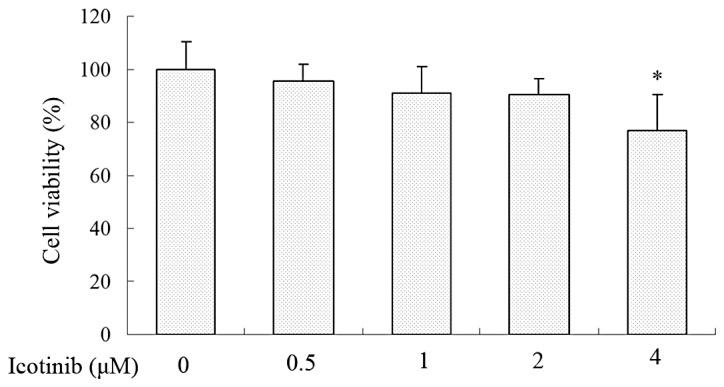
Icotinib is an epidermal growth factor receptor tyrosine kinase inhibitor, which has been revealed to inhibit proliferation in tumor cells. However, the effect of icotinib on cancer cell metastasis remains to be explained. This study examines the effect of icotinib on the migration and invasion of squamous cells of tongue carcinoma (Tca8113 cells) . The results of the Boyden chamber invasion assay demonstrated that icotinib reduced cell invasion, suppressed the protein levels of matrix metalloproteinases (MMPs), MMP-2 and MMP-9, and increased the expression of tissue inhibitor of metalloproteinase-1. In addition, icotinib was found to significantly decrease the protein levels of nuclear factor κB (NF-κB) p65, which suggested that icotinib inhibits NF-κB activity. Furthermore, treatment with the NF-κB inhibitor, pyrrolidine dithiocarbamate, suppressed cell invasion and MMP-2 expression. These results suggested that icotinib inhibits the invasion of Tca8113 cells by downregulating MMP via the inactivation of the NF-κB signaling pathways.

摘要

埃克替尼是一种表皮生长因子受体酪氨酸激酶抑制剂,已被证实可抑制肿瘤细胞的增殖。然而,埃克替尼对癌细胞转移的影响仍有待阐明。本研究考察了埃克替尼对舌癌鳞状细胞(Tca8113细胞)迁移和侵袭的影响。Boyden小室侵袭试验结果表明,埃克替尼可降低细胞侵袭能力,抑制基质金属蛋白酶(MMPs)、MMP-2和MMP-9的蛋白水平,并增加金属蛋白酶组织抑制剂-1的表达。此外,发现埃克替尼可显著降低核因子κB(NF-κB)p65的蛋白水平,这表明埃克替尼可抑制NF-κB活性。此外,用NF-κB抑制剂吡咯烷二硫代氨基甲酸盐处理可抑制细胞侵袭和MMP-2表达。这些结果表明,埃克替尼通过使NF-κB信号通路失活,下调MMP,从而抑制Tca8113细胞的侵袭。

https://cdn.ncbi.nlm.nih.gov/pmc/blobs/2017/4114659/0a4bd50cdddc/OL-08-03-1295-g00.jpg

文献AI研究员

20分钟写一篇综述,助力文献阅读效率提升50倍。

立即体验

用中文搜PubMed

大模型驱动的PubMed中文搜索引擎

马上搜索

文档翻译

学术文献翻译模型,支持多种主流文档格式。

立即体验