Ackaert Chloé, Kofler Stefan, Horejs-Hoeck Jutta, Zulehner Nora, Asam Claudia, von Grafenstein Susanne, Fuchs Julian E, Briza Peter, Liedl Klaus R, Bohle Barbara, Ferreira Fátima, Brandstetter Hans, Oostingh Gertie J, Duschl Albert
Department of Molecular Biology, University of Salzburg, Salzburg, Austria.
Department of Pathophysiology and Allergy Research and the Christian Doppler Laboratory for Immunomodulation, Medical University of Vienna, Vienna, Austria.
PLoS One. 2014 Aug 15;9(8):e104520. doi: 10.1371/journal.pone.0104520. eCollection 2014.
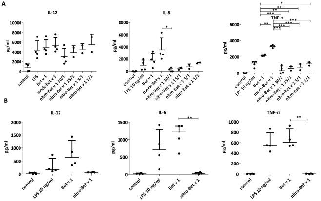
Allergy prevalence has increased in industrialized countries. One contributing factor could be pollution, which can cause nitration of allergens exogenously (in the air) or endogenously (in inflamed lung tissue). We investigated the impact of nitration on both the structural and immunological behavior of the major birch pollen allergen Bet v 1.0101 to determine whether nitration might be a factor in the increased incidence of allergy. Bet v 1.0101 was nitrated with tetranitromethane. Immune effects were assessed by measuring the proliferation of specific T-cell lines (TCLs) upon stimulation with different concentrations of nitrated and unmodified allergen, and by measurement of cytokine release of monocyte-derived dendritic cells (moDCs) and primary DCs (primDCs) stimulated with nitrated versus unmodified allergen. HPLC-MS, crystallography, gel electrophoresis, amino acid analysis, size exclusion chromatography and molecular dynamics simulation were performed to characterize structural changes after nitration of the allergen. The proliferation of specific TCLs was higher upon stimulation with the nitrated allergen in comparison to the unmodified allergen. An important structural consequence of nitration was oligomerization. Moreover, analysis of the crystal structure of nitrated Bet v 1.0101 showed that amino acid residue Y83, located in the hydrophobic cavity, was nitrated to 100%. Both moDCs and primDCs showed decreased production of TH1-priming cytokines, thus favoring a TH2 response. These results implicate that nitration of Bet v 1.0101 might be a contributing factor to the observed increase in birch pollen allergy, and emphasize the importance of protein modifications in understanding the molecular basis of allergenicity.
在工业化国家,过敏症的患病率有所上升。一个促成因素可能是污染,它可导致过敏原在外源性(空气中)或内源性(炎症肺部组织中)发生硝化作用。我们研究了硝化作用对主要桦树花粉过敏原Bet v 1.0101的结构和免疫行为的影响,以确定硝化作用是否可能是过敏症发病率上升的一个因素。用四硝基甲烷对Bet v 1.0101进行硝化。通过测量不同浓度的硝化和未修饰过敏原刺激下特异性T细胞系(TCLs)的增殖,以及测量硝化与未修饰过敏原刺激下单核细胞衍生树突状细胞(moDCs)和原代树突状细胞(primDCs)的细胞因子释放,评估免疫效应。进行了高效液相色谱-质谱分析、晶体学分析、凝胶电泳、氨基酸分析、尺寸排阻色谱和分子动力学模拟,以表征过敏原硝化后的结构变化。与未修饰的过敏原相比,硝化后的过敏原刺激下特异性TCLs的增殖更高。硝化作用的一个重要结构后果是寡聚化。此外,对硝化后的Bet v 1.0101晶体结构的分析表明,位于疏水腔内的氨基酸残基Y83有100%被硝化。moDCs和primDCs都显示出TH1启动细胞因子的产生减少,从而有利于TH2反应。这些结果表明,Bet v 1.0101的硝化作用可能是观察到的桦树花粉过敏增加的一个促成因素,并强调了蛋白质修饰在理解致敏性分子基础中的重要性。