Suppr超能文献

近红外光谱法测量下肢肌肉组织缺血及药物预处理对组织氧合的影响——一项初步研究

Effect of ischemic and pharmacological preconditioning of lower limb muscle tissue on tissue oxygenation measured by near-infrared spectroscopy--a pilot study.

作者信息

Fudickar Axel, Kunath Sarah, Voß Dana, Siggelkow Markus, Cavus Erol, Steinfath Markus, Bein Berthold

机构信息

Department of Anesthesiology and Intensive Care Medicine, University Hospital Schleswig-Holstein, Campus Kiel, Schwanenweg 21, Kiel D-24105, Germany.

Department of Cardiovascular Surgery, University Hospital Schleswig-Holstein, Campus Kiel, Kiel, Germany.

出版信息

BMC Anesthesiol. 2014 Jul 15;14:54. doi: 10.1186/1471-2253-14-54. eCollection 2014.

Abstract

BACKGROUND

Ischemic or volatile anesthetic preconditioning is defined as tissue protection from impending ischemic cell damage by repetitive short periods of tissue exposure to ischemia or volatile anesthetics. Objective of this study was to elucidate, if ischemic preconditioning and pharmacological preconditioning with sevoflurane have effects on muscle tissue oxygen saturation in patients undergoing surgical revascularization of the lower limb.

METHODS

In this prospective randomized pilot study ischemic and pharmacological (sevoflurane) preconditioning was performed in 40 patients with lower limb arterial occlusive disease undergoing surgical revascularization. Sevoflurane preconditioning was performed in one group (N = 20) by repetitive application of sevoflurane for six minutes interspersed by six minutes of washout. Thereafter, ischemic preconditioning was performed in all patients (N = 40) by repetitive clamping of the femoral artery for six minutes interspersed by six minutes of reperfusion. The effect of both procedures on leg muscle tissue oxygen saturation (rSO2) was measured by near-infrared spectroscopy during both procedures and during surgery and reperfusion (INVOS® 5100C Oxymeter with Small Adult SomaSensor® SAFB-SM, Somanetics, Troy, Michigan, USA).

RESULTS

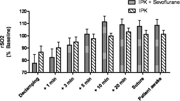
Repetitive clamping and reperfusion of the femoral artery resulted in significant cyclic decrease and increase of muscle rSO2 (p < 0.0001). Pharmacological preconditioning with sevoflurane resulted in a faster and higher increase of rSO2 during postoperative reperfusion (Maximal 111% baseline ± 20 versus 103% baseline ± 14, p = 0.008) consistent with an additional effect of pharmacological preconditioning on leg perfusion.

CONCLUSIONS

Ischemic preconditioning of lower limb muscle tissue and pharmacological preconditioning with sevoflurane have an effect on tissue oxygenation in patients with lower limb occlusive arterial disease.

TRIAL REGISTRATION

The trial has been registrated at http://www.ClinicalTrial.gov,

TRIAL NUMBER

NCT02038062 at 14 January 2014.

摘要

背景

缺血预处理或挥发性麻醉药预处理被定义为通过短时间重复暴露于缺血或挥发性麻醉药来保护组织免受即将发生的缺血性细胞损伤。本研究的目的是阐明缺血预处理和七氟醚药物预处理对接受下肢血管重建手术患者肌肉组织氧饱和度的影响。

方法

在这项前瞻性随机试验研究中,对40例接受下肢血管重建手术的下肢动脉闭塞性疾病患者进行缺血预处理和药物(七氟醚)预处理。一组(N = 20)通过重复应用七氟醚6分钟,中间间隔6分钟冲洗来进行七氟醚预处理。此后,对所有患者(N = 40)通过重复夹闭股动脉6分钟,中间间隔6分钟再灌注来进行缺血预处理。在这两种预处理过程以及手术和再灌注期间,通过近红外光谱法(使用美国密歇根州特洛伊市Somanetics公司的带有小型成人躯体传感器SAFB - SM的INVOS® 5100C血氧仪)测量这两种处理对腿部肌肉组织氧饱和度(rSO2)的影响。

结果

股动脉的重复夹闭和再灌注导致肌肉rSO2显著周期性下降和升高(p < 0.0001)。七氟醚药物预处理导致术后再灌注期间rSO2升高更快且更高(最大为基线的111% ± 20,而基线的103% ± 14,p = 0.008),这与药物预处理对腿部灌注的额外作用一致。

结论

下肢肌肉组织的缺血预处理和七氟醚药物预处理对下肢闭塞性动脉疾病患者的组织氧合有影响。

试验注册

该试验已在http://www.ClinicalTrial.gov注册,

试验编号

2014年1月14日的NCT02038062。

https://cdn.ncbi.nlm.nih.gov/pmc/blobs/01f1/4134469/b501c924256d/1471-2253-14-54-1.jpg

文献AI研究员

20分钟写一篇综述,助力文献阅读效率提升50倍。

立即体验

用中文搜PubMed

大模型驱动的PubMed中文搜索引擎

马上搜索

文档翻译

学术文献翻译模型,支持多种主流文档格式。

立即体验