Suppr超能文献

新鲜血清和新鲜滑液中降钙素原水平用于膝关节化脓性关节炎与类风湿关节炎、骨关节炎和痛风性关节炎的鉴别诊断。

Procalcitonin levels in fresh serum and fresh synovial fluid for the differential diagnosis of knee septic arthritis from rheumatoid arthritis, osteoarthritis and gouty arthritis.

作者信息

Wang Chenggong, Zhong DA, Liao Qiande, Kong Lingyu, Liu Ansong, Xiao Han

机构信息

Department of Orthopedics, Xiangya Hospital, Central South University, Changsha, Hunan 410008, P.R. China.

出版信息

Exp Ther Med. 2014 Oct;8(4):1075-1080. doi: 10.3892/etm.2014.1870. Epub 2014 Jul 29.

Abstract

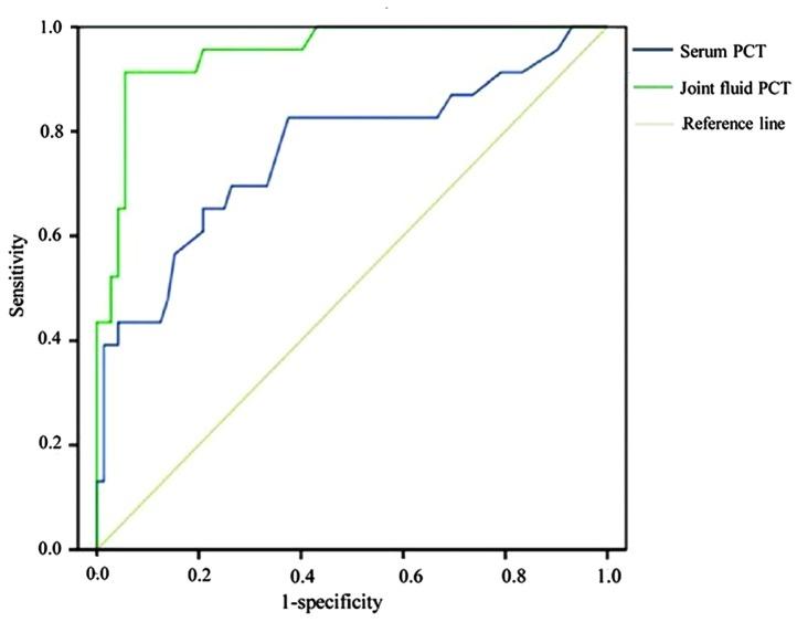
Whether the levels of procalcitonin (PCT) in the serum and synovial fluid are effective indicators for distinguishing septic arthritis (SA) from non-infectious arthritis remains controversial. The present study aimed to evaluate whether PCT levels in fresh serum or fresh joint fluid may be used in the differential diagnosis of SA from rheumatoid arthritis (RA), osteoarthritis (OA) and gouty arthritis (GA). From January 2012 to June 2013, 23 patients with knee SA, 21 patients with RA, 40 patients with OA and 11 patients with GA were enrolled in the current study. The levels of PCT were measured within 24 h after specimen collection at room temperature. An enzyme-linked fluorescence assay (ELFA) was used to detect the levels of PCT in the serum and synovial fluid. The correlations between the levels of PCT in the serum and synovial fluid and the arthritic patient groups were determined by the Nemenyi test. Areas under the receiver operating characteristic (ROC) curve were calculated to evaluate the accuracy of the correlations. The levels of PCT in the serum and joint fluid of the patients in the SA group were higher compared with those of the other groups (P<0.01) and there were no significant differences among the RA, OA and GA groups in these levels. A PCT level of <0.5 μg/l in the serum and synovial fluid had high specificity in the differential diagnosis of SA from RA, OA and GA. Synovial fluid PCT revealed significantly greater sensitivity than serum PCT. The accuracy of the differential diagnosis of SA by the serum levels of PCT was significantly lower than that by the synovial fluid levels of PCT. The levels of PCT in the serum and synovial fluid may be used as alternative laboratory indicators to distinguish between SA and the non-infectious types of arthritis; however, the PCT levels in fresh synovial fluid are more sensitive and accurate indicators than PCT levels in fresh serum.

摘要

血清和滑液中降钙素原(PCT)水平是否为区分脓毒性关节炎(SA)与非感染性关节炎的有效指标仍存在争议。本研究旨在评估新鲜血清或新鲜关节液中的PCT水平是否可用于SA与类风湿关节炎(RA)、骨关节炎(OA)和痛风性关节炎(GA)的鉴别诊断。2012年1月至2013年6月,本研究纳入了23例膝关节SA患者、21例RA患者、40例OA患者和11例GA患者。标本在室温下采集后24小时内测定PCT水平。采用酶联荧光分析法(ELFA)检测血清和滑液中的PCT水平。血清和滑液中PCT水平与关节炎患者组之间的相关性通过Nemenyi检验确定。计算受试者工作特征(ROC)曲线下面积以评估相关性的准确性。SA组患者血清和关节液中的PCT水平高于其他组(P<0.01),RA、OA和GA组之间的这些水平无显著差异。血清和滑液中PCT水平<0.5μg/l在SA与RA、OA和GA的鉴别诊断中具有高特异性。滑液PCT显示出比血清PCT更高的敏感性。血清PCT水平对SA的鉴别诊断准确性显著低于滑液PCT水平。血清和滑液中的PCT水平可作为区分SA与非感染性关节炎类型的替代实验室指标;然而,新鲜滑液中的PCT水平比新鲜血清中的PCT水平更敏感和准确。

https://cdn.ncbi.nlm.nih.gov/pmc/blobs/c181/4151653/70860fdaa22e/ETM-08-04-1075-g00.jpg

文献AI研究员

20分钟写一篇综述,助力文献阅读效率提升50倍。

立即体验

用中文搜PubMed

大模型驱动的PubMed中文搜索引擎

马上搜索

文档翻译

学术文献翻译模型,支持多种主流文档格式。

立即体验