Montero Manuel, Rahimpour Mehdi, Viale Alejandro M, Almagro Goizeder, Eydallin Gustavo, Sevilla Ángel, Cánovas Manuel, Bernal Cristina, Lozano Ana Belén, Muñoz Francisco José, Baroja-Fernández Edurne, Bahaji Abdellatif, Mori Hirotada, Codoñer Francisco M, Pozueta-Romero Javier
Instituto de Agrobiotecnología, UPNA/CSIC/Gobierno de Navarra, Mutiloabeti, Nafarroa, Spain.
Instituto de Agrobiotecnología, UPNA/CSIC/Gobierno de Navarra, Mutiloabeti, Nafarroa, Spain; Instituto de Biología Molecular y Celular de Rosario (IBR, CONICET), Departamento de Microbiología, Facultad de Ciencias Bioquímicas y Farmacéuticas, Universidad Nacional de Rosario, Rosario, Argentina.
PLoS One. 2014 Sep 4;9(9):e106938. doi: 10.1371/journal.pone.0106938. eCollection 2014.
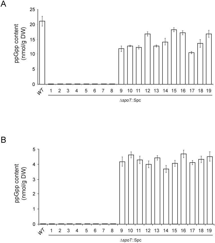
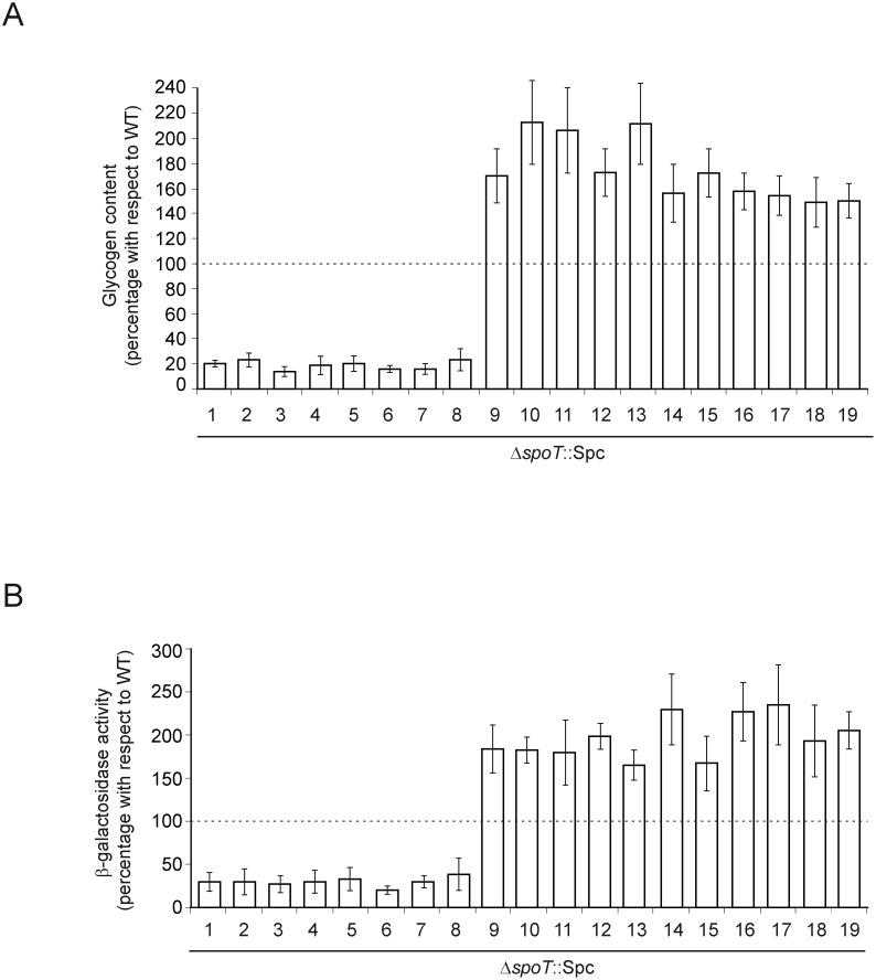
In Escherichia coli, ppGpp is a major determinant of growth and glycogen accumulation. Levels of this signaling nucleotide are controlled by the balanced activities of the ppGpp RelA synthetase and the dual-function hydrolase/synthetase SpoT. Here we report the construction of spoT null (ΔspoT) mutants obtained by transducing a ΔspoT allele from ΔrelAΔspoT double mutants into relA+ cells. Iodine staining of randomly selected transductants cultured on a rich complex medium revealed differences in glycogen content among them. Sequence and biochemical analyses of 8 ΔspoT clones displaying glycogen-deficient phenotypes revealed different inactivating mutations in relA and no detectable ppGpp when cells were cultured on a rich complex medium. Remarkably, although the co-existence of ΔspoT with relA proficient alleles has generally been considered synthetically lethal, we found that 11 ΔspoT clones displaying high glycogen phenotypes possessed relA mutant alleles with non-inactivating mutations that encoded stable RelA proteins and ppGpp contents reaching 45-85% of those of wild type cells. None of the ΔspoT clones, however, could grow on M9-glucose minimal medium. Both Sanger sequencing of specific genes and high-throughput genome sequencing of the ΔspoT clones revealed that suppressor mutations were restricted to the relA locus. The overall results (a) defined in around 4 nmoles ppGpp/g dry weight the threshold cellular levels that suffice to trigger net glycogen accumulation, (b) showed that mutations in relA, but not necessarily inactivating mutations, can be selected to compensate total SpoT function(s) loss, and (c) provided useful tools for studies of the in vivo regulation of E. coli RelA ppGpp synthetase.
在大肠杆菌中,鸟苷四磷酸(ppGpp)是生长和糖原积累的主要决定因素。这种信号核苷酸的水平由ppGpp RelA合成酶和双功能水解酶/合成酶SpoT的平衡活性控制。在此,我们报告了spoT缺失(ΔspoT)突变体的构建,该突变体是通过将来自ΔrelAΔspoT双突变体的ΔspoT等位基因转导到relA⁺细胞中获得的。对在丰富复合培养基上培养的随机选择的转导子进行碘染色,发现它们之间糖原含量存在差异。对8个表现出糖原缺陷表型的ΔspoT克隆进行序列和生化分析,发现在丰富复合培养基上培养细胞时,relA中有不同的失活突变,且未检测到ppGpp。值得注意的是,尽管一般认为ΔspoT与relA功能正常的等位基因共存具有合成致死性,但我们发现11个表现出高糖原表型的ΔspoT克隆具有relA突变等位基因,这些突变是非失活突变,编码稳定的RelA蛋白,且ppGpp含量达到野生型细胞的45 - 85%。然而,没有一个ΔspoT克隆能够在M9 - 葡萄糖基本培养基上生长。对ΔspoT克隆的特定基因进行桑格测序和高通量基因组测序均表明,抑制突变仅限于relA基因座。总体结果如下:(a)确定了约4纳摩尔ppGpp/克干重是足以触发净糖原积累的细胞阈值水平;(b)表明可以选择relA中的突变(不一定是失活突变)来补偿SpoT总功能的丧失;(c)为研究大肠杆菌RelA ppGpp合成酶的体内调节提供了有用的工具。