Suppr超能文献

熊去氧胆酸改善果糖诱导的大鼠代谢综合征。

Ursodeoxycholic acid ameliorates fructose-induced metabolic syndrome in rats.

作者信息

Mahmoud Amr A A, Elshazly Shimaa M

机构信息

Department of Pharmacology, Faculty of Pharmacy, Zagazig University, Zagazig, Egypt.

出版信息

PLoS One. 2014 Sep 9;9(9):e106993. doi: 10.1371/journal.pone.0106993. eCollection 2014.

Abstract

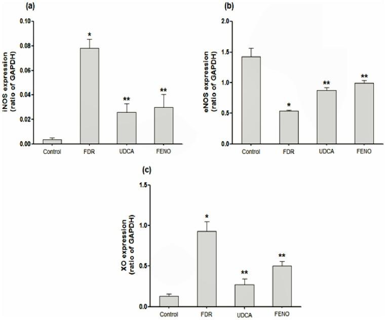
The metabolic syndrome (MS) is characterized by insulin resistance, dyslipidemia and hypertension. It is associated with increased risk of cardiovascular diseases and type-2 diabetes. Consumption of fructose is linked to increased prevalence of MS. Ursodeoxycholic acid (UDCA) is a steroid bile acid with antioxidant, anti-inflammatory activities and has been shown to improve insulin resistance. The current study aims to investigate the effect of UDCA (150 mg/kg) on MS induced in rats by fructose administration (10%) in drinking water for 12 weeks. The effects of UDCA were compared to fenofibrate (100 mg/kg), an agonist of PPAR-α receptors. Treatment with UDCA or fenofibrate started from the 6th week after fructose administration once daily. Fructose administration resulted in significant increase in body weight, elevations of blood glucose, serum insulin, cholesterol, triglycerides, advanced glycation end products (AGEs), uric acid levels, insulin resistance index and blood pressure compared to control rats. Moreover, fructose increased oxidative stress in aortic tissues indicated by significant increases of malondialdehyde (MDA), expression of iNOS and reduction of reduced glutathione (GSH) content. These disturbances were associated with decreased eNOS expression, increased infiltration of leukocytes and loss of aortic vascular elasticity. Treatment with UDCA successfully ameliorated the deleterious effects of fructose. The protective effect of UDCA could be attributed to its ability to decrease uric acid level, improve insulin resistance and diminish oxidative stress in vascular tissues. These results might support possible clinical application of UDCA in MS patients especially those present with liver diseases, taking into account its tolerability and safety. However, further investigations on human subjects are needed before the clinical application of UDCA for this indication.

摘要

代谢综合征(MS)的特征是胰岛素抵抗、血脂异常和高血压。它与心血管疾病和2型糖尿病的风险增加有关。果糖的摄入与MS患病率的增加有关。熊去氧胆酸(UDCA)是一种具有抗氧化、抗炎活性的甾体胆汁酸,已被证明可改善胰岛素抵抗。本研究旨在探讨UDCA(150mg/kg)对通过在饮水中给予10%果糖12周诱导大鼠产生的MS的影响。将UDCA的作用与非诺贝特(100mg/kg)(一种PPAR-α受体激动剂)进行比较。从给予果糖后的第6周开始,每天一次给予UDCA或非诺贝特进行治疗。与对照大鼠相比,给予果糖导致体重显著增加、血糖、血清胰岛素、胆固醇、甘油三酯、晚期糖基化终产物(AGEs)、尿酸水平、胰岛素抵抗指数和血压升高。此外,果糖增加了主动脉组织中的氧化应激,表现为丙二醛(MDA)显著增加、诱导型一氧化氮合酶(iNOS)表达增加以及还原型谷胱甘肽(GSH)含量降低。这些紊乱与内皮型一氧化氮合酶(eNOS)表达降低、白细胞浸润增加和主动脉血管弹性丧失有关。给予UDCA成功改善了果糖的有害作用。UDCA的保护作用可能归因于其降低尿酸水平、改善胰岛素抵抗和减轻血管组织氧化应激的能力。考虑到UDCA的耐受性和安全性,这些结果可能支持其在MS患者尤其是伴有肝脏疾病的患者中的临床应用可能性。然而,在将UDCA用于该适应症的临床应用之前,还需要对人类受试者进行进一步研究。

https://cdn.ncbi.nlm.nih.gov/pmc/blobs/5fb6/4159285/a5c073bb558c/pone.0106993.g001.jpg

文献AI研究员

20分钟写一篇综述,助力文献阅读效率提升50倍。

立即体验

用中文搜PubMed

大模型驱动的PubMed中文搜索引擎

马上搜索

文档翻译

学术文献翻译模型,支持多种主流文档格式。

立即体验