Suppr超能文献

血清富含亮氨酸的α-2糖蛋白作为类风湿关节炎患者疾病活动生物标志物的效用。

Usefulness of serum leucine-rich alpha-2 glycoprotein as a disease activity biomarker in patients with rheumatoid arthritis.

作者信息

Ha You Jung, Kang Eun-Jin, Lee Sang-Won, Lee Soo-Kon, Park Yong-Beom, Song Jung-Soo, Choi Sang Tae

机构信息

Division of Rheumatology, Department of Internal Medicine, Seoul National University Bundang Hospital, Seongnam, Korea.

Division of Rheumatology, Department of Internal Medicine, Busan Medical Center, Busan, Korea.

出版信息

J Korean Med Sci. 2014 Sep;29(9):1199-204. doi: 10.3346/jkms.2014.29.9.1199. Epub 2014 Sep 2.

Abstract

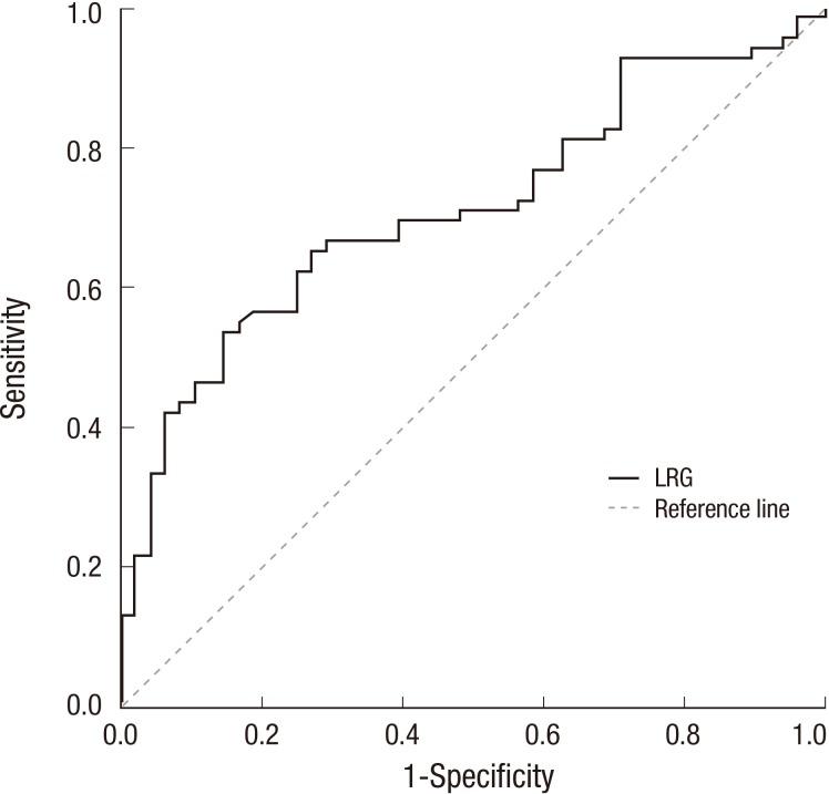
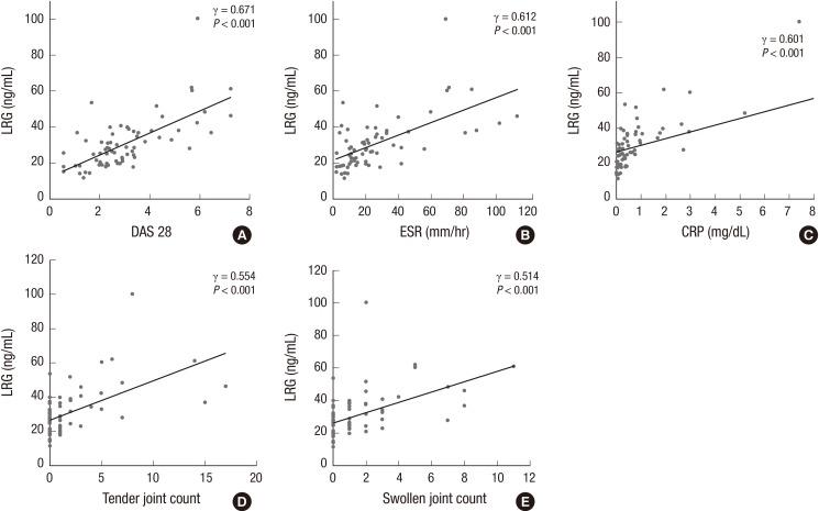
Our study aimed to investigate whether serum leucine-rich alpha-2-glycoprotein (LRG) levels are elevated in patients with rheumatoid arthritis (RA). In addition, we assessed their correlation with disease activity parameters and pro-inflammatory cytokine, tumor necrosis factor-α (TNF-α). Our study included 69 patients with RA and 48 age- and sex-matched healthy controls. Serum concentrations of TNF-α and LRG were determined by enzyme-linked immunosorbent assay. Serum LRG concentrations were significantly elevated in patients with RA compared with those in healthy controls (30.8 ± 14.4 vs. 22.2 ± 6.1 ng/mL; P<0.001). In patients with RA, serum LRG levels were found to be correlated with disease activity score 28 (DAS28), erythrocyte sedimentation rate, and C-reactive protein levels (γ=0.671; γ=0.612; and γ=0.601, P<0.001, respectively), but not with serum TNF-α levels. Serum LRG levels in patients with an active disease status (DAS28≥2.6) were significantly higher than those in remission (DAS28<2.6) (36.45 ± 14.36 vs. 24.63 ± 8.81 ng/mL; P<0.001). Our findings suggest that serum LRG could contribute to the inflammatory process independent of TNF-α and it may be a novel biomarker for assessing inflammatory activity in patients with RA.

摘要

我们的研究旨在调查类风湿关节炎(RA)患者的血清富含亮氨酸的α-2-糖蛋白(LRG)水平是否升高。此外,我们评估了其与疾病活动参数以及促炎细胞因子肿瘤坏死因子-α(TNF-α)的相关性。我们的研究纳入了69例RA患者和48例年龄及性别匹配的健康对照者。采用酶联免疫吸附测定法测定血清TNF-α和LRG浓度。与健康对照者相比,RA患者的血清LRG浓度显著升高(30.8±14.4 vs. 22.2±6.1 ng/mL;P<0.001)。在RA患者中,发现血清LRG水平与疾病活动评分28(DAS28)、红细胞沉降率和C反应蛋白水平相关(γ分别为0.671、0.612和0.601,P均<0.001),但与血清TNF-α水平无关。疾病活动状态为DAS28≥2.6的患者血清LRG水平显著高于缓解期(DAS28<2.6)的患者(36.45±14.36 vs. 24.63±8.81 ng/mL;P<0.001)。我们的研究结果表明,血清LRG可能独立于TNF-α参与炎症过程,并且可能是评估RA患者炎症活动的一种新型生物标志物。

https://cdn.ncbi.nlm.nih.gov/pmc/blobs/a14f/4168171/beb6cd1d4fe0/jkms-29-1199-g001.jpg

相似文献

1
Usefulness of serum leucine-rich alpha-2 glycoprotein as a disease activity biomarker in patients with rheumatoid arthritis.
J Korean Med Sci. 2014 Sep;29(9):1199-204. doi: 10.3346/jkms.2014.29.9.1199. Epub 2014 Sep 2.
2
Serum leucine-rich α2-glycoprotein is a useful biomarker for monitoring disease activity in patients with adult-onset Still's disease.
Scand J Rheumatol. 2015;44(5):399-403. doi: 10.3109/03009742.2015.1016103. Epub 2015 Jun 16.
6
Serum leucine-rich alpha-2 glycoprotein is a disease activity biomarker in ulcerative colitis.
Inflamm Bowel Dis. 2012 Nov;18(11):2169-79. doi: 10.1002/ibd.22936. Epub 2012 Feb 28.
7
Leucine-rich Alpha-2 Glycoprotein is a Serum Biomarker of Mucosal Healing in Ulcerative Colitis.
J Crohns Colitis. 2017 Jan;11(1):84-91. doi: 10.1093/ecco-jcc/jjw132. Epub 2016 Jul 27.
9
Serum-soluble folate receptor β as a biomarker for the activity of rheumatoid arthritis synovitis and the response to anti-TNF agents.
Clin Rheumatol. 2018 Nov;37(11):2939-2945. doi: 10.1007/s10067-018-4202-3. Epub 2018 Jul 18.

引用本文的文献

1
Circulating TNF-α levels in rheumatoid arthritis: a systematic review and meta-analysis and comparison to TNF-α levels in sepsis.
Ther Adv Infect Dis. 2025 Sep 1;12:20499361251368006. doi: 10.1177/20499361251368006. eCollection 2025 Jan-Dec.
4
F-FDG-PET/MR imaging to monitor disease activity in large vessel vasculitis.
Nat Commun. 2024 Aug 25;15(1):7314. doi: 10.1038/s41467-024-51613-1.
5
LRG1 promotes atherosclerosis by inducing macrophage M1-like polarization.
Proc Natl Acad Sci U S A. 2024 Aug 27;121(35):e2405845121. doi: 10.1073/pnas.2405845121. Epub 2024 Aug 23.
6
Early change in serum leucine-rich α-2-glycoprotein predicts clinical and endoscopic response in ulcerative colitis.
Intest Res. 2024 Oct;22(4):473-483. doi: 10.5217/ir.2023.00135. Epub 2024 Jun 5.
7
Differences in the Synovial Fluid Proteome of Septic and Aseptic Implant Failure.
Antibiotics (Basel). 2024 Apr 9;13(4):346. doi: 10.3390/antibiotics13040346.
10
LRG1: an emerging player in disease pathogenesis.
J Biomed Sci. 2022 Jan 21;29(1):6. doi: 10.1186/s12929-022-00790-6.

本文引用的文献

1
LRG1 promotes angiogenesis by modulating endothelial TGF-β signalling.
Nature. 2013 Jul 18;499(7458):306-11. doi: 10.1038/nature12345.
2
Proteomic and cytokine plasma biomarkers for predicting progression from colorectal adenoma to carcinoma in human patients.
Proteomics. 2013 Aug;13(15):2361-74. doi: 10.1002/pmic.201200550. Epub 2013 Jun 18.
4
Interleukin 22, a potential therapeutic target for rheumatoid arthritis.
J Rheumatol. 2012 Nov;39(11):2220; author reply 2221. doi: 10.3899/jrheum.120757.
5
Serum leucine-rich alpha-2 glycoprotein is a disease activity biomarker in ulcerative colitis.
Inflamm Bowel Dis. 2012 Nov;18(11):2169-79. doi: 10.1002/ibd.22936. Epub 2012 Feb 28.
6
Brain localization of leucine-rich α2-glycoprotein and its role.
Acta Neurochir Suppl. 2012;113:97-101. doi: 10.1007/978-3-7091-0923-6_20.
8
Measurement of interleukin-33 (IL-33) and IL-33 receptors (sST2 and ST2L) in patients with rheumatoid arthritis.
J Korean Med Sci. 2011 Sep;26(9):1132-9. doi: 10.3346/jkms.2011.26.9.1132. Epub 2011 Sep 1.
9
Angiogenesis in rheumatoid arthritis: a disease specific process or a common response to chronic inflammation?
Autoimmun Rev. 2011 Aug;10(10):595-8. doi: 10.1016/j.autrev.2011.04.020. Epub 2011 Apr 27.

文献AI研究员

20分钟写一篇综述,助力文献阅读效率提升50倍。

立即体验

用中文搜PubMed

大模型驱动的PubMed中文搜索引擎

马上搜索

文档翻译

学术文献翻译模型,支持多种主流文档格式。

立即体验