Suppr超能文献

由磺酰胺三脚架配体支撑的铁(II)配合物:内源性与外源性底物氧化

Iron(II) complexes supported by sulfonamido tripodal ligands: endogenous versus exogenous substrate oxidation.

作者信息

Cook Sarah A, Ziller Joseph W, Borovik A S

机构信息

Department of Chemistry, University of California-Irvine , 1102 Natural Sciences II, Irvine, California 92697, United States.

出版信息

Inorg Chem. 2014 Oct 20;53(20):11029-35. doi: 10.1021/ic501531g. Epub 2014 Sep 29.

Abstract

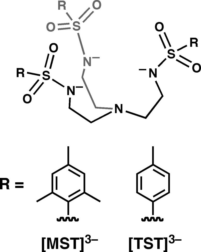
High-valent iron species are known to act as powerful oxidants in both natural and synthetic systems. While biological enzymes have evolved to prevent self-oxidation by these highly reactive species, development of organic ligand frameworks that are capable of supporting a high-valent iron center remains a challenge in synthetic chemistry. We describe here the reactivity of an Fe(II) complex that is supported by a tripodal sulfonamide ligand with both dioxygen and an oxygen-atom transfer reagent, 4-methylmorpholine-N-oxide (NMO). An Fe(III)-hydroxide complex is obtained from reaction with dioxygen, while NMO gives an Fe(III)-alkoxide product resulting from activation of a C-H bond of the ligand. Inclusion of Ca(2+) ions in the reaction with NMO prevented this ligand activation and resulted in isolation of an Fe(III)-hydroxide complex in which the Ca(2+) ion is coordinated to the tripodal sulfonamide ligand and the hydroxo ligand. Modification of the ligand allowed the Fe(III)-hydroxide complex to be isolated from NMO in the absence of Ca(2+) ions, and a C-H bond of an external substrate could be activated during the reaction. This study highlights the importance of robust ligand design in the development of synthetic catalysts that utilize a high-valent iron center.

摘要

高价铁物种在天然和合成体系中均作为强氧化剂。虽然生物酶已经进化以防止被这些高反应性物种自氧化,但开发能够支持高价铁中心的有机配体骨架在合成化学中仍然是一个挑战。我们在此描述了一种由三脚架型磺酰胺配体支撑的Fe(II)配合物与双原子氧和氧原子转移试剂4-甲基吗啉-N-氧化物(NMO)的反应活性。与双原子氧反应得到一种氢氧化铁(III)配合物,而NMO则产生一种由配体的C-H键活化生成的铁(III)-醇盐产物。在与NMO的反应中加入Ca(2+)离子可防止这种配体活化,并导致分离出一种氢氧化铁(III)配合物,其中Ca(2+)离子与三脚架型磺酰胺配体和羟基配体配位。配体的修饰使得在没有Ca(2+)离子的情况下能够从NMO中分离出氢氧化铁(III)配合物,并且在反应过程中外部底物的C-H键能够被活化。这项研究突出了在开发利用高价铁中心的合成催化剂中稳健配体设计的重要性。

https://cdn.ncbi.nlm.nih.gov/pmc/blobs/e17c/4203402/4a13e314ec3d/ic-2014-01531g_0001.jpg

文献AI研究员

20分钟写一篇综述,助力文献阅读效率提升50倍。

立即体验

用中文搜PubMed

大模型驱动的PubMed中文搜索引擎

马上搜索

文档翻译

学术文献翻译模型,支持多种主流文档格式。

立即体验