Suppr超能文献

尿苷-2'-基自由基的独立生成与反应活性。

Independent generation and reactivity of uridin-2'-yl radical.

作者信息

Paul Rakesh, Greenberg Marc M

机构信息

Department of Chemistry, Johns Hopkins University 3400 North Charles Street, Baltimore, Maryland 21218, United States.

出版信息

J Org Chem. 2014 Nov 7;79(21):10303-10. doi: 10.1021/jo501916r. Epub 2014 Oct 17.

Abstract

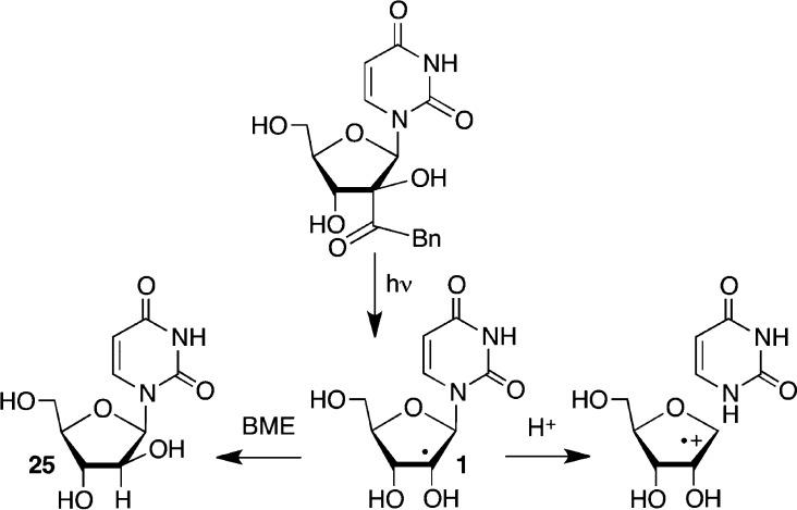
The uridin-2'-yl radical (1) has been proposed as an intermediate during RNA oxidation. However, its reactivity has not been thoroughly studied due to the complex conditions under which it is typically generated. The uridin-2'-yl radical was independently generated from a benzyl ketone (2a) via Norrish type I photocleavage upon irradiation at λmax = 350 nm. Dioxygen and β-mercaptoethanol are unable to compete with loss of uracil from 1 in phosphate buffer. Thiol trapping competes with uracil fragmentation in less polar solvent conditions. This is ascribed mostly to a reduction in the rate constant for uracil elimination in the less polar solvent. Hydrogen atom transfer to 1 from β-mercaptoethanol occurs exclusively from the α-face to produce arabinouridine. Mass balances range from 72 to 95%. Furthermore, the synthesis of 2a is amenable to formation of the requisite phosphoramidite for solid-phase oligonucleotide synthesis. This and the fidelity with which the urdin-2'-yl radical is generated from 2a suggest that this precursor should be useful for studying the radical's reactivity in synthetic oligonucleotides.

摘要

尿苷-2'-基自由基(1)被认为是RNA氧化过程中的一种中间体。然而,由于其通常在复杂条件下产生,其反应活性尚未得到充分研究。尿苷-2'-基自由基是通过在λmax = 350 nm照射下,由苄基酮(2a)经Norrish I型光裂解独立产生的。在磷酸盐缓冲液中,氧气和β-巯基乙醇无法与1中尿嘧啶的损失竞争。在极性较小的溶剂条件下,硫醇捕获与尿嘧啶碎片化相互竞争。这主要归因于在极性较小的溶剂中尿嘧啶消除速率常数的降低。β-巯基乙醇向1的氢原子转移仅从α面发生,生成阿拉伯糖基尿苷。质量平衡范围为72%至95%。此外,2a的合成适合形成用于固相寡核苷酸合成的所需亚磷酰胺。这一点以及从2a生成尿苷-2'-基自由基的保真度表明,这种前体对于研究该自由基在合成寡核苷酸中的反应活性应该是有用的。

https://cdn.ncbi.nlm.nih.gov/pmc/blobs/6a7c/4227586/0e74a89c60b9/jo-2014-01916r_0004.jpg

文献检索

告别复杂PubMed语法,用中文像聊天一样搜索,搜遍4000万医学文献。AI智能推荐,让科研检索更轻松。

立即免费搜索

文件翻译

保留排版,准确专业,支持PDF/Word/PPT等文件格式,支持 12+语言互译。

免费翻译文档

深度研究

AI帮你快速写综述,25分钟生成高质量综述,智能提取关键信息,辅助科研写作。

立即免费体验