Suppr超能文献

模仿学习作为集体大脑的连接方式。

Imitative learning as a connector of collective brains.

作者信息

Fontanari José F

机构信息

Instituto de Física de São Carlos, Universidade de São Paulo, São Carlos, Brazil.

出版信息

PLoS One. 2014 Oct 16;9(10):e110517. doi: 10.1371/journal.pone.0110517. eCollection 2014.

Abstract

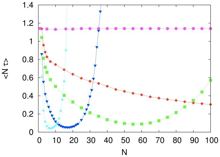
The notion that cooperation can aid a group of agents to solve problems more efficiently than if those agents worked in isolation is prevalent in computer science and business circles. Here we consider a primordial form of cooperation - imitative learning - that allows an effective exchange of information between agents, which are viewed as the processing units of a social intelligence system or collective brain. In particular, we use agent-based simulations to study the performance of a group of agents in solving a cryptarithmetic problem. An agent can either perform local random moves to explore the solution space of the problem or imitate a model agent - the best performing agent in its influence network. There is a trade-off between the number of agents N and the imitation probability p, and for the optimal balance between these parameters we observe a thirtyfold diminution in the computational cost to find the solution of the cryptarithmetic problem as compared with the independent search. If those parameters are chosen far from the optimal setting, however, then imitative learning can impair greatly the performance of the group.

摘要

合作能够帮助一组智能体比各自孤立工作更高效地解决问题,这一观念在计算机科学和商业领域颇为盛行。在此,我们考虑一种原始的合作形式——模仿学习,它能使智能体之间进行有效的信息交换,这些智能体被视为社会智能系统或集体大脑的处理单元。具体而言,我们运用基于智能体的模拟来研究一组智能体在解决密码算术问题时的表现。一个智能体既可以进行局部随机移动以探索问题的解空间,也可以模仿一个模范智能体——其影响网络中表现最佳的智能体。在智能体数量N和模仿概率p之间存在一种权衡,对于这些参数之间的最优平衡,我们观察到与独立搜索相比,找到密码算术问题的解的计算成本降低了30倍。然而,如果这些参数的选择远离最优设置,那么模仿学习会极大地损害该群体的表现。

https://cdn.ncbi.nlm.nih.gov/pmc/blobs/e5f1/4199724/9514b89686e7/pone.0110517.g001.jpg

文献检索

告别复杂PubMed语法,用中文像聊天一样搜索,搜遍4000万医学文献。AI智能推荐,让科研检索更轻松。

立即免费搜索

文件翻译

保留排版,准确专业,支持PDF/Word/PPT等文件格式,支持 12+语言互译。

免费翻译文档

深度研究

AI帮你快速写综述,25分钟生成高质量综述,智能提取关键信息,辅助科研写作。

立即免费体验