Suppr超能文献

嘧啶衍生物的合成、X射线衍射、热重分析及密度泛函理论分析

Synthesis, X-ray diffraction, thermogravimetric and DFT analyses of pyrimidine derivatives.

作者信息

Barakat Assem, Al-Najjar Hany J, Al-Majid Abdullah M, Adil Syed F, Ali Mohamed, Masand Vijay H, Ghabbour Hazem A, Fun Hoong-Kun

机构信息

Department of Chemistry, College of Science, King Saud University, P.O. Box 2455, Riyadh 11451, Saudi Arabia.

Petrochemical Research Chair, Department of Chemistry, College of Science, King Saud University, B.O. 2455, Riaydh 11451, Saudi Arabia.

出版信息

Molecules. 2014 Oct 24;19(11):17187-201. doi: 10.3390/molecules191117187.

Abstract

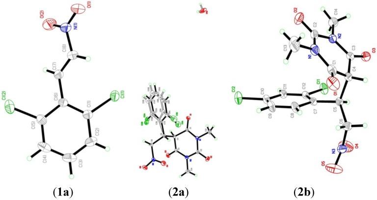
An eco-benign synthesis of pyrimidine derivatives 2a,b containing different functional groups with different electronic character starting from nitroalkenes 1a and 2b has been described. The structures for 1a and 2a,b have been characterized by single crystal X-ray diffraction analysis. The thermal data of the molecules pointed towards important structural aspects of their stability. The mechanism of their thermal decomposition is discussed. The thermodynamic parameters of the dissociation steps were evaluated and discussed. DFT calculations reveal that the compound 1a possesses a high calculated dipole moment value (8.28 D) which indicates its high reactivity towards its surrounding molecules.

摘要

已经描述了一种从硝基烯烃1a和2b出发,生态友好地合成含有不同电子特性的不同官能团的嘧啶衍生物2a、b的方法。1a和2a、b的结构已通过单晶X射线衍射分析进行了表征。分子的热数据表明了它们稳定性的重要结构方面。讨论了它们的热分解机理。评估并讨论了解离步骤的热力学参数。密度泛函理论(DFT)计算表明,化合物1a具有较高的计算偶极矩值(8.28 D),这表明它对周围分子具有高反应活性。

https://cdn.ncbi.nlm.nih.gov/pmc/blobs/b50f/6271542/60b7fecb1a68/molecules-19-17187-g006.jpg

文献AI研究员

20分钟写一篇综述,助力文献阅读效率提升50倍。

立即体验

用中文搜PubMed

大模型驱动的PubMed中文搜索引擎

马上搜索

文档翻译

学术文献翻译模型,支持多种主流文档格式。

立即体验