Suppr超能文献

在伊博族尼日利亚新生儿中,通过测量胸围和枕额围来检测低出生体重。

Chest and occipito-frontal circumference measurements in the detection of low birth weight among Nigerian newborns of Igbo ethnicity.

作者信息

Ndu Ikenna K, Ibeziako Stella N, Obidike Egbuna O, Adimora Gilbert N, Edelu Benedict O, Chinawa Josephat M, Asinobi Isaac N, Uleanya Nwachinemere D

机构信息

Enugu state University Teaching Hospital, Park lane, Enugu, Nigeria.

University of Nigeria Teaching Hospital, Enugu, Nigeria.

出版信息

Ital J Pediatr. 2014 Oct 28;40:81. doi: 10.1186/s13052-014-0081-7.

Abstract

BACKGROUND

The World Health Organisation has recommended the use of anthropometric measurements as birth weight surrogates. However, it has been found that cut-off points for these anthropometric measurements vary across nations and ethnic groups.

OBJECTIVES

To determine the predictive values of chest circumference (CC), occipito-frontal circumference (OFC) and their combinations for low birth weight (LBW) detection in Igbo newborns.

METHODS

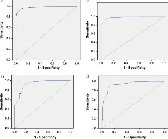
Live newborns of Igbo origin were recruited within 24 hours of delivery. Their CC, OFC and weight were measured. Cut off points for predicting low birth weight was determined using ROC analysis.

RESULTS

A total of 511 live newborns were recruited. For birth weight <2500 g, cut-off values were: CC 30.9 cm; OFC 33.8 cm; summation of CC and OFC 64.9 cm; ratio of CC to OFC 0.92. For weight <2000 g, the cut-off values were: CC 29.6 cm; OFC 32.8 cm; summation of CC and OFC 63.7 cm; ratio of CC to OFC 0.91. CC correlated best with birth weight (r = 0.918).

CONCLUSION

CC is the best predictor for LBW.

摘要

背景

世界卫生组织推荐使用人体测量指标作为出生体重的替代指标。然而,已发现这些人体测量指标的截断点因国家和种族群体而异。

目的

确定胸围(CC)、枕额径(OFC)及其组合对伊博族新生儿低出生体重(LBW)检测的预测价值。

方法

招募分娩后24小时内出生的伊博族活产新生儿。测量他们的CC、OFC和体重。使用ROC分析确定预测低出生体重的截断点。

结果

共招募了511名活产新生儿。对于出生体重<2500 g,截断值为:CC 30.9 cm;OFC 33.8 cm;CC与OFC之和64.9 cm;CC与OFC之比0.92。对于体重<2000 g 的情况,截断值为:CC 29.6 cm;OFC 32.8 cm;CC与OFC之和63.7 cm;CC与OFC之比0.91。CC与出生体重的相关性最佳(r = 0.918)。

结论

CC是LBW的最佳预测指标。

https://cdn.ncbi.nlm.nih.gov/pmc/blobs/7a9f/4213472/766a92fbb683/13052_2014_81_Fig1_HTML.jpg

文献AI研究员

20分钟写一篇综述,助力文献阅读效率提升50倍。

立即体验

用中文搜PubMed

大模型驱动的PubMed中文搜索引擎

马上搜索

文档翻译

学术文献翻译模型,支持多种主流文档格式。

立即体验