Suppr超能文献

通过比较基因组学和同位素分馏探究氯甲烷降解菌的多样性。

Probing the diversity of chloromethane-degrading bacteria by comparative genomics and isotopic fractionation.

机构信息

Université de Strasbourg, Equipe Adaptations et Interactions Microbiennes dans l'Environnement, Unitès Mixtes de Recherche 7156 Centre National de la Recherche Scientifique, Génétique Moléculaire, Génomique, Microbiologie Strasbourg, France.

Institute of Earth Sciences, Ruprecht Karls University Heidelberg Heidelberg, Germany.

出版信息

Front Microbiol. 2014 Oct 15;5:523. doi: 10.3389/fmicb.2014.00523. eCollection 2014.

Abstract

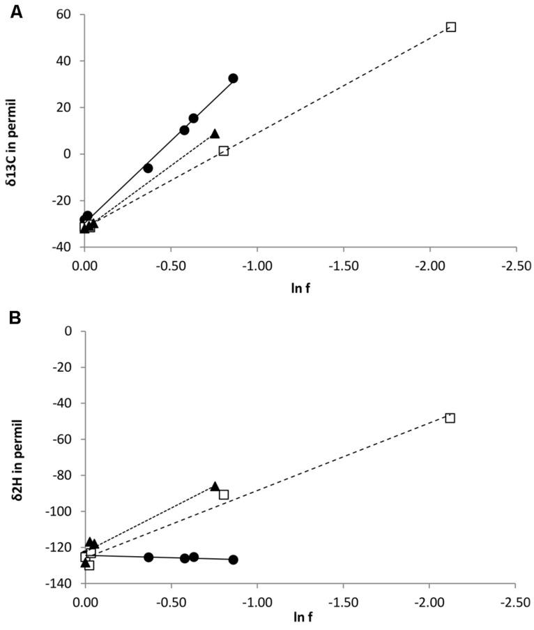
Chloromethane (CH3Cl) is produced on earth by a variety of abiotic and biological processes. It is the most important halogenated trace gas in the atmosphere, where it contributes to ozone destruction. Current estimates of the global CH3Cl budget are uncertain and suggest that microorganisms might play a more important role in degrading atmospheric CH3Cl than previously thought. Its degradation by bacteria has been demonstrated in marine, terrestrial, and phyllospheric environments. Improving our knowledge of these degradation processes and their magnitude is thus highly relevant for a better understanding of the global budget of CH3Cl. The cmu pathway, for chloromethane utilisation, is the only microbial pathway for CH3Cl degradation elucidated so far, and was characterized in detail in aerobic methylotrophic Alphaproteobacteria. Here, we reveal the potential of using a two-pronged approach involving a combination of comparative genomics and isotopic fractionation during CH3Cl degradation to newly address the question of the diversity of chloromethane-degrading bacteria in the environment. Analysis of available bacterial genome sequences reveals that several bacteria not yet known to degrade CH3Cl contain part or all of the complement of cmu genes required for CH3Cl degradation. These organisms, unlike bacteria shown to grow with CH3Cl using the cmu pathway, are obligate anaerobes. On the other hand, analysis of the complete genome of the chloromethane-degrading bacterium Leisingera methylohalidivorans MB2 showed that this bacterium does not contain cmu genes. Isotope fractionation experiments with L. methylohalidivorans MB2 suggest that the unknown pathway used by this bacterium for growth with CH3Cl can be differentiated from the cmu pathway. This result opens the prospect that contributions from bacteria with the cmu and Leisingera-type pathways to the atmospheric CH3Cl budget may be teased apart in the future.

摘要

氯甲烷(CH3Cl)在地球上通过各种非生物和生物过程产生。它是大气中最重要的卤代痕量气体,对臭氧破坏有贡献。目前对全球 CH3Cl 预算的估计不确定,并表明微生物在降解大气 CH3Cl 方面可能比以前认为的更为重要。已经在海洋、陆地和叶际环境中证明了细菌对其的降解作用。因此,提高我们对这些降解过程及其规模的认识,对于更好地了解 CH3Cl 的全球预算非常重要。氯甲烷利用途径(cmu 途径)是迄今为止阐明的唯一微生物 CH3Cl 降解途径,并在好氧甲基营养α变形菌中进行了详细描述。在这里,我们揭示了一种使用比较基因组学和同位素分馏相结合的双管齐下的方法的潜力,以新的方式解决环境中氯甲烷降解细菌多样性的问题。对现有细菌基因组序列的分析表明,有几种尚未被发现能够降解 CH3Cl 的细菌含有用于 CH3Cl 降解的 cmu 基因的一部分或全部。这些生物与被证明使用 cmu 途径以 CH3Cl 为生长基质的细菌不同,是严格厌氧菌。另一方面,对氯甲烷降解细菌 Leisingera methylohalidivorans MB2 的全基因组分析表明,该细菌不含有 cmu 基因。与 L. methylohalidivorans MB2 进行的同位素分馏实验表明,该细菌用于以 CH3Cl 为生长基质的未知途径可以与 cmu 途径区分开来。这一结果为将来可能从大气 CH3Cl 预算中分离出具有 cmu 和 Leisingera 型途径的细菌的贡献开辟了前景。

https://cdn.ncbi.nlm.nih.gov/pmc/blobs/9a6e/4197683/a55c46c3bdad/fmicb-05-00523-g001.jpg

文献AI研究员

20分钟写一篇综述,助力文献阅读效率提升50倍。

立即体验

用中文搜PubMed

大模型驱动的PubMed中文搜索引擎

马上搜索

文档翻译

学术文献翻译模型,支持多种主流文档格式。

立即体验