Suppr超能文献

人脂肪间充质干细胞来源外泌体对体外刺激T细胞的免疫调节潜力

Immunomodulatory Potential of Human Adipose Mesenchymal Stem Cells Derived Exosomes on in vitro Stimulated T Cells.

作者信息

Blazquez Rebeca, Sanchez-Margallo Francisco Miguel, de la Rosa Olga, Dalemans Wilfried, Alvarez Verónica, Tarazona Raquel, Casado Javier G

机构信息

Stem Cell Therapy Unit, Minimally Invasive Surgery Centre Jesus Uson , Cáceres , Spain.

Research and Development Department, TiGenix SA, Parque Tecnológico de Madrid , Madrid , Spain.

出版信息

Front Immunol. 2014 Nov 4;5:556. doi: 10.3389/fimmu.2014.00556. eCollection 2014.

Abstract

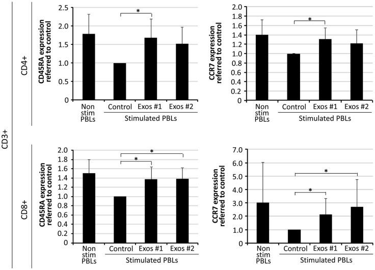
In the recent years, it has been demonstrated that the biological activity of mesenchymal stem cells (MSCs) is mediated through the release of paracrine factors. Many of these factors are released into exosomes, which are small membranous vesicles that participate in cell-cell communication. Exosomes from MSCs are thought to have similar functions to MSCs such as repairing and regeneration of damaged tissue, but little is known about the immunomodulatory effect of these vesicles. Based on an extensive bibliography where the immunomodulatory capacity of MSCs has been demonstrated, here we hypothesized that released exosomes from MSCs may have an immunomodulatory role on the differentiation, activation and function of different lymphocyte subsets. According to this hypothesis, in vitro experiments were performed to characterize the immunomodulatory effect of human adipose MSCs derived exosomes (exo-hASCs) on in vitro stimulated T cells. The phenotypic characterization of cytotoxic and helper T cells (activation and differentiation markers) together with functional assays (proliferation and IFN-γ production) demonstrated that exo-hASCs exerted an inhibitory effect in the differentiation and activation of T cells as well as a reduced T cell proliferation and IFN-γ release on in vitro stimulated cells. In summary, here we demonstrate that MSCs-derived exosomes are a cell-derived product that could be considered as a therapeutic agent for the treatment of inflammation-related diseases.

摘要

近年来,已证实间充质干细胞(MSCs)的生物学活性是通过旁分泌因子的释放来介导的。其中许多因子被释放到外泌体中,外泌体是参与细胞间通讯的小膜泡。来自MSCs的外泌体被认为具有与MSCs类似的功能,如受损组织的修复和再生,但关于这些囊泡的免疫调节作用知之甚少。基于大量已证明MSCs免疫调节能力的文献,我们在此假设,MSCs释放的外泌体可能对不同淋巴细胞亚群的分化、激活和功能具有免疫调节作用。根据这一假设,进行了体外实验,以表征人脂肪来源的MSCs外泌体(exo-hASCs)对体外刺激的T细胞的免疫调节作用。细胞毒性和辅助性T细胞的表型特征(激活和分化标志物)以及功能测定(增殖和IFN-γ产生)表明,exo-hASCs对T细胞的分化和激活具有抑制作用,并且对体外刺激的细胞的T细胞增殖和IFN-γ释放也有降低作用。总之,我们在此证明,MSCs来源的外泌体是一种细胞衍生产品,可被视为治疗炎症相关疾病的治疗剂。

https://cdn.ncbi.nlm.nih.gov/pmc/blobs/c2e3/4220146/79d6f74c6664/fimmu-05-00556-g001.jpg

文献AI研究员

20分钟写一篇综述,助力文献阅读效率提升50倍。

立即体验

用中文搜PubMed

大模型驱动的PubMed中文搜索引擎

马上搜索

文档翻译

学术文献翻译模型,支持多种主流文档格式。

立即体验