Suppr超能文献

以多样性为导向的取代双环内酰胺作为抗恶性疟原虫疟疾药物的合成及活性评价

Diversity-oriented synthesis and activity evaluation of substituted bicyclic lactams as anti-malarial against Plasmodium falciparum.

作者信息

Sharma Vijeta, Agarwal Shalini, Madurkar Sanjay M, Datta Gaurav, Dangi Poonam, Dandugudumula Ramu, Sen Subhabrata, Singh Shailja

机构信息

Shiv Nadar University, Gautam Budh Nagar, UP 203207, India.

出版信息

Malar J. 2014 Nov 28;13:467. doi: 10.1186/1475-2875-13-467.

Abstract

BACKGROUND

Malaria remains the world's most important devastating parasitic disease. Of the five species of Plasmodium known to infect and cause human malaria, Plasmodium falciparum is the most virulent and responsible for majority of the deaths caused by this disease. Mainstream drug therapy targets the asexual blood stage of the malaria parasite, as the disease symptoms are mainly associated with this stage. The prevalence of malaria parasite strains resistance to existing anti-malarial drugs has made the control of malaria even more challenging and hence the development of a new class of drugs is inevitable.

METHODS

Screening against different drug resistant and sensitive strains of P. falciparum was performed for few bicyclic lactam-based motifs, exhibiting a broad spectrum of activity with low toxicity generated via a focussed library obtained from diversity oriented synthesis (DOS). The synthesis and screening was followed by an in vitro assessment of the possible cytotoxic effect of this class of compounds on malaria parasite.

RESULTS

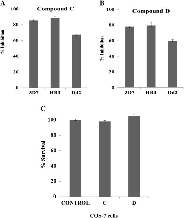
The central scaffold a chiral bicyclic lactam (A) and (A') which were synthesized from (R)-phenylalaninol, levulinic acid and 3-(2-nitrophenyl) levulinic acid respectively. The DOS library was generated from A and from A', by either direct substitution with o-nitrobenzylbromide at the carbon α- to the amide functionality or by conversion to fused pyrroloquinolines. Upon screening this diverse library for their anti-malarial activity, a dinitro/diamine substituted bicyclic lactam was found to demonstrate exceptional activity of >85% inhibition at 50 μM concentration across different strains of P. falciparum with no toxicity against mammalian cells. Also, loss of mitochondrial membrane potential, mitochondrial functionality and apoptosis was observed in parasite treated with diamine-substituted bicyclic lactams.

CONCLUSIONS

This study unveils a DOS-mediated exploration of small molecules with novel structural motifs that culminates in identifying a potential lead molecule against malaria. In vitro investigations further reveal their cytocidal effect on malaria parasite growth. It is not the first time that DOS has been used as a strategy to identify therapeutic leads against malaria, but this study establishes the direct implications of DOS in scouting novel motifs with anti-malarial activity.

摘要

背景

疟疾仍然是世界上最重要的毁灭性寄生虫病。在已知感染并导致人类疟疾的五种疟原虫中,恶性疟原虫毒性最强,是该疾病导致死亡的主要原因。主流药物疗法针对疟原虫的无性血液阶段,因为疾病症状主要与该阶段相关。疟原虫菌株对现有抗疟药物产生耐药性的情况使得疟疾控制更具挑战性,因此开发新型药物势在必行。

方法

针对少数基于双环内酰胺的基序,对不同耐药和敏感的恶性疟原虫菌株进行筛选,这些基序通过从多样性导向合成(DOS)获得的聚焦文库表现出具有低毒性的广泛活性。合成和筛选之后,对这类化合物对疟原虫可能的细胞毒性作用进行体外评估。

结果

核心骨架是分别由(R)-苯丙氨醇、乙酰丙酸和3-(2-硝基苯基)乙酰丙酸合成的手性双环内酰胺(A)和(A')。通过在酰胺官能团α位的碳上直接用邻硝基苄基溴取代,或通过转化为稠合吡咯并喹啉,从A和A'生成DOS文库。在筛选这个多样化文库的抗疟活性时,发现一种二硝基/二胺取代的双环内酰胺在50μM浓度下对不同的恶性疟原虫菌株表现出超过85%抑制的优异活性,且对哺乳动物细胞无毒性。在用二胺取代的双环内酰胺处理的寄生虫中还观察到线粒体膜电位丧失、线粒体功能障碍和细胞凋亡。

结论

本研究揭示了一种通过DOS介导的对具有新型结构基序的小分子的探索,最终鉴定出一种潜在的抗疟先导分子。体外研究进一步揭示了它们对疟原虫生长的杀细胞作用。这不是DOS首次被用作鉴定抗疟治疗先导物的策略,但本研究确立了DOS在寻找具有抗疟活性的新型基序方面的直接意义。

https://cdn.ncbi.nlm.nih.gov/pmc/blobs/a7ce/4289231/01f686c4c0e9/12936_2014_3651_Fig1_HTML.jpg

文献AI研究员

20分钟写一篇综述,助力文献阅读效率提升50倍。

立即体验

用中文搜PubMed

大模型驱动的PubMed中文搜索引擎

马上搜索

文档翻译

学术文献翻译模型,支持多种主流文档格式。

立即体验