Department of Biological Sciences, California State University San Marcos, San Marcos, CA 92096, USA.
Pathogens. 2013 Mar 1;2(1):130-52. doi: 10.3390/pathogens2010130.
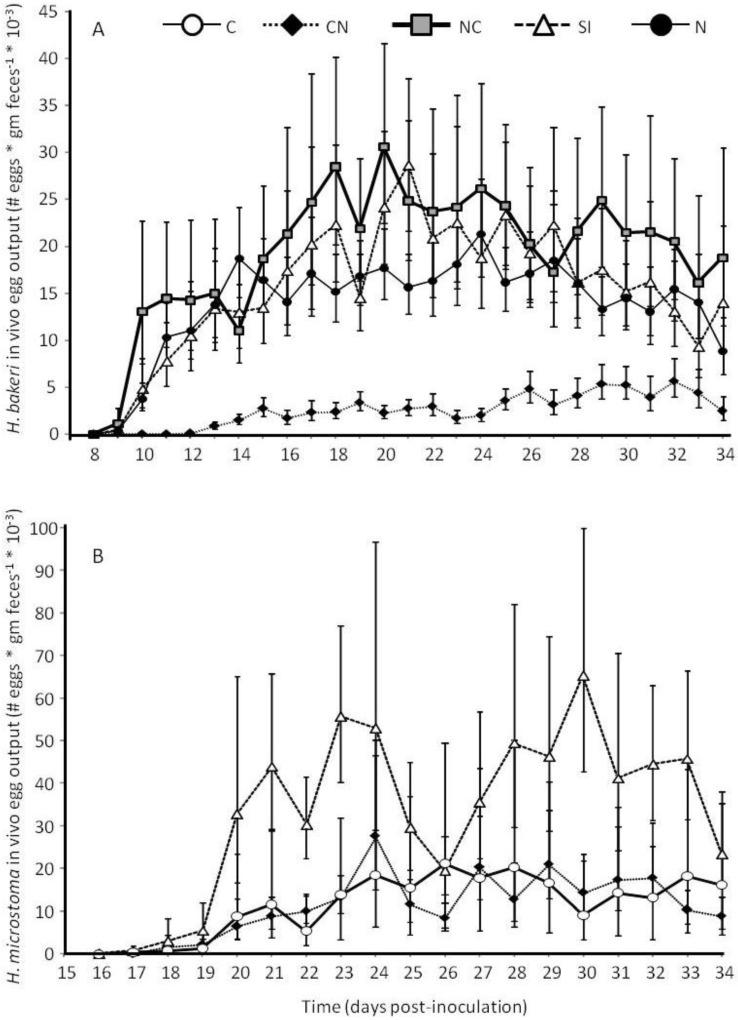
Parasite life history may differ during coinfection compared to single infections, and the order of infection may be an important predictor of life history traits. We subjected laboratory mice (Mus musculus) to single and coinfections with Heligmosomoides bakeri and Hymenolepis microstoma and measured life history traits of worms and also hepatobiliary and morphological responses by the host. We found that fewer H. bakeri larvae established, and adult worms were shorter and produced fewer eggs during a coinfection where H. microstoma occurred first. H. microstoma grew more and released more eggs after simultaneous inoculation of both parasites compared to a single H. microstoma infection, despite similar worm numbers. Mouse small intestine mass, but not length, varied with coinfection and bile duct mass was largest when H. microstoma was given alone or first. Mouse serum alkaline phosphatase levels were greatest for mice infected with H. microstoma only but did not vary with number of scolices; no change in mouse serum alanine transaminase levels was observed. Overall, the order of coinfection influenced life history traits of both H. bakeri and H. microstoma, but changes in survival, growth, and reproduction with order of inoculation were not consistent between the two parasites.
寄生虫的生活史在混合感染时可能与单一感染不同,感染的顺序可能是生活史特征的重要预测因子。我们将实验室小鼠(Mus musculus)进行单一和混合感染Heligmosomoides bakeri 和 Hymenolepis microstoma,并测量蠕虫的生活史特征以及宿主的肝胆和形态反应。我们发现,当 H. microstoma 首先发生时,较少的 H. bakeri 幼虫定殖,成虫较短,产生的卵较少。与单一的 H. microstoma 感染相比,当同时接种两种寄生虫时,H. microstoma 生长更多,释放的卵更多,尽管蠕虫数量相似。与混合感染相比,小鼠小肠质量(但不是长度)发生变化,当单独给予或首先给予 H. microstoma 时胆管质量最大。仅感染 H. microstoma 的小鼠血清碱性磷酸酶水平最高,但与棘球蚴数量无关;未观察到小鼠血清丙氨酸转氨酶水平的变化。总体而言,混合感染的顺序影响了 H. bakeri 和 H. microstoma 的生活史特征,但两种寄生虫之间接种顺序对生存、生长和繁殖的影响并不一致。