Suppr超能文献

调整致敏和激发方案可恢复豚鼠对卵清蛋白的功能和炎症反应。

Adjustment of sensitisation and challenge protocols restores functional and inflammatory responses to ovalbumin in guinea-pigs.

作者信息

Lowe Alexander P P, Broadley Kenneth J, Nials Anthony T, Ford William R, Kidd Emma J

机构信息

Cardiff School of Pharmacy, Cardiff University, Redwood Building, King Edward VII Ave, Cardiff CF10 3NB, United Kingdom.

Cardiff School of Pharmacy, Cardiff University, Redwood Building, King Edward VII Ave, Cardiff CF10 3NB, United Kingdom.

出版信息

J Pharmacol Toxicol Methods. 2015 Mar-Apr;72:85-93. doi: 10.1016/j.vascn.2014.10.007. Epub 2014 Oct 30.

Abstract

INTRODUCTION

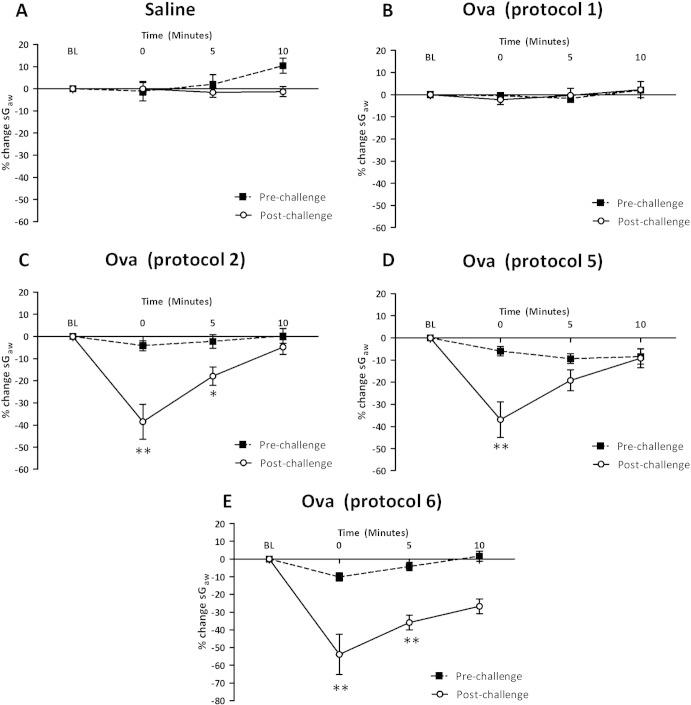
Inhalation of antigen in atopic asthma induces early (EAR) and late asthmatic responses (LARs), inflammatory cell infiltration and airways hyperresponsiveness (AHR). Previously, we have established a protocol of sensitisation and subsequent ovalbumin (Ova) inhalation challenge in guinea-pigs which induced these 4 features (Smith & Broadley, 2007). However, the responses of guinea-pigs to Ova challenge have recently declined, producing no LAR or AHR and diminished EAR and cells. By making cumulative modifications to the protocol, we sought to restore these features.

METHODS

Guinea-pigs were sensitised with Ova (i.p. 100 or 150 μg) on days 1 and 5 or days 1, 4 and 7 and challenged with nebulised Ova (100 or 300 μg/ml, 1h) on day 15. Airway function was measured in conscious guinea-pigs by whole-body plethysmography to record specific airway conductance (sGaw). Airway responsiveness to aerosolized histamine (0.3mM) was determined before and 24h after Ova challenge. Bronchoalveolar lavage was performed for total and differential inflammatory cell counts. Lung sections were stained for counting of eosinophils.

RESULTS

Lack of AHR and LAR with the original protocol was confirmed. Increasing the Ova challenge concentration from 100 to 300 μg/ml restored AHR and eosinophils and increased the peak of the EAR. Increasing the number of sensitisation injections from 2 to 3 did not alter the responses. Increasing the Ova sensitisation concentration from 100 to 150 μg significantly increased total cells, particularly eosinophils. A LAR was revealed and lymphocytes and eosinophils increased when either the Al(OH)3 concentration was increased or the duration between the final sensitisation injection and Ova challenge was extended from 15 to 21 days.

DISCUSSION

This study has shown that declining allergic responses to Ova in guinea-pigs could be restored by increasing the sensitisation and challenge conditions. It has also demonstrated an important dissociation between EAR, LAR, AHR and inflammation.

摘要

引言

在特应性哮喘中,吸入抗原会引发早期(EAR)和迟发性哮喘反应(LAR)、炎症细胞浸润以及气道高反应性(AHR)。此前,我们已在豚鼠中建立了致敏及随后卵清蛋白(Ova)吸入激发的方案,该方案可诱发上述这4种特征(Smith和Broadley,2007年)。然而,豚鼠对Ova激发的反应近来有所下降,未产生迟发性哮喘反应或气道高反应性,且早期哮喘反应和炎症细胞数量减少。通过对方案进行累积性修改,我们试图恢复这些特征。

方法

在第1天和第5天或第1、4和7天,用Ova(腹腔注射100或150μg)对豚鼠进行致敏,并在第15天用雾化的Ova(100或300μg/ml,1小时)进行激发。通过全身体积描记法在清醒的豚鼠中测量气道功能,以记录比气道传导率(sGaw)。在Ova激发前和激发后24小时测定对雾化组胺(0.3mM)的气道反应性。进行支气管肺泡灌洗以计数总炎症细胞和分类炎症细胞。对肺切片进行染色以计数嗜酸性粒细胞。

结果

证实了原方案缺乏气道高反应性和迟发性哮喘反应。将Ova激发浓度从100μg/ml提高到300μg/ml可恢复气道高反应性和嗜酸性粒细胞,并增加早期哮喘反应的峰值。将致敏注射次数从2次增加到3次并未改变反应。将Ova致敏浓度从100μg提高到150μg可显著增加总细胞数,尤其是嗜酸性粒细胞。当氢氧化铝浓度增加或最后一次致敏注射与Ova激发之间的时间间隔从15天延长至21天时,出现了迟发性哮喘反应,淋巴细胞和嗜酸性粒细胞增加。

讨论

本研究表明,通过增加致敏和激发条件,可恢复豚鼠对Ova下降的过敏反应。它还证明了早期哮喘反应、迟发性哮喘反应、气道高反应性和炎症之间存在重要的分离现象。

https://cdn.ncbi.nlm.nih.gov/pmc/blobs/bf23/4370377/97f42ed0a3af/gr1.jpg

文献AI研究员

20分钟写一篇综述,助力文献阅读效率提升50倍。

立即体验

用中文搜PubMed

大模型驱动的PubMed中文搜索引擎

马上搜索

文档翻译

学术文献翻译模型,支持多种主流文档格式。

立即体验