• 文献检索
  • 文档翻译
  • 深度研究
  • 学术资讯
  • Suppr Zotero 插件Zotero 插件
  • 邀请有礼
  • 套餐&价格
  • 历史记录
应用&插件
Suppr Zotero 插件Zotero 插件浏览器插件Mac 客户端Windows 客户端微信小程序
定价
高级版会员购买积分包购买API积分包
服务
文献检索文档翻译深度研究API 文档MCP 服务
关于我们
关于 Suppr公司介绍联系我们用户协议隐私条款
关注我们

Suppr 超能文献

核心技术专利:CN118964589B侵权必究
粤ICP备2023148730 号-1Suppr @ 2026

文献检索

告别复杂PubMed语法,用中文像聊天一样搜索,搜遍4000万医学文献。AI智能推荐,让科研检索更轻松。

立即免费搜索

文件翻译

保留排版,准确专业,支持PDF/Word/PPT等文件格式,支持 12+语言互译。

免费翻译文档

深度研究

AI帮你快速写综述,25分钟生成高质量综述,智能提取关键信息,辅助科研写作。

立即免费体验

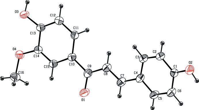
(2E)-1-(4-羟基-3-甲氧基苯基)-3-(4-羟基苯基)丙-2-烯-1-酮的晶体结构

Crystal structure of (2E)-1-(4-hy-droxy-3-meth-oxy-phen-yl)-3-(4-hy-droxy-phen-yl)prop-2-en-1-one.

作者信息

Sathya S, Reuben Jonathan D, Prathebha K, Jovita J, Usha G

机构信息

PG and Research Department of Physics, Queen Mary's College, Chennai-4, Tamilnadu, India.

Department of Chemistry, Madras Christian College, Chennai-59, India.

出版信息

Acta Crystallogr Sect E Struct Rep Online. 2014 Oct 15;70(Pt 11):o1158-9. doi: 10.1107/S1600536814021953. eCollection 2014 Nov 1.

DOI:10.1107/S1600536814021953
PMID:25484802
原文链接:https://pmc.ncbi.nlm.nih.gov/articles/PMC4257319/
Abstract

In the title moleclue, C16H14O4, the dihedral angle between the benzene rings is 16.1 (3)°. The meth-oxy group is essentially coplanar with the benzene ring to which it is attached, with a C-O-C C torsion angle of 5.5 (9)°. In the crystal, mol-ecules are linked by O-H⋯O and bifurcated O-H⋯(O,O) hydrogen bonds, forming a three-dimensional network. The structure was refined as a two-component inversion twin.

摘要

在标题分子C₁₆H₁₄O₄中,苯环之间的二面角为16.1 (3)°。甲氧基与其所连接的苯环基本共面,C—O—C—C扭转角为5.5 (9)°。在晶体中,分子通过O—H⋯O和分叉的O—H⋯(O,O)氢键相连,形成三维网络。该结构作为双组分倒易孪晶进行精修。

https://cdn.ncbi.nlm.nih.gov/pmc/blobs/8470/4257319/1ce8e78ca328/e-70-o1158-fig2.jpg
https://cdn.ncbi.nlm.nih.gov/pmc/blobs/8470/4257319/39889ac06134/e-70-o1158-fig1.jpg
https://cdn.ncbi.nlm.nih.gov/pmc/blobs/8470/4257319/1ce8e78ca328/e-70-o1158-fig2.jpg
https://cdn.ncbi.nlm.nih.gov/pmc/blobs/8470/4257319/39889ac06134/e-70-o1158-fig1.jpg
https://cdn.ncbi.nlm.nih.gov/pmc/blobs/8470/4257319/1ce8e78ca328/e-70-o1158-fig2.jpg

相似文献

1
Crystal structure of (2E)-1-(4-hy-droxy-3-meth-oxy-phen-yl)-3-(4-hy-droxy-phen-yl)prop-2-en-1-one.(2E)-1-(4-羟基-3-甲氧基苯基)-3-(4-羟基苯基)丙-2-烯-1-酮的晶体结构
Acta Crystallogr Sect E Struct Rep Online. 2014 Oct 15;70(Pt 11):o1158-9. doi: 10.1107/S1600536814021953. eCollection 2014 Nov 1.
2
(E)-3-(4-Hy-droxy-3-meth-oxy-phen-yl)-1-(4-hy-droxy-phen-yl)prop-2-en-1-one.(E)-3-(4-羟基-3-甲氧基苯基)-1-(4-羟基苯基)丙-2-烯-1-酮
Acta Crystallogr Sect E Struct Rep Online. 2014 Apr 26;70(Pt 5):o593-4. doi: 10.1107/S1600536814008757. eCollection 2014 May 1.
3
Crystal structure of (2E)-3-(3-eth-oxy-4-hy-droxy-phen-yl)-1-(4-hy-droxy-phen-yl)prop-2-en-1-one.(2E)-3-(3-乙氧基-4-羟基苯基)-1-(4-羟基苯基)丙-2-烯-1-酮的晶体结构
Acta Crystallogr Sect E Struct Rep Online. 2014 Oct 29;70(Pt 11):o1202-3. doi: 10.1107/S1600536814023368. eCollection 2014 Nov 1.
4
Crystal structure of (E)-3-(3,4-di-meth-oxy-phen-yl)-1-(1-hy-droxy-naphthalen-2-yl)prop-2-en-1-one.(E)-3-(3,4-二甲氧基苯基)-1-(1-羟基萘-2-基)丙-2-烯-1-酮的晶体结构
Acta Crystallogr E Crystallogr Commun. 2015 Apr 30;71(Pt 5):o371-2. doi: 10.1107/S2056989015008087. eCollection 2015 May 1.
5
Crystal structure of (E)-3-(2,4-di-meth-oxy-phen-yl)-1-(1-hy-droxy-naphthalen-2-yl)prop-2-en-1-one.(E)-3-(2,4-二甲氧基苯基)-1-(1-羟基萘-2-基)丙-2-烯-1-酮的晶体结构
Acta Crystallogr Sect E Struct Rep Online. 2014 Aug 23;70(Pt 9):o1034-5. doi: 10.1107/S1600536814018704. eCollection 2014 Sep 1.
6
()-1-(4-Fluoro-2-hy-droxy-phen-yl)-3-(2,3,4-tri-meth-oxy-phen-yl)prop-2-en-1-one.()-1-(4-氟-2-羟基苯基)-3-(2,3,4-三甲氧基苯基)丙-2-烯-1-酮。
IUCrdata. 2020 Jan 24;5(Pt 1):x200071. doi: 10.1107/S2414314620000711. eCollection 2020 Jan.
7
(E)-1-(2-Hy-droxy-phen-yl)-3-(2,4,5-trimeth-oxy-phen-yl)prop-2-en-1-one.(E)-1-(2-羟基苯基)-3-(2,4,5-三甲氧基苯基)丙-2-烯-1-酮
Acta Crystallogr Sect E Struct Rep Online. 2011 Sep 1;67(Pt 9):o2287-8. doi: 10.1107/S1600536811031382. Epub 2011 Aug 11.
8
(E)-1-[2-Hy-droxy-4,6-bis-(meth-oxy-meth-oxy)phen-yl]-3-[3-meth-oxy-4-(meth-oxy-meth-oxy)phen-yl]prop-2-en-1-one.(E)-1-[2-羟基-4,6-双(甲氧基甲氧基)苯基]-3-[3-甲氧基-4-(甲氧基甲氧基)苯基]丙-2-烯-1-酮
Acta Crystallogr Sect E Struct Rep Online. 2011 Nov;67(Pt 11):o2931. doi: 10.1107/S1600536811041213. Epub 2011 Oct 12.
9
Crystal structure of ()-3-(2-hy-droxy-4-methyl-phen-yl)-1-(2,4,6-tri-meth-oxy-phen-yl)prop-2-en-1-one.()-3-(2-羟基-4-甲基苯基)-1-(2,4,6-三甲氧基苯基)丙-2-烯-1-酮的晶体结构
Acta Crystallogr E Crystallogr Commun. 2019 Aug 30;75(Pt 9):1379-1382. doi: 10.1107/S2056989019011289. eCollection 2019 Sep 1.
10
(E)-1-(2-Hy-droxy-6-meth-oxy-phen-yl)-3-(2,4,6-tri-meth-oxy-phen-yl)prop-2-en-1-one.(E)-1-(2-羟基-6-甲氧基苯基)-3-(2,4,6-三甲氧基苯基)丙-2-烯-1-酮
Acta Crystallogr Sect E Struct Rep Online. 2013 Nov 23;69(Pt 12):o1809. doi: 10.1107/S1600536813031498.

本文引用的文献

1
(E)-3-(4-Hy-droxy-3-meth-oxy-phen-yl)-1-(4-hy-droxy-phen-yl)prop-2-en-1-one.(E)-3-(4-羟基-3-甲氧基苯基)-1-(4-羟基苯基)丙-2-烯-1-酮
Acta Crystallogr Sect E Struct Rep Online. 2014 Apr 26;70(Pt 5):o593-4. doi: 10.1107/S1600536814008757. eCollection 2014 May 1.
2
(E)-3-(3,4-Dimeth-oxy-phen-yl)-1-(2-hy-droxy-phen-yl)prop-2-en-1-one.(E)-3-(3,4-二甲氧基苯基)-1-(2-羟基苯基)丙-2-烯-1-酮
Acta Crystallogr Sect E Struct Rep Online. 2011 Apr 1;67(Pt 4):o845. doi: 10.1107/S1600536811008361. Epub 2011 Mar 12.
3
Structure validation in chemical crystallography.
化学晶体学中的结构验证
Acta Crystallogr D Biol Crystallogr. 2009 Feb;65(Pt 2):148-55. doi: 10.1107/S090744490804362X. Epub 2009 Jan 20.
4
A short history of SHELX.SHELX简史。
Acta Crystallogr A. 2008 Jan;64(Pt 1):112-22. doi: 10.1107/S0108767307043930. Epub 2007 Dec 21.
5
Synthetic chalcones as potential anti-inflammatory and cancer chemopreventive agents.合成查耳酮作为潜在的抗炎和癌症化学预防剂。
Eur J Med Chem. 2005 Jan;40(1):103-12. doi: 10.1016/j.ejmech.2004.09.006.
6
Chalcones as potent tyrosinase inhibitors: the importance of a 2,4-substituted resorcinol moiety.查耳酮作为有效的酪氨酸酶抑制剂:2,4-取代间苯二酚部分的重要性。
Bioorg Med Chem. 2005 Jan 17;13(2):433-41. doi: 10.1016/j.bmc.2004.10.010.
7
Can we predict biological activity of antimicrobial peptides from their interactions with model phospholipid membranes?我们能否从抗菌肽与模型磷脂膜的相互作用来预测其生物活性?
Peptides. 2003 Nov;24(11):1693-703. doi: 10.1016/j.peptides.2003.09.013.
8
Oxygenated chalcones and bischalcones as potential antimalarial agents.氧化查耳酮和双查耳酮作为潜在的抗疟药物。
Bioorg Med Chem Lett. 2000 Oct 2;10(19):2159-61. doi: 10.1016/s0960-894x(00)00409-1.