Suppr超能文献

蜜蜂的营养与景观构成相关。

Honeybee nutrition is linked to landscape composition.

作者信息

Donkersley Philip, Rhodes Glenn, Pickup Roger W, Jones Kevin C, Wilson Kenneth

机构信息

Lancaster Environment Centre, Lancaster University Lancaster, LA1 4YQ, U.K.

Lake Ecosystems Group, Centre for Ecology and Hydrology Lancaster, LA1 4AP, U.K.

出版信息

Ecol Evol. 2014 Nov;4(21):4195-206. doi: 10.1002/ece3.1293. Epub 2014 Oct 14.

Abstract

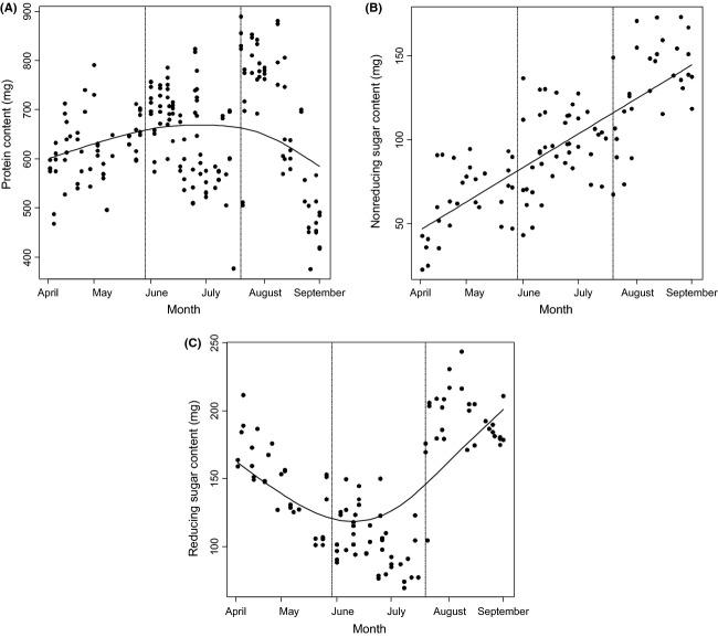
Declines in insect pollinators in Europe have been linked to changes in land use. Pollinator nutrition is dependent on floral resources (i.e., nectar and pollen), which are linked to landscape composition. Here, we present a stratified analysis of the nutritional composition of beebread in managed honeybee hives with a view to examining potential sources of variation in its nutritional composition. Specifically, we tested the hypothesis that beebread composition correlates with local land use and therefore available floral resources. The results demonstrated that the starch, lipid, and moisture contents of beebread are all highly conserved across hives, whereas levels of protein and nonreducing sugar increased as the year progressed, reducing sugars, however, decreased during the first half of the year and then increased toward the end. Local land use around hives was quantified using data from the Countryside Survey 2007 Land Cover Map. Bee-bread protein content was negatively correlated with increasing levels of arable and horticultural farmland surrounding hives and positively correlated with the cover of natural grasslands and broadleaf woodlands. Reducing sugar content was also positively correlated with the amount of broad-leaved woodland in a 3 Km² radius from the hives. Previous studies on a range of invertebrates, including honeybees, indicate that dietary protein intake may have a major impact on correlates of fitness, including longevity and immune function. The finding that beebread protein content correlates with land use suggests that landscape composition may impact on insect pollinator well-being and provides a link between landscape and the nutritional ecology of socially foraging insects in a way not previously considered.

摘要

欧洲昆虫传粉者数量的下降与土地利用变化有关。传粉者的营养依赖于花卉资源(即花蜜和花粉),而这些资源与景观构成相关。在此,我们对管理的蜂箱中蜂粮的营养成分进行分层分析,以研究其营养成分潜在的变化来源。具体而言,我们检验了蜂粮成分与当地土地利用以及因此可得的花卉资源相关的假设。结果表明,蜂粮的淀粉、脂质和水分含量在各个蜂箱间高度保守,而蛋白质和非还原糖水平随年份增加,然而还原糖在上半年下降,然后在年末增加。利用2007年农村调查土地覆盖图的数据对蜂箱周围的当地土地利用进行了量化。蜂粮蛋白质含量与蜂箱周围耕地和园艺农田面积的增加呈负相关,与天然草地和阔叶林的覆盖面积呈正相关。还原糖含量也与距蜂箱半径3平方公里范围内阔叶林的面积呈正相关。此前对包括蜜蜂在内的一系列无脊椎动物的研究表明,饮食中蛋白质的摄入量可能对包括寿命和免疫功能在内的健康相关指标产生重大影响。蜂粮蛋白质含量与土地利用相关这一发现表明,景观构成可能影响昆虫传粉者的健康,并以前所未有的方式在景观与群居觅食昆虫的营养生态学之间建立了联系。

https://cdn.ncbi.nlm.nih.gov/pmc/blobs/1756/4242570/c60b288ceeef/ece30004-4195-f1.jpg

文献AI研究员

20分钟写一篇综述,助力文献阅读效率提升50倍。

立即体验

用中文搜PubMed

大模型驱动的PubMed中文搜索引擎

马上搜索

文档翻译

学术文献翻译模型,支持多种主流文档格式。

立即体验