Cardiovascular Division, BHF Centre of Excellence and Centre of Integrative Biomedicine, School of Medicine, King's College London London, SE1 9NH, U.K.
Cardiovascular Division, BHF Centre of Excellence and Centre of Integrative Biomedicine, School of Medicine, King's College London London, SE1 9NH, U.K ; Pharmaceutical Sciences Division, School of Biomedical Sciences, King's College London London, SE1 9NH, U.K.
Pharmacol Res Perspect. 2014 Aug;2(4):e00052. doi: 10.1002/prp2.52. Epub 2014 Jun 23.
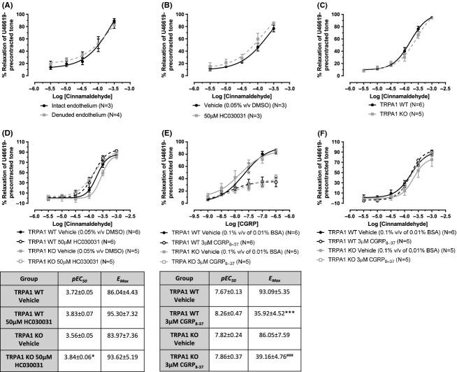
Radiotelemetry was used to investigate the in vivo cardiovascular and activity phenotype of both TRPA1 (transient receptor potential ankyrin 1) wild-type (WT) and TRPA1 knockout (KO) mice. After baseline recording, experimental hypertension was induced using angiotensin II infusion (1.1 mg(-1) kg(-1) a day, for 14 days). TRPA1 WT and KO mice showed similar morphological and functional cardiovascular parameters, including similar basal blood pressure (BP), heart rate, size, and function. Similar hypertension was also displayed in response to angiotensin II (156 ± 7 and 165 ± 11 mmHg, systolic BP ± SEM, n = 5-6). TRPA1 KO mice showed increased hypertensive hypertrophy (heart weight:tibia length: 7.3 ± 1.6 mg mm(-1) vs. 8.8 ± 1.7 mg mm(-1)) and presented with blunted interleukin 6 (IL-6) production compared with hypertensive WT mice (151 ± 24 vs. 89 ± 16 pg mL(-1)). TRPA1 expression in dorsal root ganglion (DRG) neurones was upregulated during hypertension (163% of baseline expression). Investigations utilizing the TRPA1 agonist cinnamaldehyde (CA) on mesenteric arterioles isolated from näive mice suggested a lack of TRPA1-dependent vasoreactivity in this vascular bed; a site with notable ability to alter total peripheral resistance. However, mesenteric arterioles isolated from TRPA1 KO hypertensive mice displayed significantly reduced ability to relax in response to nitric oxide (NO) (P < 0.05). Unexpectedly, naïve TRPA1 KO mice also displayed physical hyperactivity traits at baseline, which was exacerbated during hypertension. In conclusion, our study provides a novel cardiovascular characterization of TRPA1 KO mice in a model of hypertension. Results suggest that TRPA1 has a limited role in global cardiovascular control, but we demonstrate an unexpected capacity for TRPA1 to regulate physical activity.
使用无线电遥测技术研究了瞬时受体电位锚蛋白 1(TRPA1)野生型(WT)和 TRPA1 敲除(KO)小鼠体内心血管和活动表型。在基线记录后,使用血管紧张素 II 输注(每天 1.1mg/kg,持续 14 天)诱导实验性高血压。TRPA1 WT 和 KO 小鼠表现出相似的形态和功能心血管参数,包括相似的基础血压(BP)、心率、大小和功能。对血管紧张素 II 的反应也表现出相似的高血压(收缩压 156±7 和 165±11mmHg,±SEM,n=5-6)。TRPA1 KO 小鼠表现出高血压性肥大增加(心脏重量/胫骨长度:7.3±1.6mg/mm 与 8.8±1.7mg/mm),并且与高血压 WT 小鼠相比,白细胞介素 6(IL-6)产生减少(151±24 与 89±16pg/mL)。高血压期间,背根神经节(DRG)神经元中的 TRPA1 表达上调(基线表达的 163%)。在来自 naive 小鼠的肠系膜小动脉中,利用 TRPA1 激动剂肉桂醛(CA)进行的研究表明,在该血管床中不存在 TRPA1 依赖性血管反应;该部位具有改变总外周阻力的显著能力。然而,来自 TRPA1 KO 高血压小鼠的肠系膜小动脉对一氧化氮(NO)的反应性显著降低(P<0.05)。出乎意料的是,naïve TRPA1 KO 小鼠在基线时也表现出生理活动过度的特征,在高血压期间加剧。总之,我们的研究提供了 TRPA1 KO 小鼠在高血压模型中的新型心血管特征。结果表明,TRPA1 在整体心血管控制中作用有限,但我们证明了 TRPA1 调节身体活动的意外能力。