Suppr超能文献

急性肾损伤(AKI)后的长期预后:基线肾功能及恢复情况的作用是什么?一项系统综述。

Long-term prognosis after acute kidney injury (AKI): what is the role of baseline kidney function and recovery? A systematic review.

作者信息

Sawhney Simon, Mitchell Mhairi, Marks Angharad, Fluck Nick, Black Corrinda

机构信息

Division of Applied Health Sciences, University of Aberdeen, Aberdeen, UK Renal Unit, Ward 108 Aberdeen Royal Infirmary, Aberdeen, UK.

Division of Applied Health Sciences, University of Aberdeen, Aberdeen, UK.

出版信息

BMJ Open. 2015 Jan 6;5(1):e006497. doi: 10.1136/bmjopen-2014-006497.

Abstract

OBJECTIVES

To summarise the evidence from studies of acute kidney injury (AKI) with regard to the effect of pre-AKI renal function and post-AKI renal function recovery on long-term mortality and renal outcomes, and to assess whether these factors should be taken into account in future prognostic studies.

DESIGN/SETTING: A systematic review of observational studies listed in Medline and EMBASE from 1990 to October 2012.

PARTICIPANTS

All AKI studies in adults with data on baseline kidney function to identify AKI; with outcomes either stratified by pre-AKI and/or post-AKI kidney function, or described by the timing of the outcomes.

OUTCOMES

Long-term mortality and worsening chronic kidney disease (CKD).

RESULTS

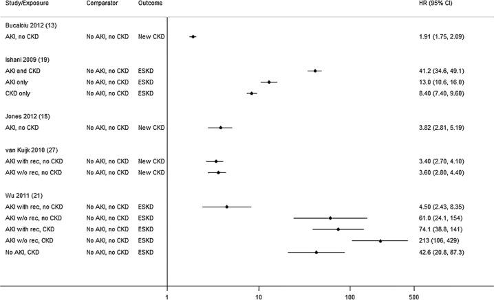
Of 7385 citations, few studies met inclusion criteria, reported baseline kidney function and stratified by pre-AKI or post-AKI function. For mortality outcomes, three studies compared patients by pre-AKI renal function and six by post-AKI function. For CKD outcomes, two studies compared patients by pre-AKI function and two by post-AKI function. The presence of CKD pre-AKI (compared with AKI alone) was associated with doubling of mortality and a fourfold to fivefold increase in CKD outcomes. Non-recovery of kidney function was associated with greater mortality and CKD outcomes in some studies, but findings were inconsistent varying with study design. Two studies also reported that risk of poor outcome reduced over time post-AKI. Meta-analysis was precluded by variations in definitions for AKI, CKD and recovery.

CONCLUSIONS

The long-term prognosis after AKI varies depending on cause and clinical setting, but it may also, in part, be explained by underlying pre-AKI and post-AKI renal function rather than the AKI episode itself. While carefully considered in clinical practice, few studies address these factors and with inconsistent study design. Future AKI studies should report pre-AKI and post-AKI function consistently as additional factors that may modify AKI prognosis.

摘要

目的

总结急性肾损伤(AKI)研究中关于急性肾损伤前肾功能及急性肾损伤后肾功能恢复对长期死亡率和肾脏转归影响的证据,并评估在未来的预后研究中是否应考虑这些因素。

设计/研究背景:对1990年至2012年10月期间Medline和EMBASE中列出的观察性研究进行系统评价。

研究对象

所有针对成年急性肾损伤患者的研究,这些研究需有基线肾功能数据以确定急性肾损伤;结局指标按急性肾损伤前和/或急性肾损伤后肾功能分层,或按结局发生时间描述。

结局指标

长期死亡率和慢性肾脏病(CKD)恶化。

结果

在7385篇文献中,仅有少数研究符合纳入标准,报告了基线肾功能并按急性肾损伤前或急性肾损伤后功能进行分层。对于死亡率结局,三项研究按急性肾损伤前肾功能比较患者,六项按急性肾损伤后功能比较。对于慢性肾脏病结局,两项研究按急性肾损伤前功能比较患者,两项按急性肾损伤后功能比较。急性肾损伤前存在慢性肾脏病(与单纯急性肾损伤相比)与死亡率翻倍以及慢性肾脏病结局增加四倍至五倍相关。在一些研究中,肾功能未恢复与更高的死亡率和慢性肾脏病结局相关,但研究结果因研究设计而异,并不一致。两项研究还报告,急性肾损伤后随着时间推移不良结局风险降低。由于急性肾损伤、慢性肾脏病和恢复的定义存在差异,无法进行荟萃分析。

结论

急性肾损伤后的长期预后因病因和临床情况而异,但部分原因可能是急性肾损伤前和急性肾损伤后的潜在肾功能,而非急性肾损伤事件本身。虽然在临床实践中会仔细考虑这些因素,但很少有研究涉及这些因素,且研究设计不一致。未来的急性肾损伤研究应一致报告急性肾损伤前和急性肾损伤后的功能,作为可能改变急性肾损伤预后的额外因素。

https://cdn.ncbi.nlm.nih.gov/pmc/blobs/78f5/4289733/6706854cca92/bmjopen2014006497f01.jpg

文献检索

告别复杂PubMed语法,用中文像聊天一样搜索,搜遍4000万医学文献。AI智能推荐,让科研检索更轻松。

立即免费搜索

文件翻译

保留排版,准确专业,支持PDF/Word/PPT等文件格式,支持 12+语言互译。

免费翻译文档

深度研究

AI帮你快速写综述,25分钟生成高质量综述,智能提取关键信息,辅助科研写作。

立即免费体验